Acta Horticulturae Sinica ›› 2026, Vol. 53 ›› Issue (4): 1157-1174.doi: 10.16420/j.issn.0513-353x.2025-0152
• Genetic & Breeding · Germplasm Resources · Molecular Biology • Previous Articles Next Articles
DAI Yuru, SUN Pingping, WANG Qiong*(
)
Received:2025-12-25
Revised:2026-02-05
Online:2026-04-25
Published:2026-04-20
Contact:
WANG Qiong
DAI Yuru, SUN Pingping, WANG Qiong. Genome-Wide Identification of GAD Gene Family in Tomato and Expression Profiling after Ralstonia solanacearum Infection[J]. Acta Horticulturae Sinica, 2026, 53(4): 1157-1174.
Add to citation manager EndNote|Ris|BibTeX
URL: https://www.ahs.ac.cn/EN/10.16420/j.issn.0513-353x.2025-0152
| 基因名称Gene name | 正向引物(5′-3′)Forward primer | 反向引物(5′-3′)Reverse primer |
|---|---|---|
| SlGAD1 | GCAATTGCTGAGTTTTGGAAGA | CCTTCAAAACAACCATTAATCCTTCCC |
| SlGAD2 | AAAAGAACAAGGAAACCGGATG | TACTTTTCACAAGAGGCAAACG |
| SlGAD3 | TGCTAGGGAAGGATTACTTGTT | GAGGTGTAATGTAACATAGCAATCG |
| SlGAD4 | TGAGCTTCAGAATCGATGTGTA | CAATATTGGGCTTGTCATGAGG |
| SlGAD5 | TTATCTTGGTGCTGATCAACCT | TAACCCTCATAACCCAAACGAA |
| SlUbiquitin7 | GATCGTATCAAGGAACGTGTTG | CTTTAGCTGTCTTGTCATCTGC |
Table 1 qRT-PCR primer sequences for tomato SlGAD and reference genes
| 基因名称Gene name | 正向引物(5′-3′)Forward primer | 反向引物(5′-3′)Reverse primer |
|---|---|---|
| SlGAD1 | GCAATTGCTGAGTTTTGGAAGA | CCTTCAAAACAACCATTAATCCTTCCC |
| SlGAD2 | AAAAGAACAAGGAAACCGGATG | TACTTTTCACAAGAGGCAAACG |
| SlGAD3 | TGCTAGGGAAGGATTACTTGTT | GAGGTGTAATGTAACATAGCAATCG |
| SlGAD4 | TGAGCTTCAGAATCGATGTGTA | CAATATTGGGCTTGTCATGAGG |
| SlGAD5 | TTATCTTGGTGCTGATCAACCT | TAACCCTCATAACCCAAACGAA |
| SlUbiquitin7 | GATCGTATCAAGGAACGTGTTG | CTTTAGCTGTCTTGTCATCTGC |
| 基因名称Gene name | 正向引物(5′-3′)Forward primer | 反向引物(5′-3′)Reverse primer |
|---|---|---|
| SlGAD1 | ATTTACGAACGATAGGGTACCATGGTTCTCTCAAAAACTCCT | GCCCTTGCTCACCATGGATCCACAAATAGATGCTTTCCTAGC |
| SlGAD2 | ATTTACGAACGATAGGGTACCATGGTGTTAACAACGACGTCG | GCCCTTGCTCACCATGGATCCGCAGACTCCGCTGGTCTTCTT |
| SlGAD3 | ATTTACGAACGATAGGGTACCATGGTTCTCTCAAAAACTTCC | GCCCTTGCTCACCATGGATCCGCAAACAGCTGCTTTCCTAGC |
