园艺学报 ›› 2026, Vol. 53 ›› Issue (2): 598-612.doi: 10.16420/j.issn.0513-353x.2025-0772
陈艺荃, 樊荣辉, 林兵, 陈燕, 吴建设*(
), 钟淮钦*(
)
收稿日期:2025-08-08
修回日期:2026-01-06
出版日期:2026-02-25
发布日期:2026-02-12
通讯作者:
*E-mail:260210495@qq.com, E-mail:zhqeast@163.com
基金资助:
CHEN Yiquan, FAN Ronghui, LIN Bing, CHEN Yan, WU Jianshe(
), ZHONG Huaiqin(
)
Received:2025-08-08
Revised:2026-01-06
Published:2026-02-25
Online:2026-02-12
Contact:
*E-mail:260210495@qq.com, E-mail:zhqeast@163.com
摘要:
为研究山茶花花香生物合成相关基因的表达模式,筛选在山茶花中稳定表达的内参基因。利用实时荧光定量PCR(qRT-PCR)技术检测10个候选内参基因(α-TUB、CYP、PP2A、ACTIN1、ACTIN2、GAPDH、UBQ、AQP、UBC和HIS)在不同的组织、开花阶段、品种和混合样品中的表达水平,geNorm、NormFinder、BestKeeper 和RefFinder 4种算法综合评估和鉴定内参基因的表达稳定性。结果显示,10个候选内参基因的引物特异性好,均具有作为内参基因的性能;分析山茶花不同开花阶段基因表达时可选用PP2A和UBC,分析不同组织和不同香型品种基因表达时最理想的内参基因为PP2A和ACTIN1,其中PP2A在山茶花不同的组织、开花阶段、香型品种和混合样品中均能稳定表达。通过qRT-PCR扩增了花香相关的9个靶基因,验证PP2A是山茶花花香相关基因表达研究的最佳内参基因,而以传统管家基因GAPDH为内参时,山茶花芳樟醇/橙花叔醇合酶基因CaLIS/NES1和苯乙醛还原酶基因CaPAR的表达模式出现较大偏差。
陈艺荃, 樊荣辉, 林兵, 陈燕, 吴建设, 钟淮钦. 山茶花花香生物合成相关基因的实时荧光定量PCR内参基因的筛选及验证[J]. 园艺学报, 2026, 53(2): 598-612.
CHEN Yiquan, FAN Ronghui, LIN Bing, CHEN Yan, WU Jianshe, ZHONG Huaiqin. Screening and Validation of Reference Genes for qRT-PCR Analysis of Genes Related to Floral Scent Biosynthesis in Camellia japonica[J]. Acta Horticulturae Sinica, 2026, 53(2): 598-612.
图1 本研究中的试验材料 A:4种香型品种及花香描述;B:‘香妃’不同组织;C:‘香太阳’不同开花阶段
Fig. 1 Experimental materials for this study A:Four fragrance cultivars and floral scent description;B:Different tissues of‘High Fragrance’;C:Different flowering stages of‘Scented Sun’
| 基因(ID) Gene | 注释 Annotation | 引物序列(5′-3′) Primer sequence |
|---|---|---|
| CaHMGR (LOC114310350) | 羟基-3-甲基戊二酰辅酶A 原酶基因 3-Hydroxy-3-methylglutaryl-CoA reductase | F:CAAAGAGTACCCAGGATCAAA R:GCAATGGCAGACATCAAGGA |
| CaDXS1 (LOC114301937) | 1-脱氧-d木酮糖-5-磷酸合酶基因1 1-Deoxy-d-xylulose 5-phosphate synthase 1 | F:GGGAGAATACTGATGGAAGG R:GATTAAATCTGCATCTAAGGGT |
| CaDXS2 (LOC114264886) | 1-脱氧-d木酮糖-5-磷酸合酶基因2 1-Deoxy-d-xylulose 5-phosphate synthase 2 | F:ATGTTGCTCACTTCATGTCCCTA R:TTGCGGCAATATGAGATGGT |
| CaMDS (LOC114279313) | 2-C-甲基-D-赤藓糖醇-2,4-环焦磷酸合酶基因 2-C-Methyl-D-erythritol 2,4-cyclodiphosphate synthase | F:CTCCATCGCCAAACGCTCGTC R:CGCGGTTTCAGCCACCACTA |
| CaGGPPS(LOC114281224) | 香叶基香叶基二磷酸合酶基因 Geranylgeranyl diphosphate synthetase | F:ATGTATTGGGTTGTTGTTTCAGG R:GAAAGCTGTTCCTTCGCCTC |
