园艺学报 ›› 2024, Vol. 51 ›› Issue (4): 815-831.doi: 10.16420/j.issn.0513-353x.2023-0144
李斗1, 王宇航1, 王春恒1, 金鑫1, 杨江山1,*(
), 陈亚娟1, 戴子博1, 冯丽丹2
收稿日期:2023-10-11
修回日期:2023-12-25
出版日期:2024-04-25
发布日期:2024-04-26
通讯作者:
基金资助:
LI Dou1, WANG Yuhang1, WANG Chunheng1, JIN Xin1, YANG Jiangshan1,*(
), CHEN Yajuan1, DAI Zibo1, and FENG Lidan2
Received:2023-10-11
Revised:2023-12-25
Published:2024-04-25
Online:2024-04-26
Contact:
摘要:
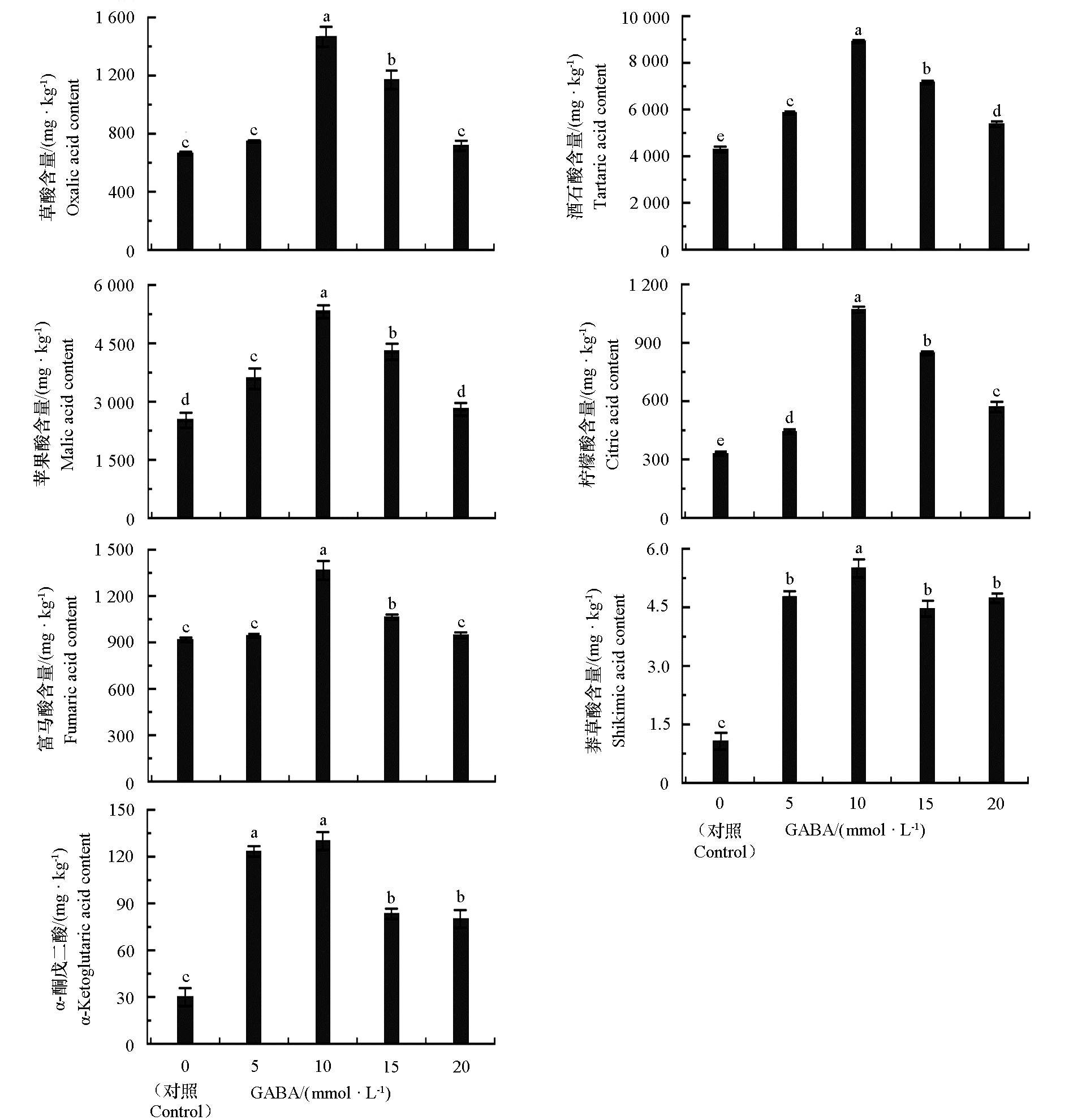
为探讨外源γ-氨基丁酸(GABA)对酿酒葡萄叶片光合色素及糖含量和果实品质风味的影响,以‘蛇龙珠’葡萄为试材,于开花期、坐果期、膨大期和转色期用5、10、15、20 mmol · L-1的GABA溶液喷施叶面,以喷施蒸馏水为对照,测定不同时期叶片光合色素、糖含量及成熟期果实品质风味,并采用PEN3电子鼻无损检测技术和气相色谱—质谱联用(GC-MS)技术结合聚类、线性判别(LDA)、主成分(PCA)及相关性分析对果实品质风味进行综合评价与分析。结果表明:GABA处理提高了‘蛇龙珠’葡萄叶片叶绿素、类胡萝卜素、可溶性糖和淀粉含量,改善了果实风味品质,其中各物候期10 mmol · L-1 GABA处理总叶绿素含量均显著高于对照,成熟期10 mmol · L-1 GABA处理果实可溶性糖含量较对照提高了9%,草酸及酒石酸含量分别较对照提高了121%和108%。与对照相比GABA处理增加了果实香气物质种类与含量,且不同浓度GABA处理后葡萄果实香气物质种类相似,但含量差异显著,电子鼻分析结果与GC-MS测定结果基本一致,其中10 mmol · L-1 GABA处理挥发性香气物质含量最高,大多数传感器敏感性响应值均较高。利用PCA、LDA法分析表明电子鼻检测结果能较好区分不同浓度GABA处理的‘蛇龙珠’葡萄果实的风味。相关性分析发现,葡萄叶片可溶性糖、淀粉及果实糖酸组分含量与香气物质之间存在一定的相关性。综上,GABA可能通过提高叶片光合色素、可溶性糖和淀粉含量,促进了果实糖酸积累,增加了挥发性香气物质含量,从而改善了果实风味品质,并且以10 mmol · L-1 GABA处理最佳。
李斗, 王宇航, 王春恒, 金鑫, 杨江山, 陈亚娟, 戴子博, 冯丽丹. GABA对葡萄叶片光合色素及糖含量和果实风味的影响[J]. 园艺学报, 2024, 51(4): 815-831.
LI Dou, WANG Yuhang, WANG Chunheng, JIN Xin, YANG Jiangshan, CHEN Yajuan, DAI Zibo, and FENG Lidan. Effects of Exogenous GABA on Physiological Characteristics of Leaves and Fruit Flavor in Wine Grape[J]. Acta Horticulturae Sinica, 2024, 51(4): 815-831.
| 编号 No. | 传感器名称 Sensor name | 性能描述 Performance description |
|---|---|---|
| R1 | W1C | 对芳香性物质敏感 Sensitive to aromatic substances |
| R2 | W5S | 灵敏度高,对氮氧化物反应灵敏,对阴性氮氧化物感应更加灵敏 High sensitivity,sensitive to nitrogen oxides,more sensitive to negative nitrogen oxides |