| SlGAD4 | ATTTACGAACGATAGGGTACCATGGTCATATCCAAGGCCGCC | GCCCTTGCTCACCATGGATCCACATATTACATTTTTGGTCTTCTT |
| SlGAD5 | ATTTACGAACGATAGGGTACCATGGTTCTGTCCAAGATAGCA | GCCCTTGCTCACCATGGATCCACAAACTCCCATAGTCTTATTC |
Table 2 Primers for constructing tomato SlGAD expression vectors
| 基因名称Gene name | 正向引物(5′-3′)Forward primer | 反向引物(5′-3′)Reverse primer |
|---|---|---|
| SlGAD1 | ATTTACGAACGATAGGGTACCATGGTTCTCTCAAAAACTCCT | GCCCTTGCTCACCATGGATCCACAAATAGATGCTTTCCTAGC |
| SlGAD2 | ATTTACGAACGATAGGGTACCATGGTGTTAACAACGACGTCG | GCCCTTGCTCACCATGGATCCGCAGACTCCGCTGGTCTTCTT |
| SlGAD3 | ATTTACGAACGATAGGGTACCATGGTTCTCTCAAAAACTTCC | GCCCTTGCTCACCATGGATCCGCAAACAGCTGCTTTCCTAGC |
| SlGAD4 | ATTTACGAACGATAGGGTACCATGGTCATATCCAAGGCCGCC | GCCCTTGCTCACCATGGATCCACATATTACATTTTTGGTCTTCTT |
| SlGAD5 | ATTTACGAACGATAGGGTACCATGGTTCTGTCCAAGATAGCA | GCCCTTGCTCACCATGGATCCACAAACTCCCATAGTCTTATTC |
| 基因名称 Gene name | 基因组登录号 Accession No. | 染色体分布 Chromosomal location | 氨基酸数量 Number of amino acids | 蛋白质分子量/Da Protein molecular weight | 理论等电点 Theoretical pI | 不稳定指数 Instability index | 平均疏水性 GRAVY | 亚细胞定位 Subcellular localization |
|---|---|---|---|---|---|---|---|---|
| SlGAD1 | Solyc01g005000 | 1 | 484 | 55 180.54 | 5.83 | 32.58 | -0.211 | 细胞质Cytoplasm |
| SlGAD2 | Solyc03g098240 | 3 | 502 | 56 768.23 | 5.88 | 34.13 | -0.226 | 细胞质Cytoplasm |
| SlGAD3 | Solyc04g025530 | 4 | 493 | 56 162.38 | 5.27 | 36.85 | -0.203 | 细胞质Cytoplasm |
| SlGAD4 | Solyc05g054050 | 5 | 497 | 56 171.47 | 5.63 | 35.06 | -0.228 | 细胞质Cytoplasm |
| SlGAD5 | Solyc11g011920 | 11 | 503 | 56 957.36 | 5.44 | 32.70 | -0.240 | 细胞质Cytoplasm |
Table 3 Basic information and subcellular localization prediction of GAD family proteins in tomato
| 基因名称 Gene name | 基因组登录号 Accession No. | 染色体分布 Chromosomal location | 氨基酸数量 Number of amino acids | 蛋白质分子量/Da Protein molecular weight | 理论等电点 Theoretical pI | 不稳定指数 Instability index | 平均疏水性 GRAVY | 亚细胞定位 Subcellular localization |
|---|---|---|---|---|---|---|---|---|
| SlGAD1 | Solyc01g005000 | 1 | 484 | 55 180.54 | 5.83 | 32.58 | -0.211 | 细胞质Cytoplasm |
| SlGAD2 | Solyc03g098240 | 3 | 502 | 56 768.23 | 5.88 | 34.13 | -0.226 | 细胞质Cytoplasm |