| CaLIS/NES1 (LOC114290333) | 芳樟醇/橙花叔醇合酶基因1 Linalool/nerolidol synthase 1 | F:CCAGGCATTGTGACTTCTAC R:AGATAGGCATTCCTTGTTGA |
| CaLIS/NES2 (LOC114261430) | 芳樟醇/橙花叔醇合酶基因2 Linalool/nerolidol synthase 2 | F:GCACTTCTACAAAGCCAATA R:TACAAACTCATCAACCCTCT |
| CaSAMT (LOC114304780) | 水杨酸羧基位甲基转移酶基因 Salicylic acid carboxyl methyltransferas | F:TCCCACAATACACTCCATCC R:CAAGCAATGACTCAGCCACA |
| CaPAR (LOC114300830) | 苯乙醛还原酶基因 Phenylacetaldehyde reductase | F:GGAGGGTCAGGGTACATAGC R:ATCAACCGCAGAATCAAAGG |
表1 花香生物合成途径部分关键基因qRT-PCR引物序列
Table 1 Primer sequences for some key genes in floral scent biosynthesis pathway derived from qRT-PCR
| 基因(ID) Gene | 注释 Annotation | 引物序列(5′-3′) Primer sequence |
|---|---|---|
| CaHMGR (LOC114310350) | 羟基-3-甲基戊二酰辅酶A 原酶基因 3-Hydroxy-3-methylglutaryl-CoA reductase | F:CAAAGAGTACCCAGGATCAAA R:GCAATGGCAGACATCAAGGA |
| CaDXS1 (LOC114301937) | 1-脱氧-d木酮糖-5-磷酸合酶基因1 1-Deoxy-d-xylulose 5-phosphate synthase 1 | F:GGGAGAATACTGATGGAAGG R:GATTAAATCTGCATCTAAGGGT |
| CaDXS2 (LOC114264886) | 1-脱氧-d木酮糖-5-磷酸合酶基因2 1-Deoxy-d-xylulose 5-phosphate synthase 2 | F:ATGTTGCTCACTTCATGTCCCTA R:TTGCGGCAATATGAGATGGT |
| CaMDS (LOC114279313) | 2-C-甲基-D-赤藓糖醇-2,4-环焦磷酸合酶基因 2-C-Methyl-D-erythritol 2,4-cyclodiphosphate synthase | F:CTCCATCGCCAAACGCTCGTC R:CGCGGTTTCAGCCACCACTA |
| CaGGPPS(LOC114281224) | 香叶基香叶基二磷酸合酶基因 Geranylgeranyl diphosphate synthetase | F:ATGTATTGGGTTGTTGTTTCAGG R:GAAAGCTGTTCCTTCGCCTC |
| CaLIS/NES1 (LOC114290333) | 芳樟醇/橙花叔醇合酶基因1 Linalool/nerolidol synthase 1 | F:CCAGGCATTGTGACTTCTAC R:AGATAGGCATTCCTTGTTGA |
| CaLIS/NES2 (LOC114261430) | 芳樟醇/橙花叔醇合酶基因2 Linalool/nerolidol synthase 2 | F:GCACTTCTACAAAGCCAATA R:TACAAACTCATCAACCCTCT |
| CaSAMT (LOC114304780) | 水杨酸羧基位甲基转移酶基因 Salicylic acid carboxyl methyltransferas | F:TCCCACAATACACTCCATCC R:CAAGCAATGACTCAGCCACA |
| CaPAR (LOC114300830) | 苯乙醛还原酶基因 Phenylacetaldehyde reductase | F:GGAGGGTCAGGGTACATAGC R:ATCAACCGCAGAATCAAAGG |
| 基因(ID) Gene | 注释 Annotation | 引物序列(5′-3′) Primer sequence | 产物长/bp Product length | 斜率 Slope | 扩增效率/% PCR efficiency(E) | 判定系数 Correlation coefficient(R2) |
|---|---|---|---|---|---|---|
| α-TUB(LOC114256112) | α微管蛋白基因 α-tubulin | F:GCAAGCAGGTATTCAGGTAG R:TAACGGTAGGTTCCAGGTCA | 194 | -3.2897 | 101.3627 | 0.9959 |
