Acta Horticulturae Sinica ›› 2026, Vol. 53 ›› Issue (3): 749-762.doi: 10.16420/j.issn.0513-353x.2025-0929
• Cultivation·Physiology & Biochemistry • Previous Articles Next Articles
LIU Wenhuan, MA Yanyan, ZHENG Yongqiang*(
)
Received:2025-10-27
Revised:2025-11-26
Online:2026-03-25
Published:2026-03-20
Contact:
ZHENG Yongqiang
LIU Wenhuan, MA Yanyan, ZHENG Yongqiang. Characteristics of Spring Shoot Phenotype and Mineral Nutrient Contents of Newhall Navel Orange in Different Production Areas[J]. Acta Horticulturae Sinica, 2026, 53(3): 749-762.
Add to citation manager EndNote|Ris|BibTeX
URL: https://www.ahs.ac.cn/EN/10.16420/j.issn.0513-353x.2025-0929
| 产业带 Industrial belt | 产区 Area | 纬度 Latitude | 经度 Longitude | 海拔/m Altitude |
|---|---|---|---|---|
| 浙—闽—粤 Zhejiang-Fujian-Guangdong | 广东省平远县(PY)Pingyuan County,Guangdong Province | 24°34′10′′N | 115°51'43′′E | 208 |
| 西江流域 Xijiang River Basin | 广西省富川县(FC)Fuchuan County,Guangxi Province | 24°51′36′′N | 111°15′57′′E | 216 |
| 云南省宾川县(BC)Binchuan County,Yunnan Province | 25°42′16′′N | 100°27′26′′E | 1 650 | |
| 桂北—赣南—湘南 Northern Guangxi-Southwest Jiangxi- Southwest Hunan | 湖南省郴州市(CZ)Chenzhou City,Hunan Province | 25°24′32′′N | 112°58′44′′E | 339 |
| 江西省赣州市(GZ)Ganzhou City,Jiangxi Province | 25°46′21′′N | 114°51′15′′E | 124 | |
| 湖南省新宁县(XN)Xinning County,Hunan Province | 26°31′49′′N | 110°56′48′′E | 307 | |
| 鄂西—湘西 Western Hubei-Western Hunan | 湖南省怀化市(HH)Huaihua City,Hunan Province | 27°57′11′′N | 110°41′19′′E | 170 |
| 湖北省枝江市(ZJ)Zhijiang City,Hubei Province | 30°28′33′′N | 111°42′39′′E | 69 | |
| 长江中上游 The middle and upper reaches of the Yangtze River | 四川省雷波县(LB)Leibo County,Sichuan Province | 28°12′28′′N | 103°33′20′′E | 670 |
| 重庆市北碚区(BB)Beibei District,Chongqing | 29°45′28′′N | 106°22′44′′E | 236 | |
| 重庆市云阳县(YY)Yunyang County,Chongqing | 30°48′56′′N | 108°50′37′′E | 492 | |
| 丹江库区 Danjiang Reservoir Area | 湖北省丹江口市(DJK) Danjiangkou City,Hubei Province | 32°33′48′′N | 111°32′49′′E | 202 |
Table 1 Geographical location and altitude of experimental sites in main Newhall navel orange producing areas of China
