Acta Horticulturae Sinica ›› 2026, Vol. 53 ›› Issue (3): 817-830.doi: 10.16420/j.issn.0513-353x.2025-0155
• Cultivation·Physiology & Biochemistry • Previous Articles Next Articles
JIA Meihui, HUANG Shuai, ZHANG Manman, LIU Qian, WANG Xiaobing, ZHANG Qi, LEI Yaxin, WANG Jing*(
)
Received:2025-07-24
Revised:2025-10-09
Online:2026-03-25
Published:2026-03-20
Contact:
WANG Jing
JIA Meihui, HUANG Shuai, ZHANG Manman, LIU Qian, WANG Xiaobing, ZHANG Qi, LEI Yaxin, WANG Jing. Effect of Sodium Nitroprusside on Postharvest Quality and Reactive Oxygen Metabolism of Hami Melon[J]. Acta Horticulturae Sinica, 2026, 53(3): 817-830.
Add to citation manager EndNote|Ris|BibTeX
URL: https://www.ahs.ac.cn/EN/10.16420/j.issn.0513-353x.2025-0155
| 基因Gene | 引物Pirmer | 序列(5′-3′)Sequence |
|---|---|---|
| CmSOD | CmSOD-F | TAGCTGTTCTTGAGAGCAATCA |
| CmSOD-R | GATTTTCATCATCTGGAGCACC | |
| 18S rRNA | 18s-F | CTGGTGTGATGGTTGGGATGG |
| 18s-R | GGTTGAGTGCTTCAGTAAG | |
| CmCAT | CmCAT-F | CTCCCAAATGTCCTCACCAT |
| CmCAT-R | CATCGGGAACTTCTCAGCAT | |
| 18S rRNA | 18s-F | GGAAATTGTCCGTGACATGA |
