Acta Horticulturae Sinica ›› 2026, Vol. 53 ›› Issue (1): 65-81.doi: 10.16420/j.issn.0513-353x.2025-0039
• Genetic & Breeding·Germplasm Resources·Molecular Biology • Previous Articles Next Articles
BAO Min1, TIAN Yaping1, LI Fan1, WEI Xixi1, LIU Miaomiao1, HASSAN Jawad1, LI Zhi1,2, ZHAO Yijie1,2, GAO Min1,2, WANG Xiping1,2,*(
)
Received:2025-03-20
Revised:2025-11-19
Online:2026-01-25
Published:2026-01-26
Contact:
WANG Xiping
BAO Min, TIAN Yaping, LI Fan, WEI Xixi, LIU Miaomiao, HASSAN Jawad, LI Zhi, ZHAO Yijie, GAO Min, WANG Xiping. Embryological,Physiological and Biochemical Mechanisms Underlying GA3-Induced Seedlessness in Grapes[J]. Acta Horticulturae Sinica, 2026, 53(1): 65-81.
Add to citation manager EndNote|Ris|BibTeX
URL: https://www.ahs.ac.cn/EN/10.16420/j.issn.0513-353x.2025-0039
| 处理 Treatment | 坐果率/% Fruit set rate | 无核率/% Seedlessness rate | ||
|---|---|---|---|---|
| 户太8号 Hutai 8 | 红地球 Red Globe | 户太8号 Hutai 8 | 红地球 Red Globe | |
| H2O(对照Control) | 52.7 ± 0.34 c | 26.3 ± 0.21 c | 4.2 ± 2.13 d | 2.2 ± 1.18 c |
| GA3 | 64.2 ± 1.05 a | 34.5 ± 1.26 a | 79.8 ± 1.25 a | 61.3 ± 1.50 a |
| PAC | 48.5 ± 1.84 d | 25.1 ± 0.57 c | 12.5 ± 4.01 c | 4.2 ± 2.31 c |
| GA3 + PAC | 59.3 ± 0.95 b | 30.4 ± 1.69 b | 28.5 ± 1.51 b | 23.5 ± 1.08 b |
Table 1 Effects of GA3 on fruit set rate and seedlessness rate of‘Hutai 8’and‘Red Globe’grapes
| 处理 Treatment | 坐果率/% Fruit set rate | 无核率/% Seedlessness rate | ||
|---|---|---|---|---|
| 户太8号 Hutai 8 | 红地球 Red Globe | 户太8号 Hutai 8 | 红地球 Red Globe | |
| H2O(对照Control) | 52.7 ± 0.34 c | 26.3 ± 0.21 c | 4.2 ± 2.13 d | 2.2 ± 1.18 c |
| GA3 | 64.2 ± 1.05 a | 34.5 ± 1.26 a | 79.8 ± 1.25 a | 61.3 ± 1.50 a |
| PAC | 48.5 ± 1.84 d | 25.1 ± 0.57 c | 12.5 ± 4.01 c | 4.2 ± 2.31 c |
| GA3 + PAC | 59.3 ± 0.95 b | 30.4 ± 1.69 b | 28.5 ± 1.51 b | 23.5 ± 1.08 b |
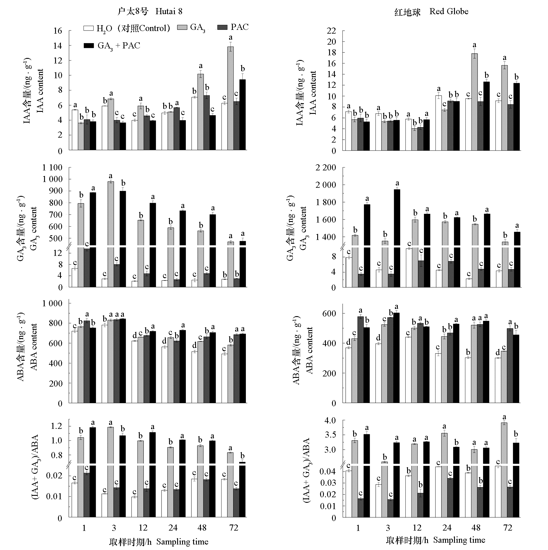
Fig. 1 Effects of GA3 treatment on seed quality of‘Hutai 8’and‘Red Globe’grapes Different lowercase letters indicate significant differences among treatments at the same time(P < 0.05). The same below
Fig. 2 Effects of GA3 treatment on fruit morphology and seed size of‘Hutai 8’(up)and‘Red Globe’(down)grapes Rows 1-4 represent fruits treated with H2O(control),GA3,PAC,and GA3 + PAC,respectively;rows 5-8 represent longitudinal sections of fruits under the same treatments;rows 9-12 represent seeds under the same treatments
| 品种 | 处理 | 果形指数Fruit shape index | ||||||||
|---|---|---|---|---|---|---|---|---|---|---|
| Cultivar | Treatment | 6 d | 12 d | 18 d | 24 d | 30 d | 36 d | 42 d | 48 d | 54 d |
| 户太8号 Hutai 8 | H2O | 1.50 ± 0.03 c | 1.35 ± 0.03 c | 1.35 ± 0.03 c | 1.31 ± 0.03 c | 1.23 ± 0.03 c | 1.28 ± 0.03 c | 1.25 ± 0.03 c | 1.23 ± 0.03 b | 1.15 ± 0.03 b |
| GA3 | 1.77 ± 0.03 a | 1.63 ± 0.03 a | 1.72 ± 0.03 a | 1.56 ± 0.03 a | 1.50 ± 0.02 a | 1.51 ± 0.02 a | 1.45 ± 0.03 a | 1.38 ± 0.03 a | 1.28 ± 0.02 a | |
| PAC | 1.31 ± 0.03 d | 1.14 ± 0.02 d | 1.33 ± 0.02 d | 1.17 ± 0.02 d | 1.22 ± 0.02 d | 1.18 ± 0.02 d | 1.09 ± 0.02 d | 1.12 ± 0.02 c | 1.06 ± 0.02 c | |
| GA3 + PAC | 1.66 ± 0.02 b | 1.59 ± 0.02 b | 1.48 ± 0.02 b | 1.35 ± 0.02 b | 1.33 ± 0.03 b | 1.35 ± 0.02 b | 1.27 ± 0.02 b | 1.24 ± 0.02 b | 1.16 ± 0.02 b | |
| 红地球 Red Globe | H2O | 1.80 ± 0.02 b | 1.63 ± 0.02 b | 1.55 ± 0.02 b | 1.44 ± 0.02 b | 1.50 ± 0.04 b | 1.29 ± 0.03 b | 1.38 ± 0.03 b | 1.36 ± 0.03 b | 1.16 ± 0.03 b |
| GA3 | 2.00 ± 0.03 a | 1.81 ± 0.02 a | 1.90 ± 0.02 a | 1.51 ± 0.02 a | 1.70 ± 0.02 a | 1.53 ± 0.02 a | 1.60 ± 0.02 a | 1.52 ± 0.03 a | 1.39 ± 0.03 a | |