| SlGAD3 | Solyc04g025530 | 4 | 493 | 56 162.38 | 5.27 | 36.85 | -0.203 | 细胞质Cytoplasm |
| SlGAD4 | Solyc05g054050 | 5 | 497 | 56 171.47 | 5.63 | 35.06 | -0.228 | 细胞质Cytoplasm |
| SlGAD5 | Solyc11g011920 | 11 | 503 | 56 957.36 | 5.44 | 32.70 | -0.240 | 细胞质Cytoplasm |
Fig. 2 Phylogenetic tree of GAD gene family in Solanum lycopersicum,Solanum tuberosum,Solanum melongena,Nicotiana benthamiana,Capsicum annuum,Arabidopsis thalian,Gossypium arboreum and Oryza sativa
Fig. 4 Analysis of intraspecific collinearity(A)of the GAD gene family in Solanum lycopersicum and its interspecific collinearity(B)with Arabidopsis thaliana and Gossypium arboreum
Fig. 5 Functional analysis of GAD gene family in tomato A:Distribution of cis-acting elements in part of SlGADs;B:Expression analysis of SlGADs after treatment with bacteria and PAMPs
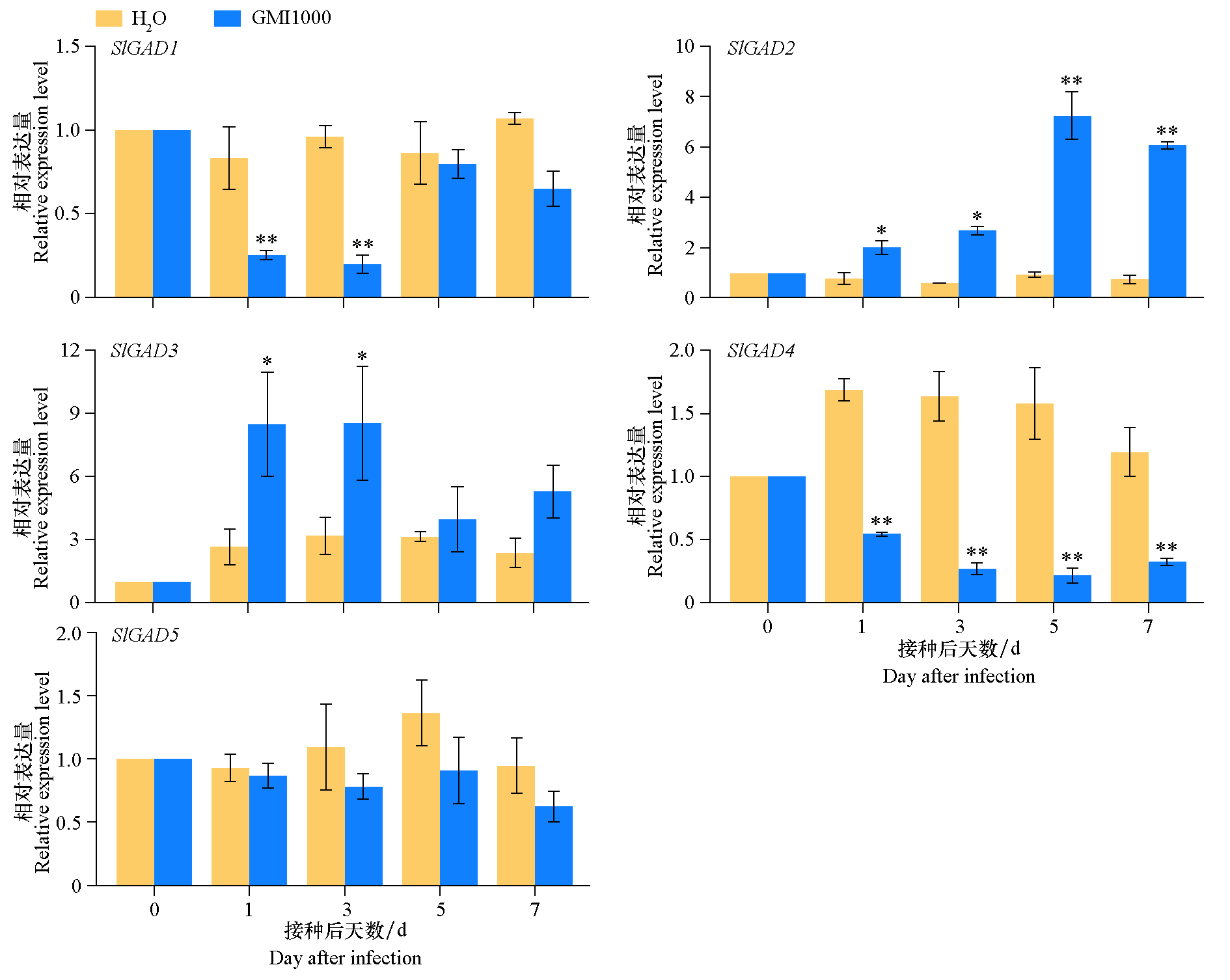
Fig. 6 Relative expression levels of SlGAD genes in tomato at different time points after inoculation with Ralstonia solanacearum strain GMI1000 Using ubiquitin as the reference gene and the values at day 0 as 1,data were analyzed by one-way ANOVA and are presented as mean ± SD;*P < 0.05,**P < 0.01,n = 3. The same below
Fig. 9 Subcellular localization of tomato SlGAD-GFP fusion proteins in Nicotiana benthamiana A:Protein detection by Western blot;B:Subcellular localization;C:Distribution of the SlGAD-GFP fusion protein in N. benthamiana. T:Total protein,S:Soluble protein,M:Membrane protein
| [1] |
|
| [2] |
doi: 10.1104/pp.108.2.551 pmid: 7610159 |
| [3] |
doi: 10.1002/embj.1996.15.issue-12 URL |
| [4] |
|
| [5] |
doi: 10.1007/s11103-004-0650-z URL |
| [6] |
pmid: 12232415 |
| [7] |
doi: 10.1111/mbt.2013.6.issue-6 URL |
| [8] |
doi: 10.1111/jipb.v62.11 URL |
| [9] |
|
|
郭文忠. 2023. 聚焦番茄产业症结,调整生产结构布局. 山西农业大学学报(自然科学版), 43 (5):1-2.
|
|
| [10] |
|
| [11] |
|
| [12] |
|
| [13] |
|
|
金丽飞. 2019. γ-氨基丁酸与L-谷氨酸对梨和番茄果实采后抗性诱导作用及其相关机理的比较分析[硕士论文]. 杭州: 浙江大学.
|
|
| [14] |
doi: 10.1080/07352680091139277 URL |
| [15] |
|
| [16] |
|
| [17] |
doi: 10.1111/j.1364-3703.2012.00804.x pmid: 22672649 |
| [18] |
doi: 10.1080/03235408.2020.1715756 URL |