| 18s-R | GAATCTCTCAGCTCCGATGG | |
| CmAPX | CmAPX-F | ACGGTATTTCGTGCTCATTGAC |
| CmAPX-R | CGTGTTGGGGAGACTTCGAG | |
| CmPOD | CmPOD-F | GCCGACGTGCAATATAAAGAAG |
| CmPOD-R | TGGTGGCGACTTTGTTGATT | |
| 18S rRNA | 18s-F | GCTGTCACTGTTTTTGGCGT |
| 18s-R | GCACCACCCTTCAAATGAGC |
Table 1 Primers used in RT-qPCR in this study
| 基因Gene | 引物Pirmer | 序列(5′-3′)Sequence |
|---|---|---|
| CmSOD | CmSOD-F | TAGCTGTTCTTGAGAGCAATCA |
| CmSOD-R | GATTTTCATCATCTGGAGCACC | |
| 18S rRNA | 18s-F | CTGGTGTGATGGTTGGGATGG |
| 18s-R | GGTTGAGTGCTTCAGTAAG | |
| CmCAT | CmCAT-F | CTCCCAAATGTCCTCACCAT |
| CmCAT-R | CATCGGGAACTTCTCAGCAT | |
| 18S rRNA | 18s-F | GGAAATTGTCCGTGACATGA |
| 18s-R | GAATCTCTCAGCTCCGATGG | |
| CmAPX | CmAPX-F | ACGGTATTTCGTGCTCATTGAC |
| CmAPX-R | CGTGTTGGGGAGACTTCGAG | |
| CmPOD | CmPOD-F | GCCGACGTGCAATATAAAGAAG |
| CmPOD-R | TGGTGGCGACTTTGTTGATT | |
| 18S rRNA | 18s-F | GCTGTCACTGTTTTTGGCGT |
| 18s-R | GCACCACCCTTCAAATGAGC |
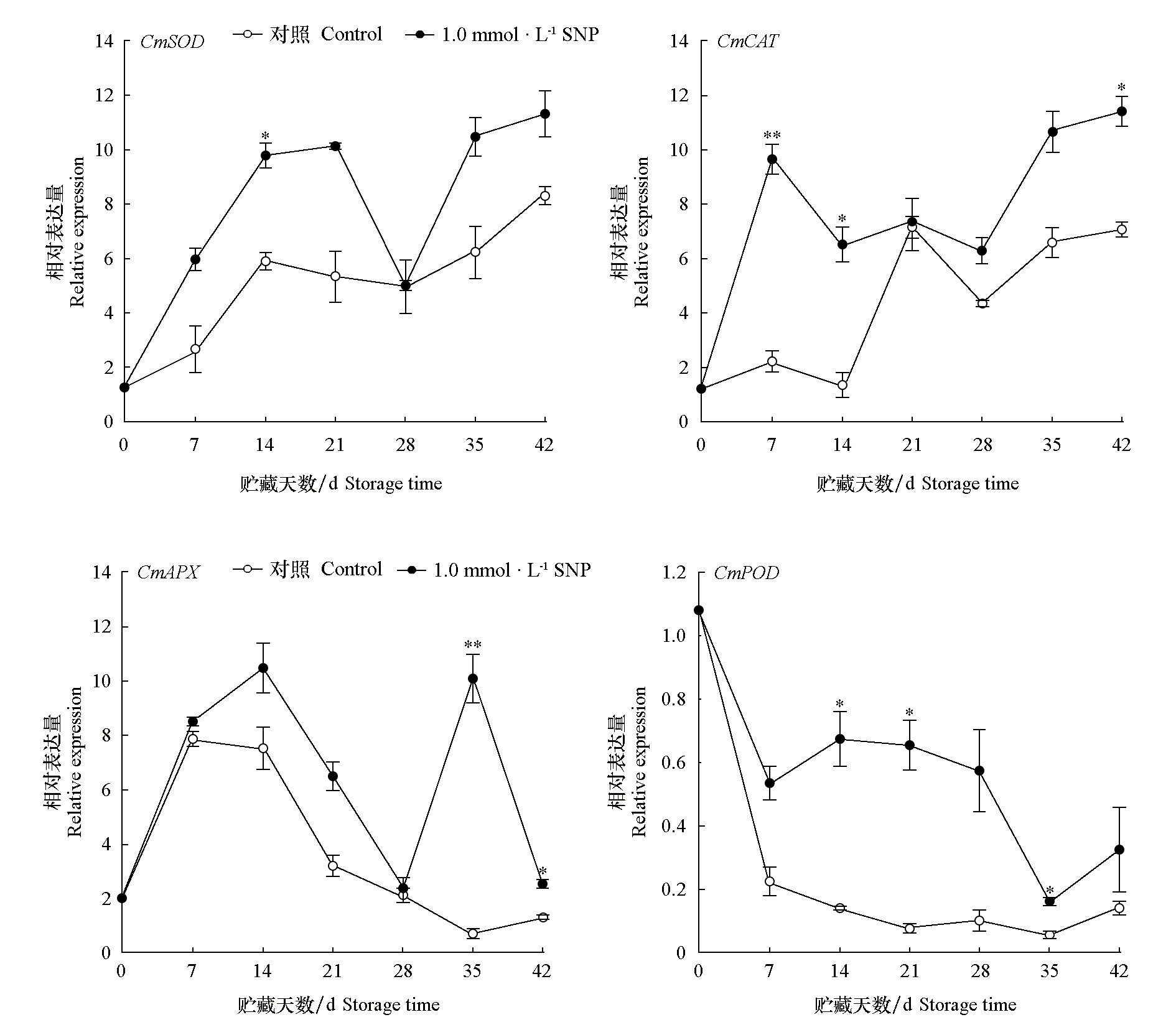
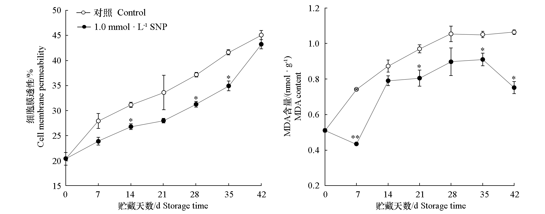