| 产业带 Industrial belt | 产区 Area | 纬度 Latitude | 经度 Longitude | 海拔/m Altitude |
|---|---|---|---|---|
| 浙—闽—粤 Zhejiang-Fujian-Guangdong | 广东省平远县(PY)Pingyuan County,Guangdong Province | 24°34′10′′N | 115°51'43′′E | 208 |
| 西江流域 Xijiang River Basin | 广西省富川县(FC)Fuchuan County,Guangxi Province | 24°51′36′′N | 111°15′57′′E | 216 |
| 云南省宾川县(BC)Binchuan County,Yunnan Province | 25°42′16′′N | 100°27′26′′E | 1 650 | |
| 桂北—赣南—湘南 Northern Guangxi-Southwest Jiangxi- Southwest Hunan | 湖南省郴州市(CZ)Chenzhou City,Hunan Province | 25°24′32′′N | 112°58′44′′E | 339 |
| 江西省赣州市(GZ)Ganzhou City,Jiangxi Province | 25°46′21′′N | 114°51′15′′E | 124 | |
| 湖南省新宁县(XN)Xinning County,Hunan Province | 26°31′49′′N | 110°56′48′′E | 307 | |
| 鄂西—湘西 Western Hubei-Western Hunan | 湖南省怀化市(HH)Huaihua City,Hunan Province | 27°57′11′′N | 110°41′19′′E | 170 |
| 湖北省枝江市(ZJ)Zhijiang City,Hubei Province | 30°28′33′′N | 111°42′39′′E | 69 | |
| 长江中上游 The middle and upper reaches of the Yangtze River | 四川省雷波县(LB)Leibo County,Sichuan Province | 28°12′28′′N | 103°33′20′′E | 670 |
| 重庆市北碚区(BB)Beibei District,Chongqing | 29°45′28′′N | 106°22′44′′E | 236 | |
| 重庆市云阳县(YY)Yunyang County,Chongqing | 30°48′56′′N | 108°50′37′′E | 492 | |
| 丹江库区 Danjiang Reservoir Area | 湖北省丹江口市(DJK) Danjiangkou City,Hubei Province | 32°33′48′′N | 111°32′49′′E | 202 |
| 产业带 Industrial belt | 产区 Area | 生殖枝密度/ (个 · m-2) Reproductive shoot density | 营养枝密度/ (个 · m-2) Vegetative shoot density | 春梢比 Spring shoot number proportion | 生物量比 Spring shoot biomass proportion |
|---|---|---|---|---|---|
| 浙—闽—粤 Zhejiang-Fujian-Guangdong | 广东平远 Pingyuan,Guangdong | 14 ± 5 Cbc | 16 ± 7 Bd | 0.99 ± 0.54 BCbcde | 0.72 ± 0.50 Cc |
| 西江流域 Xijiang River Basin | 广西富川 Fuchuan,Guangxi | 33 ± 6 b | 71 ± 18 a | 0.49 ± 0.15 de | 0.53 ± 0.10 c |
| 云南宾川 Binchuan,Yunnan | 35 ± 17 b | 27 ± 16 bcd | 1.51 ± 0.60 bcde | 1.31 ± 0.56 bc | |
| 均值 ± 标准差Mean ± SD | 34 ± 12 AB | 49 ± 28 A | 1.00 ± 0.68 BC | 0.92 ± 0.56 C | |
| 桂北—赣南—湘南 Northern Guangxi-Southwest Jiangxi-Southwest Hunan | 湖南郴州 Chenzhou,Hunan | 19 ± 8 bc | 49 ± 19 b | 0.51 ± 0.40 de | 0.78 ± 1.17 c |