| R3 | W3C | 对芳香成分的检测,主要对氨水灵敏 The detection of aromatic components is mainly sensitive to ammonia water |
| R4 | W6S | 主要对氢气敏感 Mainly sensitive to hydrogen |
| R5 | W5C | 主要检测烷烃、芳香型化合物,极性很小的化合物 It mainly detects alkanes,aromatic compounds,and compounds with low polarity |
| R6 | W1S | 对甲烷敏感,灵敏度大 High sensitivity to methane |
| R7 | W1W | 主要对硫化物敏感。另外,对很多的萜烯类和有机硫化物也都很敏感 Mainly sensitive to sulfides. In addition,it is also sensitive to many terpenes and organic sulfides |
| R8 | W2S | 对乙醇灵敏,对羰基也都有响应 Sensitive to ethanol and responsive to carbonyl groups |
| R9 | W2W | 对芳香成分和有机硫化物敏感 Sensitive to aromatic components and organic sulfides |
| R10 | W3S | 用于烷烃高浓度检测,对甲烷非常敏感 Used for high concentration detection of alkanes,very sensitive to methane |
表1 PEN3.5电子鼻传感器敏感物质
Table 1 Sensitive substances of PEN3.5 electronic nose sensor
| 编号 No. | 传感器名称 Sensor name | 性能描述 Performance description |
|---|---|---|
| R1 | W1C | 对芳香性物质敏感 Sensitive to aromatic substances |
| R2 | W5S | 灵敏度高,对氮氧化物反应灵敏,对阴性氮氧化物感应更加灵敏 High sensitivity,sensitive to nitrogen oxides,more sensitive to negative nitrogen oxides |
| R3 | W3C | 对芳香成分的检测,主要对氨水灵敏 The detection of aromatic components is mainly sensitive to ammonia water |
| R4 | W6S | 主要对氢气敏感 Mainly sensitive to hydrogen |
| R5 | W5C | 主要检测烷烃、芳香型化合物,极性很小的化合物 It mainly detects alkanes,aromatic compounds,and compounds with low polarity |
| R6 | W1S | 对甲烷敏感,灵敏度大 High sensitivity to methane |
| R7 | W1W | 主要对硫化物敏感。另外,对很多的萜烯类和有机硫化物也都很敏感 Mainly sensitive to sulfides. In addition,it is also sensitive to many terpenes and organic sulfides |
| R8 | W2S | 对乙醇灵敏,对羰基也都有响应 Sensitive to ethanol and responsive to carbonyl groups |
| R9 | W2W | 对芳香成分和有机硫化物敏感 Sensitive to aromatic components and organic sulfides |