| [19] |
|
| [20] |
|
| [21] |
doi: 10.1111/pce.v43.5 URL |
| [22] |
doi: 10.1104/pp.117.4.1411 pmid: 9701597 |
| [23] |
doi: 10.1111/tpj.2019.97.issue-6 URL |
| [24] |
|
|
王明琦. 2020. 番茄抗病种质资源的分子鉴定及其抗病性分析[硕士论文]. 上海: 上海交通大学.
|
|
| [25] |
|
| [26] |
doi: 10.1186/s12870-020-02669-w |
| [27] |
|
| [28] |
doi: 10.3390/metabo13030347 URL |
| [29] |
|
| [1] | BAI Xueying, TANG Manzhi, QU Tianhui, ZHANG Liting, XIAO Dong, LI Ying, HOU Xilin, LIU Tongkun. Identification of FRL Gene Family,Expression Analysis and Functional Study of BrcFRI1 in Non-Heading Chinese Cabbage [J]. Acta Horticulturae Sinica, 2026, 53(4): 1125-1142. |
| [2] | WANG Ronghua, LIU Shuantao, ZHAO Zhizhong, LI Qiaoyun, XU Nianfang, ZHANG Zhigang, WANG Shubin. Identification of the WSD Family Gene in Chinese Cabbage and Expression Analysis Under Drought Stress in Waxy Near-Isogenic Lines [J]. Acta Horticulturae Sinica, 2026, 53(4): 1143-1156. |
| [3] | HUANG Xinran, WANG Rongbo, ZHANG Qianrong, LI Benjin, WENG Qiyong, LIU Peiqing. Development and Implementation of an Efficient Method for Evaluating Tomato Resistance to Bacterial Wilt Based on Leaf Injection [J]. Acta Horticulturae Sinica, 2026, 53(4): 1215-1225. |
| [4] | REN Jiaxuan, ZHANG Fan, WANG Chenbing. Identification of the Peach SAP Gene Family and Alleviative Response in Rootstocks Under Abiotic Stress [J]. Acta Horticulturae Sinica, 2026, 53(3): 635-652. |
| [5] | CHEN Yushan, GAO Huan, WU Junkang, WANG Limei, HUANG Chunhui, XU Xiaobiao, LIAO Guanglian. Identification and Expression Analysis of AeBAM Gene Family in Actinidia eriantha [J]. Acta Horticulturae Sinica, 2026, 53(3): 683-696. |
| [6] | SHE Jianju, TIAN Yashan, CHEN Feng, DANG Fengfeng. CaWRKY27 Mediates Pepper Immunity to Ralstonia solanacearum by Regulating CaPR1 and CaPR1L Expression [J]. Acta Horticulturae Sinica, 2026, 53(3): 831-844. |
| [7] | CHEN Yiquan, FAN Ronghui, LIN Bing, CHEN Yan, WU Jianshe, ZHONG Huaiqin. Screening and Validation of Reference Genes for qRT-PCR Analysis of Genes Related to Floral Scent Biosynthesis in Camellia japonica [J]. Acta Horticulturae Sinica, 2026, 53(2): 598-612. |