| CYP(LOC114311397) | 亲环蛋白基因 Cyclophilin | F:CTCTTCCTCGTCGCCTCAAT R:CCTCCTCCACCTCATCTACC | 76 | -3.2643 | 102.4624 | 0.9960 |
| PP2A(LOC114282106) | 蛋白磷酸酶2A基因 Protein phosphatase 2A | F:CTGCATCGAAAGACAGGGTA R:CTGACATCAACATCTGGGTC | 148 | -3.3671 | 98.1488 | 0.9996 |
| ACTIN1(LOC114311395) | 肌动蛋白基因1 Actin1 | F:CGATACGCCGTGTTTGATTT R:AGTAGGGTCGGTGGCTTGGA | 186 | -3.2286 | 104.0477 | 0.9938 |
| ACTIN2(LOC114288971) | 肌动蛋白基因2 Actin2 | F:GGTATGTCAAGTGCGGTTTC R:TTCTTGTTCCATGAGGGATT | 107 | -3.1123 | 109.5587 | 0.9975 |
| GAPDH(LOC114311438) | 甘油醛-3-磷酸脱氢酶基因Glyceraldehyde-3- phosphate dehydrogenase | F:AGGGCAAACTCAAGGGTATT R:TAGCATTCAGCAACAGAGGC | 214 | -3.4563 | 94.6824 | 0.9980 |
| UBQ(LOC114305206) | 多聚泛素酶基因 Polyubiquitin | F:GACCCTACACTTGGTGCTGC R:TCTGGTGGAATACCCTCCTT | 150 | -3.1280 | 108.7820 | 0.9921 |
| AQP(LOC114261180) | 水通道蛋白基因 Aquaporin | F:AAGAAGGCGGTCTGGGATGA R:CTCAAGATGAACTGGTGGTAGAA | 92 | -3.4931 | 93.3208 | 0.9983 |
| HIS(LOC114293472) | 组蛋白H3基因 Histone | F:CACATCGAGGAGCAGCAAGG R:TTTCCAGCCAATTCAAGCAC | 162 | -3.4854 | 93.6026 | 0.9947 |
| UBC(LOC114280527 ) | 泛素结合酶基因 Ubiquitin-conjugating enzyme | F:TATCAAAGGTCCTGCTGTCC R:CCTCATATTTAGCCCTATCAGTC | 111 | -3.4571 | 94.6524 | 0.9986 |
表2 10个候选内参基因 qRT-PCR的引物序列和扩增参数
Table 2 Primer sequences and amplification parameters for 10 candidate reference genes
| 基因(ID) Gene | 注释 Annotation | 引物序列(5′-3′) Primer sequence | 产物长/bp Product length | 斜率 Slope | 扩增效率/% PCR efficiency(E) | 判定系数 Correlation coefficient(R2) |
|---|---|---|---|---|---|---|
| α-TUB(LOC114256112) | α微管蛋白基因 α-tubulin | F:GCAAGCAGGTATTCAGGTAG R:TAACGGTAGGTTCCAGGTCA | 194 | -3.2897 | 101.3627 | 0.9959 |
| CYP(LOC114311397) | 亲环蛋白基因 Cyclophilin | F:CTCTTCCTCGTCGCCTCAAT R:CCTCCTCCACCTCATCTACC | 76 | -3.2643 | 102.4624 | 0.9960 |
| PP2A(LOC114282106) | 蛋白磷酸酶2A基因 Protein phosphatase 2A | F:CTGCATCGAAAGACAGGGTA R:CTGACATCAACATCTGGGTC | 148 | -3.3671 | 98.1488 | 0.9996 |
| ACTIN1(LOC114311395) | 肌动蛋白基因1 Actin1 | F:CGATACGCCGTGTTTGATTT R:AGTAGGGTCGGTGGCTTGGA | 186 | -3.2286 | 104.0477 | 0.9938 |
| ACTIN2(LOC114288971) | 肌动蛋白基因2 Actin2 | F:GGTATGTCAAGTGCGGTTTC R:TTCTTGTTCCATGAGGGATT | 107 | -3.1123 | 109.5587 | 0.9975 |