| R10 | W3S | 用于烷烃高浓度检测,对甲烷非常敏感 Used for high concentration detection of alkanes,very sensitive to methane |
| 物候期 Phenological period | GABA/ (mmol · L-1) | 叶绿素a Chlorophyll a | 叶绿素b Chlorophyll b | 类胡萝卜素 Carotinoid | 总叶绿素 Total chlorophyll |
|---|---|---|---|---|---|
| 开花期 Flowering period | 0(对照Control) | 1.58 ± 0.04 c | 0.57 ± 0.09 b | 0.37 ± 0.05 b | 2.14 ± 0.05 d |
| 5 | 1.85 ± 0.07 b | 0.54 ± 0.07 b | 0.43 ± 0.02 a | 2.39 ± 0.10 c | |
| 10 | 2.27 ± 0.14 a | 0.77 ± 0.05 a | 0.45 ± 0.01 a | 3.04 ± 0.13 a | |
| 15 | 2.00 ± 0.10 b | 0.67 ± 0.04 ab | 0.43 ± 0.03 a | 2.67 ± 0.07 b | |
| 20 | 1.81 ± 0.07 b | 0.72 ± 0.04 a | 0.44 ± 0.01 a | 2.53 ± 0.05 bc | |
| 坐果期 Fruiting period | 0(对照Control) | 1.99 ± 0.07 c | 0.75 ± 0.07 b | 0.45 ± 0.01 c | 2.74 ± 0.13 c |
| 5 | 2.19 ± 0.06 b | 0.81 ± 0.10 ab | 0.52 ± 0.04 b | 3.00 ± 0.16 bc | |
| 10 | 2.54 ± 0.09 a | 1.03 ± 0.14 a | 0.58 ± 0.01 a | 3.57 ± 0.23 a | |
| 15 | 2.44 ± 0.05 a | 0.95 ± 0.09 ab | 0.56 ± 0.02 ab | 3.39 ± 0.15 ab | |
| 20 | 2.24 ± 0.11 b | 0.87 ± 0.06 ab | 0.55 ± 0.01 ab | 3.11 ± 0.15 bc | |
| 膨大期 Expansion period | 0(对照Control) | 2.21 ± 0.05 c | 0.89 ± 0.05 b | 0.48 ± 0.02 b | 3.10 ± 0.06 d |
| 5 | 2.44 ± 0.02 b | 1.01 ± 0.08 b | 0.52 ± 0.07 ab | 3.45 ± 0.05 c | |
| 10 | 2.70 ± 0.05 a | 1.29 ± 0.05 a | 0.59 ± 0.02 a | 4.00 ± 0.05 a | |
| 15 | 2.49 ± 0.06 b | 1.18 ± 0.05 a | 0.58 ± 0.05 a | 3.67 ± 0.04 b | |
| 20 | 2.49 ± 0.04 b | 0.97 ± 0.05 b | 0.53 ± 0.01 ab | 3.47 ± 0.10 c | |
| 转色期 Veraison period | 0(对照Control) | 2.33 ± 0.08 c | 1.03 ± 0.12 c | 0.51 ± 0.01 c | 3.36 ± 0.09 d |
| 5 | 2.56 ± 0.04 b | 1.20 ± 0.07 abc | 0.57 ± 0.01 b | 3.76 ± 0.11 c | |
| 10 | 2.84 ± 0.06 a | 1.31 ± 0.02 a | 0.63 ± 0.02 a | 4.15 ± 0.04 a | |