| PAC | 1.53 ± 0.02 c | 1.24 ± 0.02 d | 1.28 ± 0.02 d | 1.29 ± 0.02 d | 1.25 ± 0.02 d | 1.25 ± 0.02 d | 1.19 ± 0.02 d | 1.19 ± 0.02 c | 1.14 ± 0.02 c | |
| GA3 + PAC | 1.50 ± 0.01 c | 1.42 ± 0.02 c | 1.51 ± 0.02 c | 1.36 ± 0.03 c | 1.45 ± 0.02 c | 1.28 ± 0.02 c | 1.35 ± 0.02 c | 1.36 ± 0.03 b | 1.16 ± 0.03 b | |
Table 2 Effects of GA3 on fruit shape index of‘Hutai 8’and‘Red Globe’grapes
| 品种 | 处理 | 果形指数Fruit shape index | ||||||||
|---|---|---|---|---|---|---|---|---|---|---|
| Cultivar | Treatment | 6 d | 12 d | 18 d | 24 d | 30 d | 36 d | 42 d | 48 d | 54 d |
| 户太8号 Hutai 8 | H2O | 1.50 ± 0.03 c | 1.35 ± 0.03 c | 1.35 ± 0.03 c | 1.31 ± 0.03 c | 1.23 ± 0.03 c | 1.28 ± 0.03 c | 1.25 ± 0.03 c | 1.23 ± 0.03 b | 1.15 ± 0.03 b |
| GA3 | 1.77 ± 0.03 a | 1.63 ± 0.03 a | 1.72 ± 0.03 a | 1.56 ± 0.03 a | 1.50 ± 0.02 a | 1.51 ± 0.02 a | 1.45 ± 0.03 a | 1.38 ± 0.03 a | 1.28 ± 0.02 a | |
| PAC | 1.31 ± 0.03 d | 1.14 ± 0.02 d | 1.33 ± 0.02 d | 1.17 ± 0.02 d | 1.22 ± 0.02 d | 1.18 ± 0.02 d | 1.09 ± 0.02 d | 1.12 ± 0.02 c | 1.06 ± 0.02 c | |
| GA3 + PAC | 1.66 ± 0.02 b | 1.59 ± 0.02 b | 1.48 ± 0.02 b | 1.35 ± 0.02 b | 1.33 ± 0.03 b | 1.35 ± 0.02 b | 1.27 ± 0.02 b | 1.24 ± 0.02 b | 1.16 ± 0.02 b | |
| 红地球 Red Globe | H2O | 1.80 ± 0.02 b | 1.63 ± 0.02 b | 1.55 ± 0.02 b | 1.44 ± 0.02 b | 1.50 ± 0.04 b | 1.29 ± 0.03 b | 1.38 ± 0.03 b | 1.36 ± 0.03 b | 1.16 ± 0.03 b |
| GA3 | 2.00 ± 0.03 a | 1.81 ± 0.02 a | 1.90 ± 0.02 a | 1.51 ± 0.02 a | 1.70 ± 0.02 a | 1.53 ± 0.02 a | 1.60 ± 0.02 a | 1.52 ± 0.03 a | 1.39 ± 0.03 a | |
| PAC | 1.53 ± 0.02 c | 1.24 ± 0.02 d | 1.28 ± 0.02 d | 1.29 ± 0.02 d | 1.25 ± 0.02 d | 1.25 ± 0.02 d | 1.19 ± 0.02 d | 1.19 ± 0.02 c | 1.14 ± 0.02 c | |
| GA3 + PAC | 1.50 ± 0.01 c | 1.42 ± 0.02 c | 1.51 ± 0.02 c | 1.36 ± 0.03 c | 1.45 ± 0.02 c | 1.28 ± 0.02 c | 1.35 ± 0.02 c | 1.36 ± 0.03 b | 1.16 ± 0.03 b | |
Fig. 3 Histological dynamic observation on seed development of‘Hutai 8’grape after GA3 treatment e:Egg cell;z:Zygote;en:Endosperm nucleus/Endosperm;em:Embryo
Fig. 4 Histological dynamic observation on seed development of‘Red Globe’grape after GA3 treatment e:Egg cell;s:Polar nucleus;z:Zygote;en:Endosperm nucleus/Endosperm;em:Embryo
| 时间 Time | 处理 Treatment | H2O2/ (nmol · g-1 FW) | MDA/ (nmol · g-1 FW) | POD/ (U · g-1 FW) | SOD/ (U · g-1 FW) |
|---|---|---|---|---|---|
| 0.5 h | H2O(对照Control) | 226.75 ± 5.83 a | 23.84 ± 0.43 a | 9.22 ± 1.34 b | 628.52 ± 5.26 c |
| GA3 | 182.25 ± 2.39 b | 24.04 ± 0.56 a | 6.53 ± 0.35 c | 617.68 ± 17.30 c | |
| PAC | 168.82 ± 7.22 c | 24.79 ± 0.62 a | 23.50 ± 0.34 a | 744.93 ± 7.34 a | |
| GA3 + PAC | 228.34 ± 4.71 a | 23.62 ± 0.21 a | 7.12 ± 0.39 c | 700.17 ± 14.94 b | |
| 1 h | H2O(对照Control) | 216.15 ± 9.39 a | 25.40 ± 0.85 b | 12.32 ± 0.46 b | 734.61 ± 17.73 a |
| GA3 | 201.34 ± 5.66 b | 25.35 ± 0.95 b | 5.56 ± 1.38 d | 728.57 ± 3.10 a | |
| PAC | 185.21 ± 6.01 c | 25.23 ± 0.60 b | 15.99 ± 2.05 a | 749.10 ± 13.20 a | |
| GA3 + PAC | 214.23 ± 5.30 a | 27.32 ± 0.28 a | 9.35 ± 1.10 c | 729.81 ± 16.88 a | |
| 3 h | H2O(对照Control) | 254.06 ± 4.52 a | 20.96 ± 0.33 c | 12.62 ± 0.52 c | 729.64 ± 8.51 a |
| GA3 | 216.15 ± 7.90 c | 24.53 ± 1.13 b | 5.88 ± 0.96 d | 689.53 ± 2.53 b | |
| PAC | 191.16 ± 2.92 d | 28.13 ± 0.54 a | 19.89 ± 0.32 a | 726.69 ± 20.69 a | |
| GA3 + PAC | 237.07 ± 9.06 b | 25.66 ± 1.61 b | 14.97 ± 0.20 b | 720.20 ± 6.64 a | |
| 12 h | H2O(对照Control) | 174.82 ± 8.59 b | 17.67 ± 0.33 c | 43.95 ± 1.61 a | 687.19 ± 1.18 b |
| GA3 | 193.32 ± 6.18 a | 18.60 ± 1.19 c | 29.89 ± 0.06 c | 646.47 ± 18.21 c | |
| PAC | 165.63 ± 4.97 b | 28.57 ± 0.41 a | 38.26 ± 0.80 b | 687.05 ± 5.19 b | |