| 江西赣州 Ganzhou,Jiangxi | 27 ± 15 b | 45 ± 23 bc | 0.85 ± 0.73 bcde | 1.31 ± 1.18 bc | |
| 湖南新宁 Xinning,Hunan | 17 ± 5 bc | 15 ± 5 d | 1.20 ± 0.44 bcde | 0.77 ± 0.39 c | |
| 均值 ± 标准差Mean ± SD | 21 ± 10 BC | 37 ± 23 AB | 0.85 ± 0.59 BC | 0.95 ± 0.96 C | |
| 鄂西—湘西 Western Hubei-Western Hunan | 湖南怀化 Huaihua,Hunan | 3 ± 2 c | 10 ± 6 d | 0.39 ± 0.25 e | 0.29 ± 0.20 c |
| 湖北枝江 Zhijiang,Hubei | 13 ± 5 bc | 28 ± 13 bcd | 0.56 ± 0.39 cde | 0.51 ± 0.40 c | |
| 均值 ± 标准差Mean ± SD | 8 ± 7 C | 19 ± 14 B | 0.47 ± 0.32 C | 0.40 ± 0.32 C | |
| 长江中上游 The middle and upper reaches of the Yangtze River | 四川雷波 Leibo,Sichuan | 32 ± 8 b | 23 ± 14 cd | 1.73 ± 0.71 abcd | 1.38 ± 0.62 bc |
| 重庆北碚 Beibei,Chongqing | 63 ± 28 a | 45 ± 26 bc | 1.97 ± 1.46 ab | 3.07 ± 3.88 a | |
| 重庆云阳 Yunyang,Chongqing | 26 ± 8 b | 10 ± 2 d | 2.94 ± 1.76 a | 2.99 ± 3.39 a | |
| 均值 ± 标准差Mean ± SD | 53 ± 29 A | 36 ± 26 AB | 2.08 ± 1.44 A | 2.81 ± 3.51 A | |
| 丹江库区 Danjiang Reservoir Area | 湖北丹江口 Danjiangkou,Hubei | 36 ± 9 ABb | 21 ± 7 Bd | 1.84 ± 0.52 Aabc | 1.89 ± 1.30 Bb |
| 所有产区 All areas | 均值 ± 标准差Mean ± SD | 35 ± 26 | 34 ± 24 | 1.42 ± 1.20 | 1.71 ± 2.53 |
Table 2 Regional differences in Newhall navel orange spring shoot quantity-related phenotypic traits (density,proportion)
| 产业带 Industrial belt | 产区 Area | 生殖枝密度/ (个 · m-2) Reproductive shoot density | 营养枝密度/ (个 · m-2) Vegetative shoot density | 春梢比 Spring shoot number proportion | 生物量比 Spring shoot biomass proportion |
|---|---|---|---|---|---|
| 浙—闽—粤 Zhejiang-Fujian-Guangdong | 广东平远 Pingyuan,Guangdong | 14 ± 5 Cbc | 16 ± 7 Bd | 0.99 ± 0.54 BCbcde | 0.72 ± 0.50 Cc |
| 西江流域 Xijiang River Basin | 广西富川 Fuchuan,Guangxi | 33 ± 6 b | 71 ± 18 a | 0.49 ± 0.15 de | 0.53 ± 0.10 c |
| 云南宾川 Binchuan,Yunnan | 35 ± 17 b | 27 ± 16 bcd | 1.51 ± 0.60 bcde | 1.31 ± 0.56 bc | |
| 均值 ± 标准差Mean ± SD | 34 ± 12 AB | 49 ± 28 A | 1.00 ± 0.68 BC | 0.92 ± 0.56 C | |
| 桂北—赣南—湘南 Northern Guangxi-Southwest Jiangxi-Southwest Hunan | 湖南郴州 Chenzhou,Hunan | 19 ± 8 bc | 49 ± 19 b | 0.51 ± 0.40 de | 0.78 ± 1.17 c |