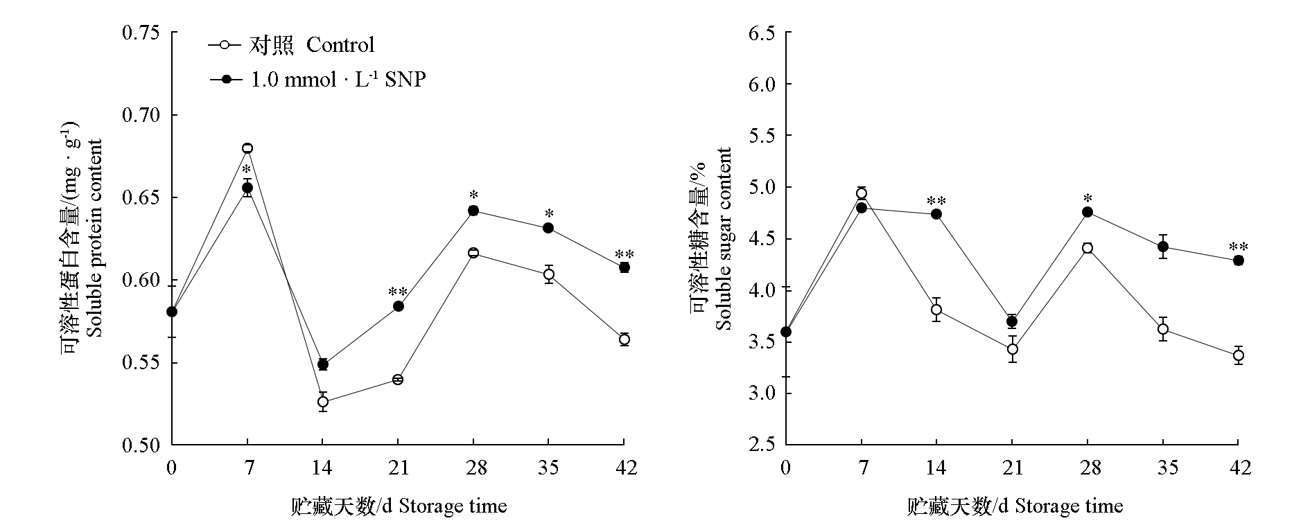
Fig. 2 Effect of SNP treatment on chilling injury index and chilling injury rate of Hami melon The different lowercase letters between groups indicate significant differences(P < 0.05). The same below
| [1] |
doi: 10.1016/S0925-5214(03)00104-2 URL |
| [2] |
|
|
毕莹, 李慧, 马鑫, 王新宇, 王雪, 王富鑫, 许文昌, 王静. 2023. 不同品种哈密瓜果实采后品质与耐冷性关系分析. 食品科技, 48 (10):27-34.
|
|
| [3] |
|
|
曹建康, 姜微波, 赵玉梅. 2007. 果蔬采后生理生化实验指导. 北京: 中国轻工业出版社.
|
|
| [4] |
|
|
常安太. 2022. 哈密瓜片红外热风联合干燥动力学及工艺参数优化[硕士论文]. 石河子: 石河子大学.
|
|
| [5] |
|
|
陈存坤, 王文生, 高元惠, 杨绍艳, 冯炯琦. 2008. 几种贮藏方式对新疆厚皮甜瓜采后生理及贮藏品质的影响. 中国农学通报, 24 (12):119-123.
|
|
| [6] |
|
|
陈加利, 吕金慧, 邢馨予, 陈琪, 陈萍.. 2018. 硝普钠(SNP)对红毛丹采后生理指标的影响. 南方农业, 12 (20):137-139.
|
|
| [7] |
|
|
陈娟, 张婷, 车凤斌, 张辉, 徐斌. 2015. NO处理对哈密瓜果实采后冷害及渗透调节物质的影响. 新疆农业科学, 52 (12):2238-2244.
|
|
| [8] |
doi: 10.13560/j.cnki.biotech.bull.1985.2023-1099 |
|
陈强, 黄馨慧, 张峥, 张冲, 柳叶飞. 2024. 褪黑素对薄皮甜瓜采后软化和乙烯合成的影响. 生物技术通报, 40 (4):139-147.
doi: 10.13560/j.cnki.biotech.bull.1985.2023-1099 |
|
| [9] |
|
|
崔文玉. 2020. 外源硫化氢和一氧化氮处理对采后香蕉果实抗冷性的影响[硕士论文]. 泰安: 山东农业大学.