| 15 | 2.78 ± 0.04 a | 1.26 ± 0.08 ab | 0.59 ± 0.04 ab | 4.04 ± 0.06 ab | |
| 20 | 2.75 ± 0.05 a | 1.11 ± 0.08 bc | 0.57 ± 0.01 b | 3.86 ± 0.13 bc | |
| 成熟期 Maturity period | 0(对照Control) | 1.85 ± 0.15 d | 0.88 ± 0.02 c | 0.50 ± 0.01 b | 2.73 ± 0.15 c |
| 5 | 2.24 ± 0.09 bc | 1.01 ± 0.09 bc | 0.56 ± 0.04 a | 3.24 ± 0.02 b | |
| 10 | 2.57 ± 0.04 a | 1.20 ± 0.01 a | 0.57 ± 0.02 a | 3.77 ± 0.03 a | |
| 15 | 2.45 ± 0.13 ab | 1.12 ± 0.06 ab | 0.55 ± 0.03 ab | 3.57 ± 0.18 a | |
| 20 | 2.09 ± 0.12 c | 0.96 ± 0.10 c | 0.52 ± 0.02 ab | 3.06 ± 0.21 b |
表2 外源GABA对‘蛇龙珠’葡萄叶片叶绿素a、叶绿素b、类胡萝卜素、总叶绿素含量的影响
Table 2 Effects of exogenous GABA on the contents of chlorophyll a,chlorophyll b,carotenoid and total chlorophyll in ‘Cabernet Gernischt’grape leaves (mg · g-1)
| 物候期 Phenological period | GABA/ (mmol · L-1) | 叶绿素a Chlorophyll a | 叶绿素b Chlorophyll b | 类胡萝卜素 Carotinoid | 总叶绿素 Total chlorophyll |
|---|---|---|---|---|---|
| 开花期 Flowering period | 0(对照Control) | 1.58 ± 0.04 c | 0.57 ± 0.09 b | 0.37 ± 0.05 b | 2.14 ± 0.05 d |
| 5 | 1.85 ± 0.07 b | 0.54 ± 0.07 b | 0.43 ± 0.02 a | 2.39 ± 0.10 c | |
| 10 | 2.27 ± 0.14 a | 0.77 ± 0.05 a | 0.45 ± 0.01 a | 3.04 ± 0.13 a | |
| 15 | 2.00 ± 0.10 b | 0.67 ± 0.04 ab | 0.43 ± 0.03 a | 2.67 ± 0.07 b | |
| 20 | 1.81 ± 0.07 b | 0.72 ± 0.04 a | 0.44 ± 0.01 a | 2.53 ± 0.05 bc | |
| 坐果期 Fruiting period | 0(对照Control) | 1.99 ± 0.07 c | 0.75 ± 0.07 b | 0.45 ± 0.01 c | 2.74 ± 0.13 c |
| 5 | 2.19 ± 0.06 b | 0.81 ± 0.10 ab | 0.52 ± 0.04 b | 3.00 ± 0.16 bc | |
| 10 | 2.54 ± 0.09 a | 1.03 ± 0.14 a | 0.58 ± 0.01 a | 3.57 ± 0.23 a | |
| 15 | 2.44 ± 0.05 a | 0.95 ± 0.09 ab | 0.56 ± 0.02 ab | 3.39 ± 0.15 ab | |
| 20 | 2.24 ± 0.11 b | 0.87 ± 0.06 ab | 0.55 ± 0.01 ab | 3.11 ± 0.15 bc | |