| [8] | WANG Yanqiu, BAN Jingjie, ZENG Yuhan, LAI Chunwang, HUANG Xiaoling, ZHOU Jianjin, WAN Kui, LAI Zhongxiong, LIN Yuling. Identification of the DREB Gene Family in Polygonatum cyrtonema and Analysis of Its Response to Salt Stress [J]. Acta Horticulturae Sinica, 2026, 53(1): 159-173. |
| [9] | SHI Fengyan, WEI Meijun, WANG Xiuxue, ZHANG Xi, ZOU Chunlei. Discovery of Key Genes for Pepper Resistance to Phytophthora Blight Based on WGCNA [J]. Acta Horticulturae Sinica, 2026, 53(1): 257-274. |
| [10] | FAN Yongsheng, REN Yi, LIU Sichao, FENG Fudong, NIE Lanchun, WANG Xinxin. Application of Plant Growth Regulators in Tomato Production and Their Effects on Fruit Quality [J]. Acta Horticulturae Sinica, 2026, 53(1): 313-330. |
| [11] | ZHU Caishuo, LI Jianzhong, ZHANG Qiannan, XU Lijie, ZHANG Shujiang, ZHANG Shifan, LI Fei, ZHANG Hui, XU Jin, SONG Zihan, LI Guoliang. Identification of the TCP Gene Family in Brassica campestris and Analysis of Their Effects on Axillary Bud Traits [J]. Acta Horticulturae Sinica, 2026, 53(1): 82-98. |
| [12] | WANG Guifang, XIANG Kun, XU Haifeng, ZHANG Meiyong, CHEN Xin. A New Walnut Cultivar‘Lukang 9’ [J]. Acta Horticulturae Sinica, 2025, 52(S2): 63-64. |
| [13] | ZHANG Junpei, MENG Bingnan, XU Huzhi, GUO Zhimin, XU Huimin, PEI Dong. A New Walnut Rootstock Cultivar‘Zhongningyi’ [J]. Acta Horticulturae Sinica, 2025, 52(S2): 65-66. |
| [14] | ZAI Wenshan, CHEN Xianzhi, FU Cunnian, SU Shiwen, SHI Jianlei, XIONG Zili, HUANG Shaoyong. A New Taste Tomato Cultivar‘Ouxiu 901’ [J]. Acta Horticulturae Sinica, 2025, 52(S2): 121-122. |
| [15] | WANG Rongqing, YAO Zhuping, CHENG Yuan, YE Qingjing, RUAN Meiying, WAN Hongjian, LI Zhimiao, LIU Chenxu, ZHOU Guozhi. A New Tomato Cultivar‘Zhefen 718’with High Quality and Storage Properties [J]. Acta Horticulturae Sinica, 2025, 52(S2): 123-124. |
| Viewed | ||||||
|
Full text |
|
|||||
|
Abstract |
|
|||||
Copyright © 2012 Acta Horticulturae Sinica 京ICP备10030308号-2 国际联网备案号 11010802023439
Tel: 010-82109523 E-Mail: yuanyixuebao@126.com
Support by: Beijing Magtech Co.Ltd