|
|
| [10] |
|
|
范蓓, 杨杨, 王锋, 董元元, 李庆鹏, 李伟明, 王凤忠. 2013. 外源NO处理对采后杧果抗冷性的影响. 核农学报, 27 (6):800-804.
doi: 10.11869/hnxb.2013.06.0800 |
|
| [11] |
doi: 10.1093/jxb/erv516 URL |
| [12] |
|
| [13] |
|
|
何俊瑜, 任艳芳, 陈元有, 王艳玲, 林肖, 刘冬. 2018. 一氧化氮对常温贮藏下杧果果实软化和细胞壁代谢的影响. 食品工业科技, 39 (17):269-275.
|
|
| [14] |
|
|
何雪莲. 2023. 外源NO处理对黄金勾豆角采后贮藏品质的影响[硕士论文]. 河北: 河北工程大学.
|
|
| [15] |
doi: 10.6048/j.issn.1001-4330.2023.07.016 |
|
李自芹, 李文绮, 贾文婷, 李宇辉, 刘成江. 2023. 氯化钙与1-MCP对西州蜜甜瓜采后贮藏品质的影响. 新疆农业科学, 60 (7):1698-1704.
doi: 10.6048/j.issn.1001-4330.2023.07.016 |
|
| [16] |
|
|
刘云芬. 2016. MeJA和NO诱导冷藏黄瓜抗冷性与抗氧化防御系统的关系[博士论文]. 广州: 华南农业大学.
|
|
| [17] |
doi: 10.3390/foods13010005 URL |
| [18] |
|
|
齐宁利, 程志华, 龚霄, 杨涛华, 静玮, 周伟, 李积华. 2019. 不同保鲜剂处理对冷藏番荔枝贮藏品质的影响. 食品与发酵工业, 45 (22):233-239.
doi: 10.13995/j.cnki.11-1802/ts.021600 |
|
| [19] |
|
| [20] |
|
| [21] |
|
|
王静. 2018. 草酸诱导哈密瓜果实采后耐冷性的作用机理[博士论文]. 杭州: 浙江大学.
|
|
| [22] |
|
|
王静, 李学文, 廖新福, 杨军, 侯焕, 庞玉菲. 2012. 热处理和壳聚糖涂膜对采后接菌哈密瓜生理生化特性的影响. 西北植物学报, 32 (2):318-323.
|
|
| [23] |
|
|
王静, 茅林春, 李学文, 张辉, 易磊闯, 李祖梁, 冯延晓, 臧志娟. 2017. 草酸处理对哈密瓜采后冷害及品质的影响. 食品研究与开发, 38 (16):167-172.
|
|
| [24] |
|
|
王婷婷, 张兆雪, 于梅, 赵敏, 隋园园, 张光腾. 2021. 哈密瓜加工产品研究进展. 中国果菜, 41 (8):21-26.
|
|
| [25] |
|
|
王雪, 李乾, 王新宇, 李慧, 毕莹, 刘彩红,古丽丹 · 塔勒达吾,刘凤兰,王静. 2023. NO熏蒸对冷藏枸杞鲜果糖代谢及基因表达的影响. 食品研究与开发, 44 (15):62-69.
|
|
| [26] |
|
|
文钰, 杨莉玲, 刘岚,哦哈尔 · 帕孜力江,张昱,马文强,杨晗,丁高鹏,崔宽波. 2024. 近冰温贮藏对西梅的采后品质及活性氧代谢的影响. 食品与发酵工业, 50 (11):270-276.
doi: 10.13995/j.cnki.11-1802/ts.035827 |
|
| [27] |
|
|
吴涵溪. 2023. 硝普钠处理对冷藏南果梨抗冷性及香气品质的影响[硕士论文]. 沈阳: 沈阳农业大学.
|
|
| [28] |
|
|
谢晶, 覃子倚, 潘家丽, 李静, 董新红. 2022. 基于主成分分析的硝普钠处理对采后荔枝活性氧代谢的影响. 食品科学, 43 (9):192-198.
|
|
| [29] |
|
|
杨海燕, 吴文龙, 闾连飞. 2020. 干旱胁迫对蓝莓叶片生理特征的影响. 江苏农业科学, 48 (4):131-133.