| GA3 + PAC | 199.69 ± 6.31 a | 24.59 ± 0.12 b | 17.42 ± 1.34 d | 714.06 ± 10.10 a | |
| 24 h | H2O(对照Control) | 195.58 ± 7.42 c | 21.97 ± 0.81 c | 23.37 ± 0.68 a | 693.64 ± 5.26 b |
| GA3 | 215.22 ± 8.66 b | 25.95 ± 0.61 b | 20.94 ± 0.60 b | 641.57 ± 5.19 d | |
| PAC | 192.95 ± 6.55 c | 27.82 ± 1.44 a | 23.27 ± 1.43 a | 662.32 ± 13.28 c | |
| GA3 + PAC | 233.46 ± 9.70 a | 28.95 ± 0.51 a | 11.59 ± 0.39 c | 716.22 ± 6.26 a | |
| 48 h | H2O(对照Control) | 168.41 ± 5.76 b | 30.58 ± 0.40 b | 22.32 ± 0.25 a | 723.72 ± 21.90 a |
| GA3 | 199.15 ± 9.88 a | 36.03 ± 1.50 a | 18.73 ± 1.34 b | 699.14 ± 13.78 a | |
| PAC | 181.00 ± 6.93 b | 31.79 ± 0.64 b | 22.27 ± 0.70 a | 708.84 ± 13.79 a | |
| GA3 + PAC | 206.88 ± 4.06 a | 32.72 ± 1.54 b | 7.04 ± 0.71 c | 663.89 ± 4.72 b | |
| 72 h | H2O(对照Control) | 156.29 ± 10.71 c | 29.05 ± 0.84 b | 47.32 ± 3.95 a | 753.38 ± 24.68 a |
| GA3 | 172.97 ± 2.62 b | 35.66 ± 0.34 a | 22.31 ± 0.05 c | 733.01 ± 25.01 a | |
| PAC | 165.56 ± 6.08 bc | 35.14 ± 1.43 a | 27.50 ± 0.72 b | 750.87 ± 1.65 a | |
| GA3 + PAC | 190.39 ± 5.56 a | 24.23 ± 0.58 c | 30.15 ± 1.96 b | 678.52 ± 7.86 b | |
| 6 d | H2O(对照Control) | 135.26 ± 2.68 c | 31.54 ± 0.36 c | 13.12 ± 1.30 a | 755.99 ± 13.74 a |
| GA3 | 159.58 ± 2.23 b | 35.83 ± 0.64 a | 10.33 ± 0.69 b | 754.42 ± 14.35 a | |
| PAC | 138.01 ± 5.28 c | 33.81 ± 1.57 b | 11.33 ± 1.67 ab | 761.18 ± 15.14 a | |
| GA3 + PAC | 172.09 ± 3.37 a | 32.70 ± 0.76 bc | 12.90 ± 0.39 a | 707.45 ± 3.50 b | |
| 9 d | H2O(对照Control) | 70.72 ± 3.12 c | 27.62 ± 0.98 b | 8.10 ± 0.52 a | 713.35 ± 16.58 c |
| GA3 | 117.87 ± 5.13 b | 29.10 ± 0.33 a | 6.26 ± 1.52 b | 795.29 ± 4.27 a | |
| PAC | 113.98 ± 10.56 b | 25.90 ± 0.85 c | 5.80 ± 0.80 ab | 798.08 ± 18.98 a | |
| GA3 + PAC | 137.05 ± 3.00 a | 29.02 ± 0.61 a | 10.95 ± 0.15 ab | 742.92 ± 18.17 b | |
| 12 d | H2O(对照Control) | 123.21 ± 6.06 c | 30.59 ± 0.93 b | 2.15±0.21 a | 635.36 ± 11.38 b |
| GA3 | 195.70 ± 4.33 a | 37.40 ± 1.32 a | 1.24±0.60 a | 724.02 ± 5.32 a | |
| PAC | 103.38 ± 5.81 d | 32.74 ± 1.32 b | 1.21±1.30 a | 724.83 ± 21.98 a | |
| GA3 + PAC | 143.77 ± 8.74 b | 30.64 ± 1.08 b | 1.06±1.63 a | 647.53 ± 17.60 b | |
| 18 d | H2O(对照Control) | 72.37 ± 4.21 a | 27.31 ± 0.69 a | 1.61 ± 0.56 a | 551.75 ± 5.27 a |
| GA3 | 74.41 ± 4.79 a | 14.77 ± 0.98 c | 1.34 ± 1.80 a | 358.40 ± 12.72 d | |
| PAC | 39.52 ± 9.07 b | 19.66 ± 1.18 b | 1.31 ± 0.40 a | 482.41 ± 12.47 b | |
| GA3 + PAC | 60.77 ± 2.78 c | 18.34 ± 1.04 b | 1.26 ± 1.16 a | 420.49 ± 6.47 c | |
| 24 d | H2O(对照Control) | 38.88 ± 1.39 c | 13.75 ± 0.17 c | 1.30 ± 1.13 a | 264.45 ± 7.57 ab |
| GA3 | 76.53 ± 2.54 a | 16.83 ± 0.15 b | 1.47 ± 1.37 a | 220.18 ± 19.07 ab | |
| PAC | 55.68 ± 2.42 b | 17.87 ± 0.42 a | 1.45 ± 0.36 a | 332.47 ± 4.99 a | |
| GA3 + PAC | 43.11 ± 3.27 c | 17.70 ± 0.12 a | 1.32 ± 0.57 a | 288.79 ± 10.88 b |
Table 3 Changes in H2O2 content,MDA accumulation,and protective enzyme activities of‘Hutai 8’grape after GA3 treatment
| 时间 Time | 处理 Treatment | H2O2/ (nmol · g-1 FW) | MDA/ (nmol · g-1 FW) | POD/ (U · g-1 FW) | SOD/ (U · g-1 FW) |
|---|---|---|---|---|---|
| 0.5 h | H2O(对照Control) | 226.75 ± 5.83 a | 23.84 ± 0.43 a | 9.22 ± 1.34 b | 628.52 ± 5.26 c |
| GA3 | 182.25 ± 2.39 b | 24.04 ± 0.56 a | 6.53 ± 0.35 c | 617.68 ± 17.30 c | |
| PAC | 168.82 ± 7.22 c | 24.79 ± 0.62 a | 23.50 ± 0.34 a | 744.93 ± 7.34 a | |
| GA3 + PAC | 228.34 ± 4.71 a | 23.62 ± 0.21 a | 7.12 ± 0.39 c | 700.17 ± 14.94 b | |
| 1 h | H2O(对照Control) | 216.15 ± 9.39 a | 25.40 ± 0.85 b | 12.32 ± 0.46 b | 734.61 ± 17.73 a |