| 江西赣州 Ganzhou,Jiangxi | 27 ± 15 b | 45 ± 23 bc | 0.85 ± 0.73 bcde | 1.31 ± 1.18 bc | |
| 湖南新宁 Xinning,Hunan | 17 ± 5 bc | 15 ± 5 d | 1.20 ± 0.44 bcde | 0.77 ± 0.39 c | |
| 均值 ± 标准差Mean ± SD | 21 ± 10 BC | 37 ± 23 AB | 0.85 ± 0.59 BC | 0.95 ± 0.96 C | |
| 鄂西—湘西 Western Hubei-Western Hunan | 湖南怀化 Huaihua,Hunan | 3 ± 2 c | 10 ± 6 d | 0.39 ± 0.25 e | 0.29 ± 0.20 c |
| 湖北枝江 Zhijiang,Hubei | 13 ± 5 bc | 28 ± 13 bcd | 0.56 ± 0.39 cde | 0.51 ± 0.40 c | |
| 均值 ± 标准差Mean ± SD | 8 ± 7 C | 19 ± 14 B | 0.47 ± 0.32 C | 0.40 ± 0.32 C | |
| 长江中上游 The middle and upper reaches of the Yangtze River | 四川雷波 Leibo,Sichuan | 32 ± 8 b | 23 ± 14 cd | 1.73 ± 0.71 abcd | 1.38 ± 0.62 bc |
| 重庆北碚 Beibei,Chongqing | 63 ± 28 a | 45 ± 26 bc | 1.97 ± 1.46 ab | 3.07 ± 3.88 a | |
| 重庆云阳 Yunyang,Chongqing | 26 ± 8 b | 10 ± 2 d | 2.94 ± 1.76 a | 2.99 ± 3.39 a | |
| 均值 ± 标准差Mean ± SD | 53 ± 29 A | 36 ± 26 AB | 2.08 ± 1.44 A | 2.81 ± 3.51 A | |
| 丹江库区 Danjiang Reservoir Area | 湖北丹江口 Danjiangkou,Hubei | 36 ± 9 ABb | 21 ± 7 Bd | 1.84 ± 0.52 Aabc | 1.89 ± 1.30 Bb |
| 所有产区 All areas | 均值 ± 标准差Mean ± SD | 35 ± 26 | 34 ± 24 | 1.42 ± 1.20 | 1.71 ± 2.53 |
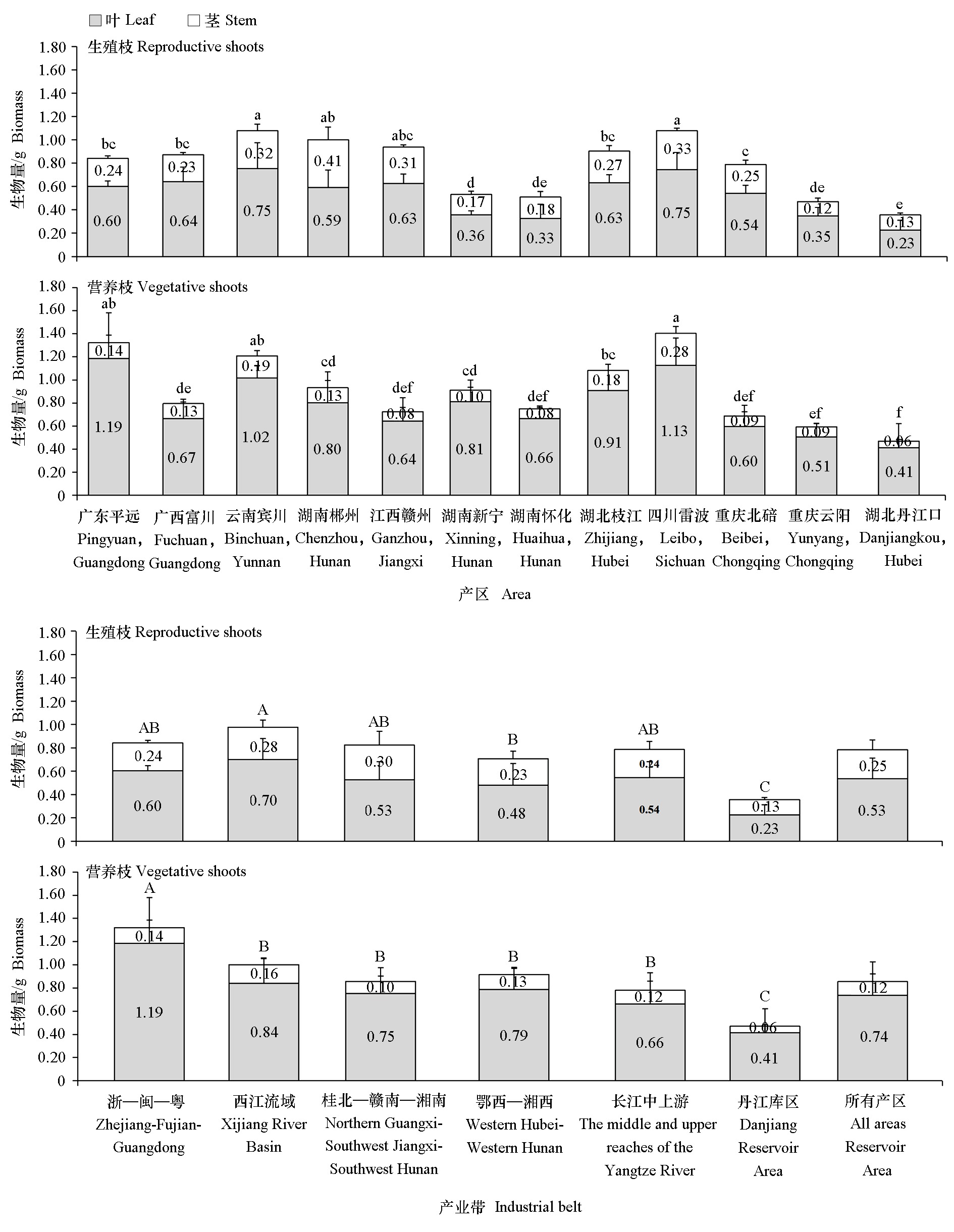
Fig. 1 Regional differences in biomass traits between Newhall navel orange reproductive shoots and vegetative shoots Different lowercase letters indicate significant differences among producing areas for the same spring shoot type,while uppercase letters indicate significant differences among industrial belts(P < 0.05)
| 产业带 Industrial belt | 产区 Area | 生殖枝 Reproductive shoots | 营养枝 Vegetative shoots | ||||
|---|---|---|---|---|---|---|---|
| N/% | P/% | K/% | N/% | P/% | K/% | ||
| 浙—闽—粤 Zhejiang- Fujian-Guangdong | 广东平远 Pingyuan,Guangdong | 2.52 ± 0.09 a | 0.18 ± 0.04 a | 1.65 ± 0.17 a | 2.91 ± 0.26ab | 0.19 ± 0.07 a | 1.91 ± 0.23 a |
| 桂北—赣南—湘南 Northern Guangxi-Southwest Jiangxi-Southwest Hunan | 湖南郴州 Chenzhou,Hunan | 1.97 ± 0.15 d | 0.10 ± 0.01 c | 1.48 ± 0.12 b | 2.56 ± 0.09 c | 0.13 ± 0.01 c | 1.75 ± 0.32 a |
| 江西赣州 Ganzhou,Jiangxi | 2.18 ± 0.09 bc | 0.11 ± 0.01 c | 1.69 ± 0.11 a | 2.71 ± 0.06 bc | 0.15 ± 0.01 bc | 1.89 ± 0.18 a | |