| GAPDH(LOC114311438) | 甘油醛-3-磷酸脱氢酶基因Glyceraldehyde-3- phosphate dehydrogenase | F:AGGGCAAACTCAAGGGTATT R:TAGCATTCAGCAACAGAGGC | 214 | -3.4563 | 94.6824 | 0.9980 |
| UBQ(LOC114305206) | 多聚泛素酶基因 Polyubiquitin | F:GACCCTACACTTGGTGCTGC R:TCTGGTGGAATACCCTCCTT | 150 | -3.1280 | 108.7820 | 0.9921 |
| AQP(LOC114261180) | 水通道蛋白基因 Aquaporin | F:AAGAAGGCGGTCTGGGATGA R:CTCAAGATGAACTGGTGGTAGAA | 92 | -3.4931 | 93.3208 | 0.9983 |
| HIS(LOC114293472) | 组蛋白H3基因 Histone | F:CACATCGAGGAGCAGCAAGG R:TTTCCAGCCAATTCAAGCAC | 162 | -3.4854 | 93.6026 | 0.9947 |
| UBC(LOC114280527 ) | 泛素结合酶基因 Ubiquitin-conjugating enzyme | F:TATCAAAGGTCCTGCTGTCC R:CCTCATATTTAGCCCTATCAGTC | 111 | -3.4571 | 94.6524 | 0.9986 |
图4 候选内参基因在所有样品中的Ct值分布 使用Duncan’s新复极差法进行显著性分析,不同小写字母表示差异显著(P < 0.05)
Fig. 4 Ct value distribution of reference genes in all samples Perform a significance analysis using Duncan’s new multiple range test,and different lowercase letters indicate significant differences at 0.05 level
图5 geNorm(A1 ~ D1,M)和NormFinder(A2 ~ D2,S)分析候选内参基因的表达稳定值 A:所有样品;B:组织;C:开花阶段;D:不同香型品种
Fig. 5 Gene expression stability of candidate reference genes by geNorm(A1-D1,M)and NormFinder(A2-D2,S) A:All samples;B:Tissue;C:Flowering stage;D:Different fragrance cultivars
| 基因 Gene | 所有样品 All samples | 不同组织 Different tissues | 不同开花阶段 Different flowering stages | 不同香型品种 Different fragrance cultivars | ||||
|---|---|---|---|---|---|---|---|---|
| SD | CV/% | SD | CV/% | SD | CV/% | SD | CV/% | |
| α-TUB | 0.631 | 2.330 | 0.578 | 2.155 | 0.628 | 2.343 | 0.531 | 1.910 |
| CYP | 1.197 | 3.946 | 0.771 | 2.595 | 1.383 | 4.579 | 1.017 | 3.266 |
| PP2A | 0.414 | 1.534 | 0.603 | 2.267 | 0.188 | 0.685 | 0.175 | 0.646 |
| ACTIN1 | 0.563 | 2.037 | 0.662 | 2.435 | 0.567 | 2.028 | 0.301 | 1.077 |
| ACTIN2 | 1.390 | 4.057 | 1.246 | 3.661 | 1.200 | 3.551 | 1.606 | 4.601 |
| GAPDH | 1.306 | 5.414 | 1.983 | 7.985 | 0.789 | 3.394 | 1.062 | 4.342 |
| UBQ | 1.282 | 6.059 | 0.784 | 3.605 | 1.866 | 8.920 | 1.648 | 7.741 |
| AQP | 1.116 | 4.308 | 1.300 | 5.091 | 0.863 | 3.332 | 0.742 | 2.799 |
| HIS | 1.411 | 6.061 | 1.422 | 6.126 | 1.240 | 5.322 | 1.269 | 5.447 |
| UBC | 1.132 | 4.878 | 1.340 | 6.034 | 0.302 | 1.280 | 1.494 | 6.343 |
表3 BestKeeper软件分析候选内参基因的表达稳定性
Table 3 Expression stability analysis of candidate reference genes by BestKeeper