| GA3 | 201.34 ± 5.66 b | 25.35 ± 0.95 b | 5.56 ± 1.38 d | 728.57 ± 3.10 a | |
| PAC | 185.21 ± 6.01 c | 25.23 ± 0.60 b | 15.99 ± 2.05 a | 749.10 ± 13.20 a | |
| GA3 + PAC | 214.23 ± 5.30 a | 27.32 ± 0.28 a | 9.35 ± 1.10 c | 729.81 ± 16.88 a | |
| 3 h | H2O(对照Control) | 254.06 ± 4.52 a | 20.96 ± 0.33 c | 12.62 ± 0.52 c | 729.64 ± 8.51 a |
| GA3 | 216.15 ± 7.90 c | 24.53 ± 1.13 b | 5.88 ± 0.96 d | 689.53 ± 2.53 b | |
| PAC | 191.16 ± 2.92 d | 28.13 ± 0.54 a | 19.89 ± 0.32 a | 726.69 ± 20.69 a | |
| GA3 + PAC | 237.07 ± 9.06 b | 25.66 ± 1.61 b | 14.97 ± 0.20 b | 720.20 ± 6.64 a | |
| 12 h | H2O(对照Control) | 174.82 ± 8.59 b | 17.67 ± 0.33 c | 43.95 ± 1.61 a | 687.19 ± 1.18 b |
| GA3 | 193.32 ± 6.18 a | 18.60 ± 1.19 c | 29.89 ± 0.06 c | 646.47 ± 18.21 c | |
| PAC | 165.63 ± 4.97 b | 28.57 ± 0.41 a | 38.26 ± 0.80 b | 687.05 ± 5.19 b | |
| GA3 + PAC | 199.69 ± 6.31 a | 24.59 ± 0.12 b | 17.42 ± 1.34 d | 714.06 ± 10.10 a | |
| 24 h | H2O(对照Control) | 195.58 ± 7.42 c | 21.97 ± 0.81 c | 23.37 ± 0.68 a | 693.64 ± 5.26 b |
| GA3 | 215.22 ± 8.66 b | 25.95 ± 0.61 b | 20.94 ± 0.60 b | 641.57 ± 5.19 d | |
| PAC | 192.95 ± 6.55 c | 27.82 ± 1.44 a | 23.27 ± 1.43 a | 662.32 ± 13.28 c | |
| GA3 + PAC | 233.46 ± 9.70 a | 28.95 ± 0.51 a | 11.59 ± 0.39 c | 716.22 ± 6.26 a | |
| 48 h | H2O(对照Control) | 168.41 ± 5.76 b | 30.58 ± 0.40 b | 22.32 ± 0.25 a | 723.72 ± 21.90 a |
| GA3 | 199.15 ± 9.88 a | 36.03 ± 1.50 a | 18.73 ± 1.34 b | 699.14 ± 13.78 a | |
| PAC | 181.00 ± 6.93 b | 31.79 ± 0.64 b | 22.27 ± 0.70 a | 708.84 ± 13.79 a | |
| GA3 + PAC | 206.88 ± 4.06 a | 32.72 ± 1.54 b | 7.04 ± 0.71 c | 663.89 ± 4.72 b | |
| 72 h | H2O(对照Control) | 156.29 ± 10.71 c | 29.05 ± 0.84 b | 47.32 ± 3.95 a | 753.38 ± 24.68 a |
| GA3 | 172.97 ± 2.62 b | 35.66 ± 0.34 a | 22.31 ± 0.05 c | 733.01 ± 25.01 a | |
| PAC | 165.56 ± 6.08 bc | 35.14 ± 1.43 a | 27.50 ± 0.72 b | 750.87 ± 1.65 a | |
| GA3 + PAC | 190.39 ± 5.56 a | 24.23 ± 0.58 c | 30.15 ± 1.96 b | 678.52 ± 7.86 b | |
| 6 d | H2O(对照Control) | 135.26 ± 2.68 c | 31.54 ± 0.36 c | 13.12 ± 1.30 a | 755.99 ± 13.74 a |
| GA3 | 159.58 ± 2.23 b | 35.83 ± 0.64 a | 10.33 ± 0.69 b | 754.42 ± 14.35 a | |
| PAC | 138.01 ± 5.28 c | 33.81 ± 1.57 b | 11.33 ± 1.67 ab | 761.18 ± 15.14 a | |
| GA3 + PAC | 172.09 ± 3.37 a | 32.70 ± 0.76 bc | 12.90 ± 0.39 a | 707.45 ± 3.50 b | |
| 9 d | H2O(对照Control) | 70.72 ± 3.12 c | 27.62 ± 0.98 b | 8.10 ± 0.52 a | 713.35 ± 16.58 c |
| GA3 | 117.87 ± 5.13 b | 29.10 ± 0.33 a | 6.26 ± 1.52 b | 795.29 ± 4.27 a | |
| PAC | 113.98 ± 10.56 b | 25.90 ± 0.85 c | 5.80 ± 0.80 ab | 798.08 ± 18.98 a | |
| GA3 + PAC | 137.05 ± 3.00 a | 29.02 ± 0.61 a | 10.95 ± 0.15 ab | 742.92 ± 18.17 b | |
| 12 d | H2O(对照Control) | 123.21 ± 6.06 c | 30.59 ± 0.93 b | 2.15±0.21 a | 635.36 ± 11.38 b |
| GA3 | 195.70 ± 4.33 a | 37.40 ± 1.32 a | 1.24±0.60 a | 724.02 ± 5.32 a | |
| PAC | 103.38 ± 5.81 d | 32.74 ± 1.32 b | 1.21±1.30 a | 724.83 ± 21.98 a | |
| GA3 + PAC | 143.77 ± 8.74 b | 30.64 ± 1.08 b | 1.06±1.63 a | 647.53 ± 17.60 b | |
| 18 d | H2O(对照Control) | 72.37 ± 4.21 a | 27.31 ± 0.69 a | 1.61 ± 0.56 a | 551.75 ± 5.27 a |
| GA3 | 74.41 ± 4.79 a | 14.77 ± 0.98 c | 1.34 ± 1.80 a | 358.40 ± 12.72 d | |
| PAC | 39.52 ± 9.07 b | 19.66 ± 1.18 b | 1.31 ± 0.40 a | 482.41 ± 12.47 b | |
| GA3 + PAC | 60.77 ± 2.78 c | 18.34 ± 1.04 b | 1.26 ± 1.16 a | 420.49 ± 6.47 c | |
| 24 d | H2O(对照Control) | 38.88 ± 1.39 c | 13.75 ± 0.17 c | 1.30 ± 1.13 a | 264.45 ± 7.57 ab |
| GA3 | 76.53 ± 2.54 a | 16.83 ± 0.15 b | 1.47 ± 1.37 a | 220.18 ± 19.07 ab | |
| PAC | 55.68 ± 2.42 b | 17.87 ± 0.42 a | 1.45 ± 0.36 a | 332.47 ± 4.99 a | |