|
|
| [30] |
|
| [31] |
|
|
杨文侠. 2006. 哈密瓜涂膜保鲜机理的研究[硕士论文]. 北京: 中国农业大学.
|
|
| [32] |
|
|
姚军, 郑贺云, 张翠环,再吐娜 · 买买提,汪志伟,耿新丽. 2023. 外源硝普钠处理对甜瓜采后贮藏特性的影响. 保鲜与加工, 23 (9):1-5.
|
|
| [33] |
|
|
曾硕, 李峰. 2025. 1-MCP对果蔬保鲜机制的影响及研究进展. 中国食品添加剂,(4):159-171.
|
|
| [34] |
|
| [35] |
|
|
张洁仙. 2023. 一氧化氮调控活性氧代谢对吊干杏采后叶绿素降解的影响[硕士论文]. 乌鲁木齐: 新疆农业大学.
|
|
| [36] |
|
|
张琦, 刘千, 张智, 罗锟, 陈萍. 2016. 硝普钠对香蕉采后品质及生理指标的影响. 南方农业学报, 47 (7):1198-1202.
|
|
| [37] |
|
|
张爽. 2024. 外源一氧化氮介导枣果氧化还原代谢和冷害调控机制的研究[硕士论文]. 杭州: 浙江科技学院.
|
|
| [38] |
|
|
张婷, 车凤斌, 潘俨, 刘河疆, 饶景萍. 2015. 哈密瓜果实耐冷性与细胞膜脂肪酸的关系. 园艺学报, 42 (12):2421-2428.
doi: 10.16420/j.issn.0513-353x.2015-0416;http://www. ahs. ac. cn |
|
| [39] |
|
|
张晓军, 刘长悦, 董成虎, 于晋泽, 陈存坤, 王文生, 纪海鹏. 2017. 二氧化氯对西周密25号哈密瓜采后生理及贮藏品质的影响. 食品研究与开发, 38 (22):198-203.
|
|
| [40] |
|
|
张小康. 2017. 一氧化氮对采后肥城桃果实能量代谢及CBF抗冷途径的调控机理[硕士论文]. 泰安: 山东农业大学.
|
|
| [41] |
|
|
周礼超, 宋丽君, 李生娥, 郑小林. 2020. 一氧化氮对猕猴桃采后果实品质和乙醇代谢的影响. 浙江农业科学, 61 (8):1614-1617.
doi: 10.16178/j.issn.0528-9017.20200845 |
| [1] | CHEN Xi, WEN Xue, ZHANG Yanan, WANG Yong, LI Yuling, SUN Feng, ZHAO Yanzhuo, NIU Zaozhu, XU Yan, LIU Guotian. Investigation of the Key Factors Influencing the Embryo Rescue Breeding Efficiency of Polyploid Grapes [J]. Acta Horticulturae Sinica, 2026, 53(3): 671-682. |
| [2] | YANG Yahe, DING Ning, HAO Qiuwen, GAO Junge, ZHANG Pengyu, HU Jingyi, ZHANG Zhongyi, WANG Fengqing. Functional Study of RcMYB4 in Regulating Anthocyanin Biosynthesis in Rehmannia chingii [J]. Acta Horticulturae Sinica, 2026, 53(3): 735-748. |
| [3] | LIU Wenhuan, MA Yanyan, ZHENG Yongqiang. Characteristics of Spring Shoot Phenotype and Mineral Nutrient Contents of Newhall Navel Orange in Different Production Areas [J]. Acta Horticulturae Sinica, 2026, 53(3): 749-762. |
| [4] | CHEN Yanyan, YUE Chenxi, TU Hui, SHI Jikang, TAO Junjie, PAN Hui, LI Wenyi, LI Li, HUANG Chunhui. Evaluation of Resistance to Bacterial Canker Disease and Fungal Soft Rot and Fruit Quality of Jinfeng Kiwifruit Seed Offspring [J]. Acta Horticulturae Sinica, 2026, 53(3): 763-774. |
| [5] | ZHUANG Hongmei, YUNUSOV Salohiddinjon Adhamovich, KAISAER Rehemu, HAN Hongwei, LIU Huifang, ZHAO Jiafen, WANG Qiang, GAO Lihong, WANG Hao. Effects of Exogenous γ-Aminobutyric Acid on Agronomic Traits and Physiological Characteristics of Uzbekistani Turnip [J]. Acta Horticulturae Sinica, 2026, 53(3): 791-801. |
| [6] | ZHANG Changwei, LI Entong, WANG Wenlong, HOU Xilin. The Origin,Evolution,Research,and Industrial Development of Non- Heading Chinese Cabbage [J]. Acta Horticulturae Sinica, 2026, 53(3): 892-918. |