| 基因 Gene | 所有样品 All samples | 不同组织 Different tissues | 不同开花阶段 Different flowering stages | 不同香型品种 Different fragrance cultivars | ||||
|---|---|---|---|---|---|---|---|---|
| SD | CV/% | SD | CV/% | SD | CV/% | SD | CV/% | |
| α-TUB | 0.631 | 2.330 | 0.578 | 2.155 | 0.628 | 2.343 | 0.531 | 1.910 |
| CYP | 1.197 | 3.946 | 0.771 | 2.595 | 1.383 | 4.579 | 1.017 | 3.266 |
| PP2A | 0.414 | 1.534 | 0.603 | 2.267 | 0.188 | 0.685 | 0.175 | 0.646 |
| ACTIN1 | 0.563 | 2.037 | 0.662 | 2.435 | 0.567 | 2.028 | 0.301 | 1.077 |
| ACTIN2 | 1.390 | 4.057 | 1.246 | 3.661 | 1.200 | 3.551 | 1.606 | 4.601 |
| GAPDH | 1.306 | 5.414 | 1.983 | 7.985 | 0.789 | 3.394 | 1.062 | 4.342 |
| UBQ | 1.282 | 6.059 | 0.784 | 3.605 | 1.866 | 8.920 | 1.648 | 7.741 |
| AQP | 1.116 | 4.308 | 1.300 | 5.091 | 0.863 | 3.332 | 0.742 | 2.799 |
| HIS | 1.411 | 6.061 | 1.422 | 6.126 | 1.240 | 5.322 | 1.269 | 5.447 |
| UBC | 1.132 | 4.878 | 1.340 | 6.034 | 0.302 | 1.280 | 1.494 | 6.343 |
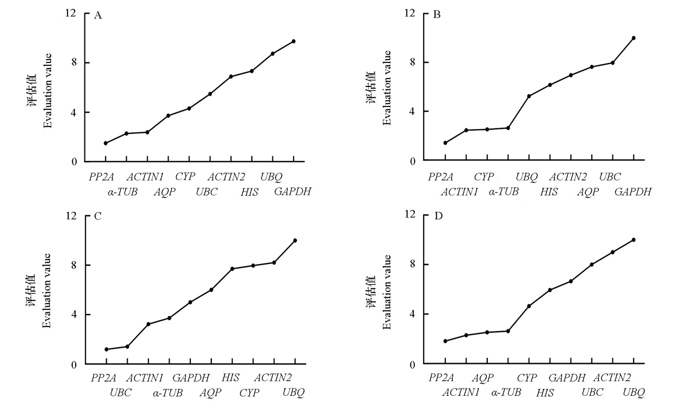
图6 10个候选内参基因的稳定性综合排名 A:所有样品;B:组织;C:开花阶段;D:不同香型品种
Fig. 6 The comprehensive stability ranking of 10 candidate reference genes A:All samples;B:Tissue;C:Flowering stage;D:Different fragrance cultivars
图8 以PP2A为内参基因时花香关键酶基因的相对表达水平 A ~ C分别为萜类化合物合成前体途径结构基因、萜类合成关键酶基因和苯环型/苯丙素类化合物合成关键酶基因。t检验,* P < 0.05,** P < 0.01
Fig. 8 The relative expression level of floral scent-synthesizing genes using PP2A as reference gene A-C are the structural genes involved in precursor pathway for monoterpene synthesis,the key enzyme genes in the terpenoid synthesis pathway and benzenering/phenylpropanoid compound synthesis pathway,respectively. t-test,* P < 0.05,** P < 0.01
图9 9个花香关键酶基因在不同香型品种盛花期的表达谱
Fig. 9 The expression patterns of nine key floral scent-synthesizing genes in different fragrance cultivars at peak flowering stage
图10 以GAPDH为内参基因时花香关键酶基因的相对表达水平
Fig. 10 The relative expression level of floral scent-synthesizing genes using GAPDH as reference gene t-test,* P < 0.05,** P < 0.01
| [1] |
doi: 10.1080/07352689.2022.2084227 URL |
| [2] |
doi: 10.1046/j.1365-313X.1996.10010107.x URL |
| [3] |
doi: 10.1158/0008-5472.CAN-04-0496 URL |
| [4] |
|
| [5] |
doi: 10.11869/j.issn.1000-8551.2024.12.2281 |
|
陈艺荃, 林榕燕, 孔兰, 方能炎, 樊荣辉, 钟淮钦. 2024. 山茶花花香成分鉴定及相关基因的转录组分析. 核农学报, 38 (12):2281-2293.