| GA3 + PAC | 43.11 ± 3.27 c | 17.70 ± 0.12 a | 1.32 ± 0.57 a | 288.79 ± 10.88 b |
| 时间 Time | 处理 Treatment | H2O2/ (nmol · g-1 FW) | MDA/ (nmol · g-1 FW) | POD/ (U · g-1 FW) | SOD/ (U · g-1 FW) |
|---|---|---|---|---|---|
| 0.5 h | H2O(对照Control) | 313.02 ± 2.68 d | 36.50 ± 0.41 b | 68.25 ± 1.09 a | 616.19 ± 7.53 c |
| GA3 | 339.32 ± 10.98 c | 31.91 ± 1.74 c | 29.47 ± 0.49 c | 660.50 ± 12.63 b | |
| PAC | 409.72 ± 8.90 a | 43.15 ± 0.61 a | 52.33 ± 0.40 b | 675.10 ± 12.22 ab | |
| GA3 + PAC | 372.62 ± 7.47 b | 46.02 ± 3.08 a | 54.12 ± 2.34 b | 682.78 ± 12.22 a | |
| 1 h | H2O(对照Control) | 338.23 ± 10.76 c | 45.14 ± 0.86 c | 83.33 ± 3.91 a | 675.91 ± 8.55 b |
| GA3 | 368.50 ± 7.50 a | 51.63 ± 2.31 b | 31.90 ± 0.67 c | 676.23 ± 3.47 b | |
| PAC | 353.28 ± 6.43 b | 48.85 ± 0.99 b | 50.91 ± 1.11 b | 687.64 ± 2.26 ab | |
| GA3 + PAC | 328.48 ± 3.03 c | 59.38 ± 1.89 a | 51.00 ± 0.86 b | 691.71 ± 9.39 a | |
| 3 h | H2O(对照Control) | 404.28 ± 2.98 b | 49.11 ± 1.09 b | 83.03 ± 1.00 a | 686.57 ± 20.78 bc |
| GA3 | 461.41 ± 10.84 a | 49.21 ± 1.33 b | 32.30 ± 1.96 d | 665.05 ± 9.69 c | |
| PAC | 415.62 ± 8.42 b | 50.23 ± 1.92 ab | 71.09 ± 0.78 b | 728.48 ± 1.87 a | |
| GA3 + PAC | 378.79 ± 8.60 c | 52.42 ± 0.21 a | 54.20 ± 1.19 c | 712.38 ± 17.42 ab | |
| 12 h | H2O(对照Control) | 352.47 ± 11.77 b | 50.83 ± 0.73 b | 74.38 ± 2.06 a | 711.91 ± 14.55 ab |
| GA3 | 354.85 ± 8.59 b | 56.41 ± 0.84 a | 45.74 ± 0.16 d | 687.45 ± 7.87 b | |
| PAC | 409.86 ± 13.90 a | 54.68 ± 1.59 a | 58.99 ± 2.42 b | 723.26 ± 23.19 a | |
| GA3 + PAC | 353.80 ± 7.11 b | 56.89 ± 1.08 a | 52.55 ± 1.68 c | 726.49 ± 21.67 a | |
| 24 h | H2O(对照Control) | 393.84 ± 7.02 ab | 56.62 ± 0.80 b | 83.80 ± 2.12 a | 675.90 ± 3.77 b |
| GA3 | 383.56 ± 12.28 b | 58.85 ± 1.38 ab | 57.96 ± 1.25 d | 669.41 ± 4.46 b | |
| PAC | 401.47 ± 11.19 ab | 58.50 ± 1.63 ab | 79.26 ± 0.82 b | 689.06 ± 2.46 a | |
| GA3 + PAC | 410.50 ± 3.63 a | 59.32 ± 0.57 a | 63.36 ± 0.76 c | 685.35 ± 7.66 a | |
| 48 h | H2O(对照Control) | 347.63 ± 5.79 b | 59.38 ± 0.67 b | 131.40 ± 5.03 a | 670.42 ± 18.60 b |
| GA3 | 349.06 ± 8.01 b | 60.93 ± 0.75 b | 56.03 ± 1.15 c | 648.88 ± 23.38 b | |
| PAC | 364.53 ± 7.40 ab | 63.83 ± 2.19 a | 66.74 ± 0.78 b | 723.70 ± 21.54 a | |
| GA3 + PAC | 372.38 ± 14.19 a | 65.43 ± 1.37 a | 60.54 ± 2.36 c | 687.07 ± 13.30 ab | |
| 72 h | H2O(对照Control) | 347.00 ± 4.97 b | 57.76 ± 1.52 c | 88.58 ± 0.58 b | 688.49 ± 13.76 b |
| GA3 | 394.44 ± 11.51 a | 61.60 ± 1.21 b | 101.40 ± 0.21 a | 686.48 ± 4.09 b | |
| PAC | 352.87 ± 3.94 b | 67.78 ± 0.99 a | 101.36 ± 1.17 a | 710.73 ± 13.68 b | |
| GA3 + PAC | 336.75 ± 7.54 b | 57.98 ± 0.73 c | 102.42 ± 0.87 a | 737.26 ± 14.77 a | |
| 6 d | H2O(对照Control) | 237.73 ± 3.95 d | 48.44 ± 0.28 c | 29.76 ± 1.67 c | 616.29 ± 17.26 bc |
| GA3 | 354.22 ± 11.69 a | 51.12 ± 0.90 bc | 55.93 ± 3.76 a | 596.69 ± 23.54 c | |
| PAC | 325.25 ± 6.41 b | 65.80 ± 1.82 a | 39.29 ± 0.76 b | 656.47 ± 17.48 a | |
| GA3 + PAC | 270.36 ± 9.43 c | 53.49 ± 2.61 b | 42.55 ± 0.40 b | 631.78 ± 4.85 ab | |
| 9 d | H2O(对照Control) | 220.54 ± 1.46 c | 44.59 ± 1.62 c | 27.02 ± 0.90 b | 495.65 ± 15.69 c |
| GA3 | 311.73 ± 8.94 a | 66.89 ± 3.48 a | 35.14 ± 0.63 a | 363.88 ± 5.80 d | |
| PAC | 242.86 ± 4.26 b | 52.95 ± 3.16 b | 29.12 ± 0.19 b | 663.84 ± 20.10 a | |
| GA3 + PAC | 205.66 ± 8.11 d | 56.69 ± 1.40 b | 34.88 ± 2.50 a | 546.31 ± 14.46 b | |
| 12 d | H2O(对照Control) | 170.84 ± 4.89 c | 28.23 ± 0.71 a | 16.84 ± 5.22 b | 414.14 ± 20.40 b |
| GA3 | 184.52 ± 7.88 ab | 30.72 ± 0.06 a | 22.94 ± 1.00 a | 342.97 ± 14.46 c | |