| 湖南新宁 Xinning,Hunan | 2.47 ± 0.10 a | 0.13 ± 0.01 b | 1.73 ± 0.02 a | 3.05 ± 0.26 a | 0.18 ± 0.01 a | 1.80 ± 0.10 a | |
| 均值 ± 标准差 Mean ± SD | 2.21 ± 0.24 | 0.12 ± 0.02 | 1.63 ± 0.14 | 2.77 ± 0.26 | 0.15 ± 0.02 | 1.81 ± 0.21 | |
| 长江中上游 The middle and upper reaches of the Yangtze River | 四川雷波 Leibo,Sichuan | 2.36 ± 0.31 ab | 0.16 ± 0.02 a | 1.65 ± 0.03 a | 2.73 ± 0.25 bc | 0.17 ± 0.01 ab | 1.39 ± 0.11 b |
| 重庆北碚 Beibei,Chongqing | 1.89 ± 0.17 d | 0.10 ± 0.02 c | 1.17 ± 0.07 c | 2.53 ± 0.16 c | 0.12 ± 0.01 c | 1.00 ± 0.13 d | |
| 重庆云阳 Yunyang,Chongqing | 2.48 ± 0.27 a | 0.10 ± 0.01 c | 1.26 ± 0.12 c | 2.92 ± 0.17 ab | 0.15 ± 0.02 bc | 1.28 ± 0.10 bc | |
| 均值 ± 标准差 Mean ± SD | 2.05 ± 0.32 | 0.11 ± 0.03 | 1.25 ± 0.19 | 2.62 ± 0.23 | 0.13 ± 0.02 | 1.10 ± 0.20 | |
| 丹江库区 Danjiang Reservoir Area | 湖北丹江口 Danjiangkou,Hubei | 2.06 ± 0.09 cd | 0.10 ± 0.01 c | 1.17 ± 0.08 c | 2.64 ± 0.35 c | 0.15 ± 0.02 bc | 1.19 ± 0.20 c |
| 所有产区 All areas | 均值 ± 标准差 Mean ± SD | 2.13 ± 0.30 | 0.12 ± 0.03 | 1.38 ± 0.25 | 2.69 ± 0.26 | 0.14 ± 0.03 | 1.36 ± 0.40 |
Table 3 Regional differences in Newhall navel orange spring shoot macronutrient content
| 产业带 Industrial belt | 产区 Area | 生殖枝 Reproductive shoots | 营养枝 Vegetative shoots | ||||
|---|---|---|---|---|---|---|---|
| N/% | P/% | K/% | N/% | P/% | K/% | ||
| 浙—闽—粤 Zhejiang- Fujian-Guangdong | 广东平远 Pingyuan,Guangdong | 2.52 ± 0.09 a | 0.18 ± 0.04 a | 1.65 ± 0.17 a | 2.91 ± 0.26ab | 0.19 ± 0.07 a | 1.91 ± 0.23 a |
| 桂北—赣南—湘南 Northern Guangxi-Southwest Jiangxi-Southwest Hunan | 湖南郴州 Chenzhou,Hunan | 1.97 ± 0.15 d | 0.10 ± 0.01 c | 1.48 ± 0.12 b | 2.56 ± 0.09 c | 0.13 ± 0.01 c | 1.75 ± 0.32 a |
| 江西赣州 Ganzhou,Jiangxi | 2.18 ± 0.09 bc | 0.11 ± 0.01 c | 1.69 ± 0.11 a | 2.71 ± 0.06 bc | 0.15 ± 0.01 bc | 1.89 ± 0.18 a | |
| 湖南新宁 Xinning,Hunan | 2.47 ± 0.10 a | 0.13 ± 0.01 b | 1.73 ± 0.02 a | 3.05 ± 0.26 a | 0.18 ± 0.01 a | 1.80 ± 0.10 a | |
| 均值 ± 标准差 Mean ± SD | 2.21 ± 0.24 | 0.12 ± 0.02 | 1.63 ± 0.14 | 2.77 ± 0.26 | 0.15 ± 0.02 | 1.81 ± 0.21 | |