doi: 10.11869/j.issn.1000-8551.2024.12.2281 |
|
| [6] |
|
|
戴睿, 段帅帅, 肖士奎, 卫志鹏, 吕淑芳, 史国安, 吴疆, 范丙友. 2025. 芍药切花内参基因筛选及乙烯生物合成关键基因表达分析. 北京林业大学学报, 47 (1):106-115.
|
|
| [7] |
doi: 10.1007/s12064-012-0152-5 pmid: 22588998 |
| [8] |
doi: 10.1016/j.scienta.2019.02.050 URL |
| [9] |
|
|
范正琪, 李纪元, 田敏, 李辛雷, 倪穗. 2006. 三个山茶花种(品种)香气成分初探. 园艺学报, 33 (3):592-596.
|
|
| [10] |
|
|
方林鑫, 李志红, 张守科, 张威, 舒金平, 王浩杰. 2022. 黄脊竹蝗荧光定量 PCR 内参基因的鉴定与筛选. 林业科学, 58 (1):70-77.
|
|
| [11] |
doi: 10.3390/ijms151222155 URL |
| [12] |
doi: 10.16420/j.issn.0513-353x.2021-0763 URL |
|
侯天泽, 易双双, 张志群, 王健, 李崇晖. 2022. 秋石斛RT-qPCR内参基因的筛选与验证. 园艺学报, 49 (11):2489-2501.
doi: 10.16420/j.issn.0513-353x.2021-0763 URL |
|
| [13] |
doi: 10.1186/1471-2229-10-71 |
| [14] |
doi: 10.16420/j.issn.0513-353x.2014-0999 |
|
蒋婷婷, 高燕会, 童再康. 2015. 石蒜属植物实时荧光定量 PCR内参基因的选择. 园艺学报, 42 (6):1129-1138.
doi: 10.16420/j.issn.0513-353x.2014-0999 |
|
| [15] |
|
|
李麟坤, 梁重钧, 宁楚龙, 张薇, 姜国维, 张鑫, 王利兵. 2024. 文冠果种子发育基因表达分析内参基因的选择. 林业科学研究, 37 (3):79-85.
|
|
| [16] |
doi: 10.1371/journal.pone.0233249 URL |
| [17] |
|
| [18] |
|
|
刘小飞, 于波, 黄丽丽, 孙映波. 2020. 杜鹃红山茶实时定量PCR内参基因筛选及验证. 广东农业科学, 47 (12):203-211.
|
|
| [19] |
doi: 10.1006/meth.2001.1262 pmid: 11846609 |
| [20] |
doi: 10.1038/nprot.2006.236 pmid: 17406449 |
| [21] |
doi: 10.1023/B:BILE.0000019559.84305.47 |
| [22] |
doi: 10.1016/j.bbrc.2003.11.177 pmid: 14706621 |
| [23] |
doi: 10.3390/ijms160510134 URL |
| [24] |
|
| [25] |
|
| [26] |
|
|
吴悠, 冀宏宇, 邓淑雯, 梁翠怡, 万志庭, 吴沙沙, 翟俊文. 2024. 三褶虾脊兰花发育相关基因 RT-qPCR 内参基因的筛选. 园艺学报, 51 (9):2063-2074.