| 膨大期 Expansion period | 0(对照Control) | 2.21 ± 0.05 c | 0.89 ± 0.05 b | 0.48 ± 0.02 b | 3.10 ± 0.06 d |
| 5 | 2.44 ± 0.02 b | 1.01 ± 0.08 b | 0.52 ± 0.07 ab | 3.45 ± 0.05 c | |
| 10 | 2.70 ± 0.05 a | 1.29 ± 0.05 a | 0.59 ± 0.02 a | 4.00 ± 0.05 a | |
| 15 | 2.49 ± 0.06 b | 1.18 ± 0.05 a | 0.58 ± 0.05 a | 3.67 ± 0.04 b | |
| 20 | 2.49 ± 0.04 b | 0.97 ± 0.05 b | 0.53 ± 0.01 ab | 3.47 ± 0.10 c | |
| 转色期 Veraison period | 0(对照Control) | 2.33 ± 0.08 c | 1.03 ± 0.12 c | 0.51 ± 0.01 c | 3.36 ± 0.09 d |
| 5 | 2.56 ± 0.04 b | 1.20 ± 0.07 abc | 0.57 ± 0.01 b | 3.76 ± 0.11 c | |
| 10 | 2.84 ± 0.06 a | 1.31 ± 0.02 a | 0.63 ± 0.02 a | 4.15 ± 0.04 a | |
| 15 | 2.78 ± 0.04 a | 1.26 ± 0.08 ab | 0.59 ± 0.04 ab | 4.04 ± 0.06 ab | |
| 20 | 2.75 ± 0.05 a | 1.11 ± 0.08 bc | 0.57 ± 0.01 b | 3.86 ± 0.13 bc | |
| 成熟期 Maturity period | 0(对照Control) | 1.85 ± 0.15 d | 0.88 ± 0.02 c | 0.50 ± 0.01 b | 2.73 ± 0.15 c |
| 5 | 2.24 ± 0.09 bc | 1.01 ± 0.09 bc | 0.56 ± 0.04 a | 3.24 ± 0.02 b | |
| 10 | 2.57 ± 0.04 a | 1.20 ± 0.01 a | 0.57 ± 0.02 a | 3.77 ± 0.03 a | |
| 15 | 2.45 ± 0.13 ab | 1.12 ± 0.06 ab | 0.55 ± 0.03 ab | 3.57 ± 0.18 a | |
| 20 | 2.09 ± 0.12 c | 0.96 ± 0.10 c | 0.52 ± 0.02 ab | 3.06 ± 0.21 b |
图1 外源GABA对‘蛇龙珠’葡萄叶片可溶性糖和淀粉含量的影响 不同小写字母表示相同物候期不同处理间差异显著(P < 0.05)。
Fig. 1 Effects of exogenous GABA on soluble sugar and starch content in leaves of‘Cabernet Sauvignon’grape Different lowercase letters indicate that there are significant differences between different treatments in the same phenological period at 0.05 level.
图 2 GABA对葡萄果实可溶性总糖及糖组分的影响 不同小写字母表示不同处理间差异显著(P < 0.05)。下同。
Fig. 2 Effect of GABA on total soluble sugars and sugar component grape fruit Different lowercase letters indicate significant differences between treatments at 0.05 level. The same below.