| PAC | 196.36 ± 7.09 a | 18.50 ± 3.30 b | 25.09 ± 0.67 a | 475.88 ± 6.95 a | |
| GA3 + PAC | 180.39 ± 4.60 bc | 29.77 ± 0.31 a | 22.11 ± 0.15 a | 430.56 ± 7.75 b | |
| 18 d | H2O(对照Control) | 81.07 ± 1.23 c | 13.63 ± 2.71 a | 22.03 ± 2.32 c | 272.19 ± 6.21 c |
| GA3 | 80.56 ± 2.07 c | 12.36 ± 1.37 a | 32.10 ± 2.50 a | 171.76 ± 5.46 d | |
| PAC | 110.94 ± 0.49 a | 11.78 ± 0.13 a | 25.98 ± 0.55 b | 377.40 ± 34.33 a | |
| GA3 + PAC | 101.64 ± 2.42 b | 13.50 ± 2.16 a | 28.11 ± 0.42 b | 319.42 ± 1.11 b | |
| 24 d | H2O(对照Control) | 96.50 ± 1.42 a | 12.89 ± 1.34 a | 9.04 ± 1.30 d | 294.72 ± 8.86 b |
| GA3 | 62.15 ± 4.65 b | 10.62 ± 1.71 a | 38.99 ± 1.12 a | 241.63 ± 28.00 c | |
| PAC | 65.93 ± 2.28 b | 10.58 ± 1.40 a | 20.31 ± 0.97 b | 352.07 ± 16.62 a | |
| GA3 + PAC | 61.15 ± 3.82 b | 9.78 ± 1.52 a | 15.14 ± 0.88 c | 349.27 ± 16.01 a |
Table 4 Changes in H2O2 content,MDA accumulation,and protective enzyme activities of‘Red Globe’grape after GA3 treatment
| 时间 Time | 处理 Treatment | H2O2/ (nmol · g-1 FW) | MDA/ (nmol · g-1 FW) | POD/ (U · g-1 FW) | SOD/ (U · g-1 FW) |
|---|---|---|---|---|---|
| 0.5 h | H2O(对照Control) | 313.02 ± 2.68 d | 36.50 ± 0.41 b | 68.25 ± 1.09 a | 616.19 ± 7.53 c |
| GA3 | 339.32 ± 10.98 c | 31.91 ± 1.74 c | 29.47 ± 0.49 c | 660.50 ± 12.63 b | |
| PAC | 409.72 ± 8.90 a | 43.15 ± 0.61 a | 52.33 ± 0.40 b | 675.10 ± 12.22 ab | |
| GA3 + PAC | 372.62 ± 7.47 b | 46.02 ± 3.08 a | 54.12 ± 2.34 b | 682.78 ± 12.22 a | |
| 1 h | H2O(对照Control) | 338.23 ± 10.76 c | 45.14 ± 0.86 c | 83.33 ± 3.91 a | 675.91 ± 8.55 b |
| GA3 | 368.50 ± 7.50 a | 51.63 ± 2.31 b | 31.90 ± 0.67 c | 676.23 ± 3.47 b | |
| PAC | 353.28 ± 6.43 b | 48.85 ± 0.99 b | 50.91 ± 1.11 b | 687.64 ± 2.26 ab | |
| GA3 + PAC | 328.48 ± 3.03 c | 59.38 ± 1.89 a | 51.00 ± 0.86 b | 691.71 ± 9.39 a | |
| 3 h | H2O(对照Control) | 404.28 ± 2.98 b | 49.11 ± 1.09 b | 83.03 ± 1.00 a | 686.57 ± 20.78 bc |
| GA3 | 461.41 ± 10.84 a | 49.21 ± 1.33 b | 32.30 ± 1.96 d | 665.05 ± 9.69 c | |
| PAC | 415.62 ± 8.42 b | 50.23 ± 1.92 ab | 71.09 ± 0.78 b | 728.48 ± 1.87 a | |
| GA3 + PAC | 378.79 ± 8.60 c | 52.42 ± 0.21 a | 54.20 ± 1.19 c | 712.38 ± 17.42 ab | |
| 12 h | H2O(对照Control) | 352.47 ± 11.77 b | 50.83 ± 0.73 b | 74.38 ± 2.06 a | 711.91 ± 14.55 ab |
| GA3 | 354.85 ± 8.59 b | 56.41 ± 0.84 a | 45.74 ± 0.16 d | 687.45 ± 7.87 b | |
| PAC | 409.86 ± 13.90 a | 54.68 ± 1.59 a | 58.99 ± 2.42 b | 723.26 ± 23.19 a | |
| GA3 + PAC | 353.80 ± 7.11 b | 56.89 ± 1.08 a | 52.55 ± 1.68 c | 726.49 ± 21.67 a | |
| 24 h | H2O(对照Control) | 393.84 ± 7.02 ab | 56.62 ± 0.80 b | 83.80 ± 2.12 a | 675.90 ± 3.77 b |
| GA3 | 383.56 ± 12.28 b | 58.85 ± 1.38 ab | 57.96 ± 1.25 d | 669.41 ± 4.46 b | |
| PAC | 401.47 ± 11.19 ab | 58.50 ± 1.63 ab | 79.26 ± 0.82 b | 689.06 ± 2.46 a | |
| GA3 + PAC | 410.50 ± 3.63 a | 59.32 ± 0.57 a | 63.36 ± 0.76 c | 685.35 ± 7.66 a | |
| 48 h | H2O(对照Control) | 347.63 ± 5.79 b | 59.38 ± 0.67 b | 131.40 ± 5.03 a | 670.42 ± 18.60 b |
| GA3 | 349.06 ± 8.01 b | 60.93 ± 0.75 b | 56.03 ± 1.15 c | 648.88 ± 23.38 b | |
| PAC | 364.53 ± 7.40 ab | 63.83 ± 2.19 a | 66.74 ± 0.78 b | 723.70 ± 21.54 a | |
| GA3 + PAC | 372.38 ± 14.19 a | 65.43 ± 1.37 a | 60.54 ± 2.36 c | 687.07 ± 13.30 ab | |
| 72 h | H2O(对照Control) | 347.00 ± 4.97 b | 57.76 ± 1.52 c | 88.58 ± 0.58 b | 688.49 ± 13.76 b |
| GA3 | 394.44 ± 11.51 a | 61.60 ± 1.21 b | 101.40 ± 0.21 a | 686.48 ± 4.09 b | |
| PAC | 352.87 ± 3.94 b | 67.78 ± 0.99 a | 101.36 ± 1.17 a | 710.73 ± 13.68 b | |
| GA3 + PAC | 336.75 ± 7.54 b | 57.98 ± 0.73 c | 102.42 ± 0.87 a | 737.26 ± 14.77 a | |