|
|
| [27] |
|
| [28] |
|
|
叶勇,
|
|
| [29] |
|
| [30] |
doi: 10.1016/j.foodchem.2011.05.001 URL |
| [31] |
doi: 10.1007/s00299-010-0992-8 URL |
| [32] |
doi: 10.1134/S0026893313060198 URL |
| [1] | 陈钰珊, 高欢, 吴俊康, 王莉梅, 黄春辉, 徐小彪, 廖光联. 毛花猕猴桃AeBAM基因家族鉴定及其表达分析[J]. 园艺学报, 2026, 53(3): 683-696. |
| [2] | 张家齐, 董丽红, 付一帆, 王培培, 郭庆港, 马平. 草莓根腐病病原足赤壳菌TaqMan实时荧光定量PCR检测方法的建立[J]. 园艺学报, 2026, 53(3): 857-866. |
| [3] | 王芳, 范燕萍. 观赏植物花香性状形成及调控机制研究进展[J]. 园艺学报, 2026, 53(2): 359-385. |
| [4] | 谢雨滢, 施婷婷, 杨秀莲, 王良桂, 岳远征. 花香的生物功能及其合成机制研究进展[J]. 园艺学报, 2026, 53(2): 386-396. |
| [5] | 赵雨晴, 唐菲鸿, 郑仕杰, 官泽恩, 吴建凯, 刘仲健, 彭东辉, 兰思仁, 赵凯, 周育真. 兰花“花香”物质研究进展:从合成机制到进化驱动[J]. 园艺学报, 2026, 53(2): 412-436. |
| [6] | 牛童非, 杨迪, 马慧丽, 郭丽丽, 侯小改. 牡丹花香的生物合成及调控研究进展[J]. 园艺学报, 2026, 53(2): 447-466. |
| [7] | 岳芝伊, 李心, 王昊宁, 张启翔, 孙丽丹. 梅花花香研究进展[J]. 园艺学报, 2026, 53(2): 467-480. |
| [8] | 付琪, 尚均忠, 裴文文, 刘国梁, 景维坤, 张颢, 蹇洪英, 邱显钦, 唐开学, 晏慧君. 月季花香物质合成基因及其演化机制研究进展[J]. 园艺学报, 2026, 53(2): 481-495. |
| [9] | 沈言, 夏子轶, 冷平生, 马波, 胡增辉. ‘西伯利亚’百合LiMYB4的克隆及在萜烯合成中的功能分析[J]. 园艺学报, 2026, 53(2): 525-537. |
| [10] | 魏永路, 叶广英, 高洁, 金建鹏, 陆楚桥, 李杰, 谢琦, 苟亚军, 朱根发, 杨凤玺. 腋唇兰花香成分鉴定和关键调控基因挖掘[J]. 园艺学报, 2026, 53(2): 538-556. |
| [11] | 李崇晖, 洪小雨, 陆顺教, 廖易, 尹俊梅. 基于代谢组与转录组联合分析解析秋石斛花香形成机制[J]. 园艺学报, 2026, 53(2): 557-573. |
| [12] | 刘庭函, 张一凡, 陈沄毅, 周利君, 刘雨晨, 吴思惠, 罗乐, 于超. 巨花蔷薇杂交子代花香成分解析与释香部位研究[J]. 园艺学报, 2026, 53(2): 585-597. |
| [13] | 刘玉婷, 付雪梅, 胡一航, 陈龙清. 蜡梅花香转运相关ABCG基因的筛选[J]. 园艺学报, 2026, 53(2): 613-634. |
| [14] | 王艳秋, 班景洁, 曾宇涵, 赖春旺, 黄晓铃, 周建金, 万奎, 赖钟雄, 林玉玲. 多花黄精DREB基因家族鉴定及其在盐胁迫下的响应分析[J]. 园艺学报, 2026, 53(1): 159-173. |
| [15] | 王宝琛, 罗陈, 闫晋强, 程晓欣, 莫仁连, 刘文睿, 张余洋, 江彪. 冬瓜BhYAB4b基因的克隆、表达及功能研究[J]. 园艺学报, 2025, 52(9): 2353-2362. |
| 阅读次数 | ||||||
|
全文 |
|
|||||
|
摘要 |
|
|||||
版权所有 © 2012 《园艺学报》编辑部 京ICP备10030308号-2 国际联网备案号 11010802023439
编辑部地址: 北京市海淀区中关村南大街12号中国农业科学院蔬菜花卉研究所 邮编: 100081
电话: 010-82109523 E-Mail: yuanyixuebao@126.com
技术支持:北京玛格泰克科技发展有限公司