| 种类 Variety | 化合物 Compound | GABA/(mmol · L-1) | |||||||||
|---|---|---|---|---|---|---|---|---|---|---|---|
| 0(对照 Control) | 5 | 10 | 15 | 20 | |||||||
| 醛类 | 己醛 Hexanal | 1 895.75 ± 83.31 c | 2 519.73 ± 62.45 b | 2 684.39 ± 77.21 a | 2 668.31 ± 19.03 a | 2 488.53 ± 68.68 b | |||||
| Aldehydes | 2-己烯醛 2-Hexenal | 282.09 ± 9.29 e | 432.87 ± 6.12 d | 1 126.38 ± 47.18 a | 675.26 ± 50.58 b | 583.36 ± 8.61 c | |||||
| (E,E)-2,4-己二烯醛 (E,E)-2,4-Hexadienal | 268.73 ± 50.57 a | — | — | — | — | ||||||
| 壬醛 Nonanal | 79.16 ± 2.53 c | 130.09 ± 17.44 b | 197.27 ± 7.39 a | 184.79 ± 16.10 a | 186.90 ± 5.58 a | ||||||
| 反,反-2,4-庚二烯醛 trans,trans-2,4-Heptadienal | 15.53 ± 2.01 b | 12.86 ± 0.47 b | 18.73 ± 2.31 a | 15.42 ± 0.49 b | 21.53 ± 1.58 a | ||||||
| 苯乙醛 Phenyl acetaldehyde | 67.69 ± 4.19 a | 53.79 ± 4.23 b | 38.07 ± 3.96 c | 37.03 ± 4.28 c | 43.18 ± 1.42 c | ||||||
| 肉豆蔻醛 Myristaldehyde | 120.72 ± 3.60 d | 146.69 ± 0.63 c | 260.04 ± 18.37 a | 162.86 ± 3.36 c | 192.86 ± 13.36 b | ||||||
| (E,E)-2,4-壬二烯醛 (E, E)-2,4-Nonadienal | 17.43 ± 2.47 a | 2.75 ± 0.08 b | — | — | — | ||||||
| 种类 Kind | 8 | 7 | 6 | 6 | 6 | ||||||
| 总和 Sum | 2 747.10 d | 3 298.78 c | 4 324.89 a | 3 743.67 b | 3 516.37 bc | ||||||
| 醇类 Alcohols | 香茅醇 Citronellol | 43.18 ± 1.42 c | 53.46 ± 0.72 ab | 60.97 ± 3.98 a | 58.07 ± 6.30 ab | 52.26 ± 6.01 b | |||||
| 正己醇 N-hexanol | 451.04 ± 5.14 c | 500.46 ± 9.53 bc | 725.06 ± 44.45 a | 520.65 ± 6.08 b | 520.85 ± 41.23 b | ||||||
| 异戊醇 Isoamyl alcohol | 630.73 ± 16.15 b | 653.46 ± 0.72 a | 667.63 ± 3.06 a | 658.07 ± 6.30 a | 652.26 ± 6.01 a | ||||||
| 顺-3-己烯-1-醇 cis-3-Hexen-1-ol | — | 37.93 ± 2.15 c | 52.46 ± 2.33 a | 49.26 ± 0.39 b | 39.93 ± 1.40 c | ||||||
| 苯甲醇 Benzyl alcohol | — | 44.76 ± 1.94 b | 51.33 ± 2.24 a | 47.03 ± 3.77 ab | 45.62 ± 3.86 b | ||||||
| 正辛醇 N-octanol | 114.07 ± 15.53 d | 148.56 ± 7.88 c | 314.31 ± 21.72 a | 232.97 ± 1.55 b | 291.12 ± 7.86 a | ||||||
| 苯乙醇 Phenylethyl alcohol | — | 85.46 ± 3.11 b | 95.29 ± 5.87 a | 89.12 ± 4.66 ab | 74.13 ± 0.77 c | ||||||
| 种类 Kind | 4 | 7 | 7 | 7 | 7 | ||||||
| 总和 Sum | 1 239.02 d | 1 524.08 c | 1 967.05 a | 1 655.18 b | 1 676.18 b | ||||||
| 酮类 Ketones | 3-羟基-2-丁酮 Acetoin | — | — | 138.05 ± 6.80 b | 251.34 ± 4.23 a | 106.30 ± 5.38 c | |||||
| 仲辛酮 2-Octanone | 97.79 ± 7.93 a | 60.52 ± 0.14 b | 50.72 ± 1.52 c | 55.18 ± 4.14 bc | 27.79 ± 2.35 d | ||||||
| β-紫罗酮 β-Ionone | 19.07 ± 1.70 b | 25.23 ± 4.10 a | 21.36 ± 0.90 ab | 18.81 ± 3.14 b | — | ||||||
| 种类 Kind | 2 | 2 | 3 | 3 | 2 | ||||||