| 6 d | H2O(对照Control) | 237.73 ± 3.95 d | 48.44 ± 0.28 c | 29.76 ± 1.67 c | 616.29 ± 17.26 bc |
| GA3 | 354.22 ± 11.69 a | 51.12 ± 0.90 bc | 55.93 ± 3.76 a | 596.69 ± 23.54 c | |
| PAC | 325.25 ± 6.41 b | 65.80 ± 1.82 a | 39.29 ± 0.76 b | 656.47 ± 17.48 a | |
| GA3 + PAC | 270.36 ± 9.43 c | 53.49 ± 2.61 b | 42.55 ± 0.40 b | 631.78 ± 4.85 ab | |
| 9 d | H2O(对照Control) | 220.54 ± 1.46 c | 44.59 ± 1.62 c | 27.02 ± 0.90 b | 495.65 ± 15.69 c |
| GA3 | 311.73 ± 8.94 a | 66.89 ± 3.48 a | 35.14 ± 0.63 a | 363.88 ± 5.80 d | |
| PAC | 242.86 ± 4.26 b | 52.95 ± 3.16 b | 29.12 ± 0.19 b | 663.84 ± 20.10 a | |
| GA3 + PAC | 205.66 ± 8.11 d | 56.69 ± 1.40 b | 34.88 ± 2.50 a | 546.31 ± 14.46 b | |
| 12 d | H2O(对照Control) | 170.84 ± 4.89 c | 28.23 ± 0.71 a | 16.84 ± 5.22 b | 414.14 ± 20.40 b |
| GA3 | 184.52 ± 7.88 ab | 30.72 ± 0.06 a | 22.94 ± 1.00 a | 342.97 ± 14.46 c | |
| PAC | 196.36 ± 7.09 a | 18.50 ± 3.30 b | 25.09 ± 0.67 a | 475.88 ± 6.95 a | |
| GA3 + PAC | 180.39 ± 4.60 bc | 29.77 ± 0.31 a | 22.11 ± 0.15 a | 430.56 ± 7.75 b | |
| 18 d | H2O(对照Control) | 81.07 ± 1.23 c | 13.63 ± 2.71 a | 22.03 ± 2.32 c | 272.19 ± 6.21 c |
| GA3 | 80.56 ± 2.07 c | 12.36 ± 1.37 a | 32.10 ± 2.50 a | 171.76 ± 5.46 d | |
| PAC | 110.94 ± 0.49 a | 11.78 ± 0.13 a | 25.98 ± 0.55 b | 377.40 ± 34.33 a | |
| GA3 + PAC | 101.64 ± 2.42 b | 13.50 ± 2.16 a | 28.11 ± 0.42 b | 319.42 ± 1.11 b | |
| 24 d | H2O(对照Control) | 96.50 ± 1.42 a | 12.89 ± 1.34 a | 9.04 ± 1.30 d | 294.72 ± 8.86 b |
| GA3 | 62.15 ± 4.65 b | 10.62 ± 1.71 a | 38.99 ± 1.12 a | 241.63 ± 28.00 c | |
| PAC | 65.93 ± 2.28 b | 10.58 ± 1.40 a | 20.31 ± 0.97 b | 352.07 ± 16.62 a | |
| GA3 + PAC | 61.15 ± 3.82 b | 9.78 ± 1.52 a | 15.14 ± 0.88 c | 349.27 ± 16.01 a |
| [1] |
doi: 10.1023/A:1006207614388 |
| [2] |
doi: 10.1007/s00709-019-01471-2 pmid: 31863170 |
| [3] |
|
|
程晨霞. 2014. GA3诱导葡萄无核机理的研究[硕士论文]. 杨凌: 西北农林科技大学.
|
|
| [4] |
doi: 10.1186/s12870-021-02865-2 pmid: 33711928 |
| [5] |
doi: 10.1242/dev.087650 URL |
| [6] |
doi: 10.1105/tpc.112.103192 URL |
| [7] |
doi: 10.1104/pp.59.2.309 pmid: 16659839 |
| [8] |
|
|
龚束芳, 杨国慧, 王军虹. 2000. 赤霉素诱导葡萄无核原因研究. 北方园艺,(5):51.
|
|
| [9] |
|
|
何凤. 2019. 甜橙CsCBF1调控ADC基因表达及腐胺合成的功能解析[硕士论文]. 武汉: 华中农业大学.
|
|
| [10] |
|
| [11] |
|
|
胡洋. 2021. 中国野生葡萄白粉病抗性遗传规律及VpsCDPKs抗病分子机制研究[博士论文]. 杨凌: 西北农林科技大学.
|
|
| [12] |
|
|
黄诚梅, 班德宇, 魏源文, 邓智年, 曹辉庆, 吴凯朝. 2019. 赤霉素与多效唑对甘蔗愈伤再生苗植株内源激素含量的影响. 热带农业科学, 39 (4):41-47.
|
|
| [13] |
doi: 10.1104/pp.43.3.333 pmid: 16656767 |
| [14] |
doi: 10.1104/pp.111.192740 pmid: 22291200 |
| [15] |
|
|
贾彦丽, 温陟良. 2003. 无核果实研究进展. 河北农业大学学报, 26 (z1):68-71.
|
|
| [16] |
|
|
靳月琴, 常丽, 王晓芳, 韩冰, 纪薇. 2020. 葡萄无核形成与调控机制研究进展. 山西农业科学, 48 (9):1537-1542,1546.
|
|
| [17] |
|
| [18] |
|
|
李欢, 李建兵, 黄家权. 2019. 外源多效唑对红肉蜜柚成花的影响. 分子植物育种, 17 (9):3046-3052.
|
|
| [19] |
doi: 10.16420/j.issn.0513-353x.2019-0035 |
|
李莎莎, 王跃进. 2019. 葡萄无核基因及无核育种研究进展. 园艺学报, 46 (9):1711-1726.
|
|
| [20] |
|
|
李顺雨. 2009. 种子败育型葡萄胚败育的形态学观察及生理基础[硕士论文]. 贵阳: 贵州大学.
|
|
| [21] |
|
|
李志瑛, 王跃进. 2019. ‘Fresno Seedless’葡萄幼胚和胚乳发育及败育的组织学观察. 北方园艺,(1):68-73.
|
|
| [22] |
|
|
刘苗苗, 姚锦, 包敏, 楚言言, 王西平. 2024. 赤霉素诱导葡萄无核形成机理研究进展. 园艺学报, 51 (7):1610-1622.
|
|
| [23] |
|
|
孟磊, 姜新, 周导军, 唐志鹏, 杨培丽. 2013. 外源GA3混合配方对巨峰葡萄果实生长前期内源激素的影响. 安徽农业科学, 41 (6):2363-2364,2382.
|
|
| [24] |
|
|
穆维松, 冯建英, 田东, 牟鑫. 2019. 我国鲜食葡萄产业的国际贸易与国内需求形势. 中国果树,(2):5-10.
|
|
| [25] |
doi: 10.1007/s00425-012-1696-9 pmid: 22767200 |
| [26] |
doi: 10.1093/jxb/erv452 URL |
| [27] |
|
| [28] |
doi: 10.3390/ijms231911108 URL |
| [29] |
doi: 10.1016/j.scienta.2008.09.018 URL |
| [30] |
|
|
王悦. 2023. GA3和SM对‘阳光玫瑰’葡萄果实无核形成过程观察及机理分析[硕士论文]. 扬州: 扬州大学.