| 长江中上游 The middle and upper reaches of the Yangtze River | 四川雷波 Leibo,Sichuan | 2.36 ± 0.31 ab | 0.16 ± 0.02 a | 1.65 ± 0.03 a | 2.73 ± 0.25 bc | 0.17 ± 0.01 ab | 1.39 ± 0.11 b |
| 重庆北碚 Beibei,Chongqing | 1.89 ± 0.17 d | 0.10 ± 0.02 c | 1.17 ± 0.07 c | 2.53 ± 0.16 c | 0.12 ± 0.01 c | 1.00 ± 0.13 d | |
| 重庆云阳 Yunyang,Chongqing | 2.48 ± 0.27 a | 0.10 ± 0.01 c | 1.26 ± 0.12 c | 2.92 ± 0.17 ab | 0.15 ± 0.02 bc | 1.28 ± 0.10 bc | |
| 均值 ± 标准差 Mean ± SD | 2.05 ± 0.32 | 0.11 ± 0.03 | 1.25 ± 0.19 | 2.62 ± 0.23 | 0.13 ± 0.02 | 1.10 ± 0.20 | |
| 丹江库区 Danjiang Reservoir Area | 湖北丹江口 Danjiangkou,Hubei | 2.06 ± 0.09 cd | 0.10 ± 0.01 c | 1.17 ± 0.08 c | 2.64 ± 0.35 c | 0.15 ± 0.02 bc | 1.19 ± 0.20 c |
| 所有产区 All areas | 均值 ± 标准差 Mean ± SD | 2.13 ± 0.30 | 0.12 ± 0.03 | 1.38 ± 0.25 | 2.69 ± 0.26 | 0.14 ± 0.03 | 1.36 ± 0.40 |
Fig. 2 Correlation heatmap of spring shoot number-biomass-mineral nutrients SSNP:Spring shoot number proportion;RSD:Reproductive shoot density;VSD:Vegetative shoot density;RSALB:Reproductive shoot average leaf biomass;RSASB:Reproductive shoot average stem biomass;RSAB:Reproductive shoot average biomass;VSALB:Vegetative shoot average leaf biomass;VSASB:Vegetative shoot average stem biomass;VSAB:Vegetative shoot average biomass;SSBP:Spring shoot biomass proportion;RSNC:Reproductive shoot nitrogen content;VSNC:Vegetative shoot nitrogen content;RSPC:Reproductive shoot phosphorus content;VSPC:Vegetative shoot phosphorus content;RSKC:Reproductive shoot potassium content;VSKC:Vegetative shoot potassium content
| [1] |
|
|
鲍士旦. 2000. 土壤农化分析. 3版. 北京:中国农业出版社:242-270.
|
|
| [2] |
|
| [3] |
|
|
陈雅敏, 冯述青, 杨天翔, 张韦倩, 王寿兵. 2013. 我国不同类型土壤有机质含量的统计学特征. 复旦学报(自然科学版), 52 (2):220-224.
|
|
| [4] |
|
|
陈志敏, 陈晓林, 谭振华, 陈兆星, 谌丹丹, 马岩岩, 郑永强, 易时来, 吕强, 谢让金. 2023. 不同产区纽荷尔脐橙橘园果实综合品质评价与适宜区域筛选. 中国农业科学, 56 (10):1949-1965.
doi: 10.3864/j.issn.0578-1752.2023.10.011 |
|
| [5] |
doi: 10.1007/s11119-021-09864-1 |
| [6] |
DB42/T 2321-2024. Local standard of Hubei Province. Technical code for Newhall navel orange production. (in Chinese)
|
|
DB42/T 2321-2024. 湖北省地方标准. 纽荷尔脐橙生产技术规程.