| 总和 Sum | 116.86 d | 85.75 e | 210.13 b | 325.33 a | 134.09 c | ||||||
| 酸类Acids | 草酸 Oxalic acid | 147.90 ± 6.88 d | 293.27 ± 30.64 c | 398.21 ± 6.41 a | 363.32 ± 3.00 b | 341.48 ± 6.91 b | |||||
| 酯类Esters | 正己酸乙酯 Ethyl caproate | 493.27 ± 30.64 b | 530.48 ± 34.51 b | 623.81 ± 6.11 a | 598.21 ± 6.41 a | 627.79 ± 2.35 a | |||||
| 烷烃类 Alkanes | 正十二烷 N-dodecane | 40.80 ± 2.07 a | 41.00 ± 3.84 a | 42.14 ± 3.41 a | 31.96 ± 1.64 b | 23.49 ± 2.96 c | |||||
| 十三烷 Tridecane | 64.40 ± 0.53 a | 57.02 ± 10.30 a | 56.98 ± 4.07 a | 57.04 ± 1.41 a | 43.77 ± 3.33 b | ||||||
| 十四烷 Tetradecane | 208.36 ± 19.69 e | 241.90 ± 16.42 d | 312.77 ± 15.24 b | 354.80 ± 1.16 a | 273.23 ± 15.37 c | ||||||
| 正十五烷 N-pentadecane | 114.76 ± 10.01 d | 151.90 ± 2.90 c | 208.36 ± 19.69 b | 241.90 ± 16.42 a | 168.85 ± 14.10 c | ||||||
| 正十六烷 N-hexadecane | — | — | 69.52 ± 0.32c | 93.94 ± 4.14b | 160.31 ± 27.74a | ||||||
| 二十二烷 Docosane | 702.18 ± 55.33 e | 814.76 ± 10.01 d | 931.71 ± 20.71 c | 1 065.43 ± 89.63 b | 1 218.76 ± 10.03 a | ||||||
| 正二十一烷 N-heneicosane | — | 264.80 ± 11.02 d | 293.65 ± 4.22 c | 585.18 ± 11.13 a | 485.18 ± 11.13 b | ||||||
| 二十五烷 Pentacosane | 60.42 ± 2.18 a | — | — | — | — | ||||||
| 正二十六烷 N-hexacosane | 19.07 ± 1.70 b | 19.90 ± 0.97 b | 21.36 ± 0.90 ab | 25.23 ± 4.10 a | 23.49 ± 2.96 ab | ||||||
| 三十一烷 Hentriacontane | 51.12 ± 6.80 d | 60.42 ± 2.18 c | 72.36 ± 5.77 b | 81.36 ± 0.90 a | 75.23 ± 4.10 ab | ||||||
| 种类 Kind | 8 | 8 | 9 | 9 | 9 | ||||||
| 总和 Sum | 1 261.12 d | 1 651.69 c | 2 008.87 b | 2 536.83 a | 2 472.31 a | ||||||
| 酚类 Phenols | 2,6-二叔丁基-4-甲基苯酚 2,6-Di-tert-butyl-4-methylphenol | 609.49 ± 13.61 c | 693.15 ± 7.28 ab | 733.86 ± 69.52 a | 739.78 ± 28.66 a | 652.26 ± 46.10 bc | |||||
| 萜烯类 Terpenes | 石竹素 Caryophyllin | — | — | — | — | 7.05 ± 0.49 a | |||||
| 种类 Kind | 25 | 27 | 28 | 28 | 28 | ||||||
| 总和 Sum | 6 614.76 c | 8 077.19 b | 10 266.82 a | 9 962.33 a | 9 427.53 ab | ||||||
表3 不同浓度外源GABA处理的‘蛇龙珠’葡萄果实香气组分的含量
Table 3 Effect of exogenous GABA on aroma volatiles of‘Cabernet Gernischt’grape berries (μg · kg-1)
| 种类 Variety | 化合物 Compound | GABA/(mmol · L-1) | |||||||||
|---|---|---|---|---|---|---|---|---|---|---|---|
| 0(对照 Control) | 5 | 10 | 15 | 20 | |||||||
| 醛类 | 己醛 Hexanal | 1 895.75 ± 83.31 c | 2 519.73 ± 62.45 b | 2 684.39 ± 77.21 a | 2 668.31 ± 19.03 a | 2 488.53 ± 68.68 b | |||||
| Aldehydes | 2-己烯醛 2-Hexenal | 282.09 ± 9.29 e | 432.87 ± 6.12 d | 1 126.38 ± 47.18 a | 675.26 ± 50.58 b | 583.36 ± 8.61 c | |||||