| [7] | ZHANG Yangyong, LÜ Honghao, WANG Yong, JI Jialei, $\boxed{\hbox{FANG Zhiyuan}}$, YANG Limei, ZHUANG Mu, YAO Xuehui, ZHOU Hongwei, YAN Xiangping. A New Cabbage Hybrid‘Zhonggan HD19’with High Taste Quality [J]. Acta Horticulturae Sinica, 2026, 53(3): 919-920. |
| [8] | SHEN Yan, XIA Ziyi, LENG Pingsheng, MA Bo, HU Zenghui. Cloning and Functional Analysis of LiMYB4 in Regulating Terpenoid Biosynthesis in Lilium‘Siberia’ [J]. Acta Horticulturae Sinica, 2026, 53(2): 525-537. |
| [9] | LI Chonghui, HONG Xiaoyu, LU Shunjiao, LIAO Yi, YIN Junmei. Elucidation of Floral Scent Formation in Phalaenopsis-Type Dendrobium Hybrids by Integrated Metabolome and Transcriptome Analysis [J]. Acta Horticulturae Sinica, 2026, 53(2): 557-573. |
| [10] | XU Yong, YANG Yang, WANG Ruotong, MAO Yiru, FENG Liguo. Effects of Exogenous Melatonin on Rose Fragrance [J]. Acta Horticulturae Sinica, 2026, 53(2): 574-584. |
| [11] | WU Jue, SHI Yinghong, TANG Yuying, WANG Xinman, ZHAN Xiuping. Analysis and Evaluation of Agronomic Traits and Nutritional Quality in Different Types of Non-Heading Chinese Cabbage for Autumn-Winter Cultivation in Shanghai [J]. Acta Horticulturae Sinica, 2026, 53(1): 219-228. |
| [12] | KANG Jingbo, WEN Huan, WU Qun, AO Yijun, CHEN Jiajing, LIU Yuan, XU Juan. Comparative Analysis of Volatile Compounds in Seven Citrus junos Germplasms [J]. Acta Horticulturae Sinica, 2026, 53(1): 25-40. |
| [13] | FAN Yongsheng, REN Yi, LIU Sichao, FENG Fudong, NIE Lanchun, WANG Xinxin. Application of Plant Growth Regulators in Tomato Production and Their Effects on Fruit Quality [J]. Acta Horticulturae Sinica, 2026, 53(1): 313-330. |
| [14] | SU Fuyuan, PEI Xian, LI Changlin, WANG Yan, YAO Chuanwu, ZHANG Hua. Palynological Study and Molecular Marker Identification of Male Genetic Resources of Persimmon in the Dabie Mountain Region [J]. Acta Horticulturae Sinica, 2026, 53(1): 56-64. |
| [15] | BAO Min, TIAN Yaping, LI Fan, WEI Xixi, LIU Miaomiao, HASSAN Jawad, LI Zhi, ZHAO Yijie, GAO Min, WANG Xiping. Embryological,Physiological and Biochemical Mechanisms Underlying GA3-Induced Seedlessness in Grapes [J]. Acta Horticulturae Sinica, 2026, 53(1): 65-81. |
| Viewed | ||||||
|
Full text |
|
|||||
|
Abstract |
|
|||||
Copyright © 2012 Acta Horticulturae Sinica 京ICP备10030308号-2 国际联网备案号 11010802023439
Tel: 010-82109523 E-Mail: yuanyixuebao@126.com
Support by: Beijing Magtech Co.Ltd