|
|
| [7] |
|
|
刁莉华. 2013. 柑橘叶片营养元素含量的季节变化[硕士论文]. 重庆: 西南大学.
|
|
| [8] |
doi: 10.3390/agriculture14112059 URL |
| [9] |
|
| [10] |
doi: 10.3390/su17167291 URL |
| [11] |
doi: 10.3390/agronomy10121988 URL |
| [12] |
|
| [13] |
|
| [14] |
|
|
胡德玉, 邓烈, 刘雪峰, 汪志涛, 李永杰, 钱春. 2016. 脐橙植株冠层光照、叶片营养及果实品质的空间分布研究. 西南大学学报(自然科学版), 38 (6):7-14.
|
|
| [15] |
|
| [16] |
|
| [17] |
|
|
梁珊珊. 2017. 我国柑橘主产区氮磷钾肥施用现状及减施潜力研究[硕士论文]. 武汉:华中农业大学
|
|
| [18] |
|
| [19] |
|
|
刘雪峰, 胡德玉, 马晓丽, 向苹苇, 袁项成. 2023. 不同树形柑橘冠层春梢、叶片营养及果实的空间分布. 甘肃农业大学学报, 58 (6):126-135.
|
|
| [20] |
|
| [21] |
|
| [22] |
|
|
马凯, 侯喜林. 2006. 园艺通论. 2版. 北京: 高等教育出版社.
|
|
| [23] |
doi: 10.3390/plants11192547 URL |
| [24] |
doi: 10.1071/EA9920105 URL |
| [25] |
National Bureau of Statistics of China. 2022. China statistical yearbook. (in Chinese)
|
|
国家统计局. 2022. 中国统计年鉴.
|
|
| [26] |
NY/T 977-2006. Agricultural industry standard of the People's Republic of China. Technical code for navel orange production in Gannan-Xiangnan-Guibei. (in Chinese)
|
|
NY/T 977-2006. 中华人民共和国农业行业标准. 赣南—湘南—桂北脐橙生产技术规程.
|
|
| [27] |
|
| [28] |
|
| [29] |
doi: 10.21273/HORTSCI.7.2.124 URL |
| [30] |
|
| [31] |
|
| [32] |
|
|
王娅. 2019. 重庆三峡库区柑橘叶片营养综合诊断技术研究[硕士论文]. 重庆: 西南大学.
|
|
| [33] |
doi: 10.1016/S1002-0160(11)60182-3 URL |
| [34] |
|
| [35] |
doi: 10.1016/j.hpj.2023.03.015 URL |
| [36] |
|
|
张梦娇. 2017. 纽荷尔脐橙等三个柑橘品种树体营养水平与果实品质的初步研究[硕士论文]. 重庆: 西南大学.
|
| [1] | ZHANG Zuming, LUO Sifang, ZENG Chunfa, YANG Yuehua, LIU Jiacheng, GUO Zijing, CHEN Hong, GONG Huiyi, XIE Lifang, YAN Xiang, ZHANG Hongming. A New Early-Maturing Navel Orange Cultivar‘Anyuanzao’ [J]. Acta Horticulturae Sinica, 2025, 52(S2): 75-76. |
| [2] | TIAN Hongmei, WANG Yuanlong, WANG Fei, PAN Hong, TAO Zhen, ZHANG Jian, WANG Pengcheng. A New Muskmelon Cultivar‘Jinzhongyuan Jintian’ [J]. Acta Horticulturae Sinica, 2025, 52(S1): 153-154. |
| [3] | CHU Zhuannan, YIN Dongmei, WANG Bingyuan, LI Weiwen, XIONG Rui, PENG Xingxing, DONG Ling, CUI Guangsheng, LIANG Hua, HAN Piao, LÜ Xinxin. A New Chrysanthemum morifolium Cultivar‘Huiju 3’ [J]. Acta Horticulturae Sinica, 2025, 52(S1): 175-176. |
| [4] | XU Shisong, WANG Zhiquan, LENG Qingyun, LI Haiyan, WANG Yaru, NIU Junhai. A New Bougainvillea Cultivar‘Jiasha’ [J]. Acta Horticulturae Sinica, 2025, 52(S1): 219-220. |
| [5] | TANG Jiayi, MIAO Chouyu, YIN Haojie, WU Mingyue, CAO Xiangmin, ZHANG Huimin, JIN Yan, LU Xiaopeng, ZHU Yichi, LI Dazhi, SHENG Ling. The Effect of Exogenous Oxalic Acid Treatment on the Fruit Quality and Anthocyanin Metabolism of Postharvest Blood Orange Fruit [J]. Acta Horticulturae Sinica, 2025, 52(9): 2425-2438. |