|
|
| [31] |
|
|
王跃进, 江淑平, 刘小宁, 张剑侠. 2007. 假单性结实无核葡萄胚败育机理研究. 西北植物学报,(10):1987-1993.
|
|
| [32] |
|
|
温玥. 2019. 外施赤霉素和多效唑对油茶花芽形成和果实品质的影响[博士论文]. 北京: 北京林业大学.
|
|
| [33] |
|
|
杨淑慎, 高俊凤. 2001. 活性氧、自由基与植物的衰老. 西北植物学报,(2):215-220.
|
|
| [34] |
|
|
袁雅琪, 王丽云, 袁小军, 卢园生, 钟秋平, 厉月桥. 2020. 南方红豆杉雌株叶片碳氮营养对喷施生长调节剂的响应. 中南林业科技大学学报, 40 (10):87-93.
|
|
| [35] |
|
|
张丽华, 石磊, 李素华, 韩浩章, 王芳, 张楠. 2021. 高温胁迫下3种多肉植物的生理指标变化及其适应性评价. 安徽农学通报, 27 (12):10-12,158.
|
|
| [36] |
|
|
张瑛, 白先进, 曹雄军, 林玲, 李洪艳, 车江旅, 文仁德. 2013. 四种植物生长调节剂对玫瑰香葡萄无核化及果实品质的影响. 南方农业学报, 44 (5):819-822.
|
|
| [37] |
|
| [38] |
|
|
朱佩佩, 秦浩翔, 张剑侠. 2023. 无核葡萄胚珠发育过程中内源激素及多胺含量的变化. 中国农业科学, 56 (23):4789-4800.
doi: 10.3864/j.issn.0578-1752.2023.23.018 |
| [1] | GENG Hao, GE Mengqing, DING Yunlong, XU Weidong, CONG Chunlei, YAN Hongwei, QIAN Yu, LIU Yufeng. A New Medium Ripening Table Grape Cultivar‘Yuanjinxiang’ [J]. Acta Horticulturae Sinica, 2025, 52(S2): 31-32. |
| [2] | GAO Min, ZHAO Ning, LI Zhi, WANG Xianhang, TU Mingxing, GUO Junqiang, WANG Xiping. A New Table Grape Cultivar‘Qinpu 3 Hao’ [J]. Acta Horticulturae Sinica, 2025, 52(S2): 33-34. |
| [3] | WEI Xixi, ZHAO Ning, LI Zhi, WANG Xianhang, TU Mingxing, GAO Min, WANG Xiping. A New Table Grape Cultivar‘Qinpu 4 Hao’ [J]. Acta Horticulturae Sinica, 2025, 52(S2): 35-36. |
| [4] | HAO Yan, ZHU Yanfang, GAO Bo. A New Seedless Table Grape Cultivar‘Ziyan’ [J]. Acta Horticulturae Sinica, 2025, 52(S2): 37-38. |
| [5] | NI Peijin, AI Jun, SHI Guangli, WANG Zhenxing, SUN Dan, SUN Yanfeng, LIU Xiaoying. A New Cold-Resistant Wine Grape Cultivar‘Fuhong’ [J]. Acta Horticulturae Sinica, 2025, 52(S2): 39-40. |
| [6] | SHU Nan, LU Wenpeng, FAN Shutian, WANG Yanli, LIU Guoliang, LI Changyu, SUN Bowei, LIU Xinhua, WANG Yue, TAN Yue, ZHANG Baoxiang, TIAN Taiping. A New Wine Grape Cultivar‘Zijing Xianglu’ [J]. Acta Horticulturae Sinica, 2025, 52(S2): 43-44. |
| [7] | HAN Jiayu, GUO Rongrong, ZHANG Ying, SHI Xiaofang, CAO Xiongjun, HUANG Guiyuan, BAI xianjin, XIE Taili, YU Huan, XIE Shuyu, LIN Ling. Low Chilling Requirement Grape New Cultivar‘Guipu 9’ [J]. Acta Horticulturae Sinica, 2025, 52(S1): 45-46. |
| [8] | SHU Nan, LU Wenpeng, YANG Yiming, XU Peilei, LI Jiaqi, LIU Tao, QU Bingzhang. A New Wine Grape Cultivar‘Zijinglu’ [J]. Acta Horticulturae Sinica, 2025, 52(S1): 47-48. |
| [9] | REN Tingting, ZHANG Tingxiu, ZHAN Liang, ZHANG Zhichang, REN Yiran, JI Xinglong, WANG Peipei, LIU Yuanxia, MENG Qingfu, LIU Gengsen, FANG Jinggui, LENG Xiangpeng. Effect of Different Light Quality on Berry Quality of‘Shine Muscat’Grape [J]. Acta Horticulturae Sinica, 2025, 52(9): 2464-2476. |
| [10] | LI Duyue, WU Yanjun. Effects of GA3 and 6-BA on Sugar Accumulation and Fruit Ripening in ‘Jiangnanjin’Sweet Cherry [J]. Acta Horticulturae Sinica, 2025, 52(7): 1855-1869. |
| [11] | LI Wen, LI Shaopeng, LI Donghai, WU Fuchuan, and TIAN Bo. Changes in Onamental Quality and Physiological Substances of Cut Etlingera elatior Flwoers During the Vase Period [J]. Acta Horticulturae Sinica, 2025, 52(6): 1633-1643. |
| [12] | ZHANG Meidi, MA Ming, LI Xiaonan, JIANG Mingliang. Research Progress on Bolting Resistance Traits in Chinese Cabbage [J]. Acta Horticulturae Sinica, 2025, 52(5): 1136-1158. |
| [13] | LIANG Jing, ZENG Baozhen, LIANG Guoping, MAO Juan, CHEN Baihong. Grapevine VvARF18 Regulates Fruit Expansion and Screening of its Interacting Proteins [J]. Acta Horticulturae Sinica, 2025, 52(4): 821-834. |
| [14] | WANG Yi, LIANG Zhenchang. Analysis of Genetic Mechanism of Grape Distant Hybridization Based on Population Transcriptome [J]. Acta Horticulturae Sinica, 2025, 52(4): 835-845. |
| [15] | LIN Ruxue, WANG Fei, ZHANG Yanjie, MA Li, LIU Xiaofeng, LI Shuran, LIU Yalong, WANG Chen, JIANG Shuling, OU Chunqing. Transcriptome Screening and Functional Analysis of Dwarf Related Genes in Pear [J]. Acta Horticulturae Sinica, 2025, 52(3): 545-560. |
| Viewed | ||||||
|
Full text |
|
|||||
|
Abstract |
|
|||||
Copyright © 2012 Acta Horticulturae Sinica 京ICP备10030308号-2 国际联网备案号 11010802023439
Tel: 010-82109523 E-Mail: yuanyixuebao@126.com
Support by: Beijing Magtech Co.Ltd