| [6] | KONG Jiatao, FU Caixia, WU Yanuo, LIU Yuan, HU Zhehui, XU Juan, HUANG Hao, ZHAO Zhao, CHEN Lei, CHEN Jiajing. Flavoromics Analysis and Flavor Quality Difference Analysis in Bingtang Oranges [J]. Acta Horticulturae Sinica, 2025, 52(4): 984-996. |
| [7] | BI Qingrui, CUI Dongsheng, MA Xinyuan, XUE Yuran, ZHANG Shikui, FAN Guoquan, NIU Yingying. Genetic Diversity and Genetic Relationship of Local Pear Cultivars in Xinjiang [J]. Acta Horticulturae Sinica, 2025, 52(3): 561-574. |
| [8] | CHEN Ming, ZHANG Jieru, YANG Hangyun, WANG Yinbao, ZHENG Zhiyuan, ZENG Jiaoke, CHEN Jinyin, FU Yongqi, XIANG Miaolian. Induction Mechanism of Methyl Jasmonate on Postharvest Navel Orange Fruit Against Blue Mold [J]. Acta Horticulturae Sinica, 2024, 51(9): 2183-2194. |
| [9] | JIN Tian, XU Yuemei, KUANG Guanling, LIU Guidong. Effect of Boron Deficiency on the Root Growth and Mitochondrial Function of Trifoliate Orange Seedlings [J]. Acta Horticulturae Sinica, 2024, 51(1): 121-132. |
| [10] | ZHAO Wantong , PU Jin’an , ZHANG Cuiying , YANG Zhaogui , and JIANG Dong, . A New Early Maturing Bingtang Sweet Orange Cultivar‘Xinbing 30’ [J]. Acta Horticulturae Sinica, 2023, 50(S1): 33-34. |
| [11] | LÜ Zhengxin, HE Yanqun, JIA Dongfeng, HUANG Chunhui, ZHONG Min, LIAO Guanglian, ZHU Yi, YUAN Kaichang, LIU Chuanhao, XU Xiaobiao. Genetic Diversity Analysis of Phenotypic Traits for Kiwifruit Germplasm Resources [J]. Acta Horticulturae Sinica, 2022, 49(7): 1571-1581. |
| [12] | WANG Jing, XU Leifeng, WANG Ling, QI Xianyu, SONG Meng, CAO Yuwei, HE Guoren, TANG Yuchao, YANG Panpan, MING Jun. The Numerical Classification of Flower Color Phenotype in Lily [J]. Acta Horticulturae Sinica, 2022, 49(3): 571-580. |
| [13] | GUO Xin, CHENG Fangyun, ZHONG Yuan, CHENG Xinyun, TAO Xiwen. The Quantitative Classification of Flower Color Phenotype in Paeonia rockii(Flare Tree Peony) [J]. Acta Horticulturae Sinica, 2022, 49(1): 86-99. |
| [14] | YIN Hantai, YIN Junmei, LIAO Yi, LU Shunjiao, LI Chonghui. Phenotype Classification Based on Flower Color,Pigment Distribution and Epidermal Cell Shape of Dendrobium Hybrids [J]. Acta Horticulturae Sinica, 2021, 48(10): 1907-1920. |
| [15] | LI Qiang,QI Jingjing,DOU Wanfu,QIN Xiujuan,HE Yongrui*,and CHEN Shanchun*. Overexpression of CsNBS-LRR in Citrus Confers Bacterial Canker Resistance by Regulating SA Signaling Pathway [J]. ACTA HORTICULTURAE SINICA, 2020, 47(5): 817-826. |
| Viewed | ||||||
|
Full text |
|
|||||
|
Abstract |
|
|||||
Copyright © 2012 Acta Horticulturae Sinica 京ICP备10030308号-2 国际联网备案号 11010802023439
Tel: 010-82109523 E-Mail: yuanyixuebao@126.com
Support by: Beijing Magtech Co.Ltd