| (E,E)-2,4-己二烯醛 (E,E)-2,4-Hexadienal | 268.73 ± 50.57 a | — | — | — | — | ||||||
| 壬醛 Nonanal | 79.16 ± 2.53 c | 130.09 ± 17.44 b | 197.27 ± 7.39 a | 184.79 ± 16.10 a | 186.90 ± 5.58 a | ||||||
| 反,反-2,4-庚二烯醛 trans,trans-2,4-Heptadienal | 15.53 ± 2.01 b | 12.86 ± 0.47 b | 18.73 ± 2.31 a | 15.42 ± 0.49 b | 21.53 ± 1.58 a | ||||||
| 苯乙醛 Phenyl acetaldehyde | 67.69 ± 4.19 a | 53.79 ± 4.23 b | 38.07 ± 3.96 c | 37.03 ± 4.28 c | 43.18 ± 1.42 c | ||||||
| 肉豆蔻醛 Myristaldehyde | 120.72 ± 3.60 d | 146.69 ± 0.63 c | 260.04 ± 18.37 a | 162.86 ± 3.36 c | 192.86 ± 13.36 b | ||||||
| (E,E)-2,4-壬二烯醛 (E, E)-2,4-Nonadienal | 17.43 ± 2.47 a | 2.75 ± 0.08 b | — | — | — | ||||||
| 种类 Kind | 8 | 7 | 6 | 6 | 6 | ||||||
| 总和 Sum | 2 747.10 d | 3 298.78 c | 4 324.89 a | 3 743.67 b | 3 516.37 bc | ||||||
| 醇类 Alcohols | 香茅醇 Citronellol | 43.18 ± 1.42 c | 53.46 ± 0.72 ab | 60.97 ± 3.98 a | 58.07 ± 6.30 ab | 52.26 ± 6.01 b | |||||
| 正己醇 N-hexanol | 451.04 ± 5.14 c | 500.46 ± 9.53 bc | 725.06 ± 44.45 a | 520.65 ± 6.08 b | 520.85 ± 41.23 b | ||||||
| 异戊醇 Isoamyl alcohol | 630.73 ± 16.15 b | 653.46 ± 0.72 a | 667.63 ± 3.06 a | 658.07 ± 6.30 a | 652.26 ± 6.01 a | ||||||
| 顺-3-己烯-1-醇 cis-3-Hexen-1-ol | — | 37.93 ± 2.15 c | 52.46 ± 2.33 a | 49.26 ± 0.39 b | 39.93 ± 1.40 c | ||||||
| 苯甲醇 Benzyl alcohol | — | 44.76 ± 1.94 b | 51.33 ± 2.24 a | 47.03 ± 3.77 ab | 45.62 ± 3.86 b | ||||||
| 正辛醇 N-octanol | 114.07 ± 15.53 d | 148.56 ± 7.88 c | 314.31 ± 21.72 a | 232.97 ± 1.55 b | 291.12 ± 7.86 a | ||||||
| 苯乙醇 Phenylethyl alcohol | — | 85.46 ± 3.11 b | 95.29 ± 5.87 a | 89.12 ± 4.66 ab | 74.13 ± 0.77 c | ||||||
| 种类 Kind | 4 | 7 | 7 | 7 | 7 | ||||||
| 总和 Sum | 1 239.02 d | 1 524.08 c | 1 967.05 a | 1 655.18 b | 1 676.18 b | ||||||
| 酮类 Ketones | 3-羟基-2-丁酮 Acetoin | — | — | 138.05 ± 6.80 b | 251.34 ± 4.23 a | 106.30 ± 5.38 c | |||||
| 仲辛酮 2-Octanone | 97.79 ± 7.93 a | 60.52 ± 0.14 b | 50.72 ± 1.52 c | 55.18 ± 4.14 bc | 27.79 ± 2.35 d | ||||||
| β-紫罗酮 β-Ionone | 19.07 ± 1.70 b | 25.23 ± 4.10 a | 21.36 ± 0.90 ab | 18.81 ± 3.14 b | — | ||||||
| 种类 Kind | 2 | 2 | 3 | 3 | 2 | ||||||
| 总和 Sum | 116.86 d | 85.75 e | 210.13 b | 325.33 a | 134.09 c | ||||||
| 酸类Acids | 草酸 Oxalic acid | 147.90 ± 6.88 d | 293.27 ± 30.64 c | 398.21 ± 6.41 a | 363.32 ± 3.00 b | 341.48 ± 6.91 b | |||||
| 酯类Esters | 正己酸乙酯 Ethyl caproate | 493.27 ± 30.64 b | 530.48 ± 34.51 b | 623.81 ± 6.11 a | 598.21 ± 6.41 a | 627.79 ± 2.35 a | |||||
| 烷烃类 Alkanes | 正十二烷 N-dodecane | 40.80 ± 2.07 a | 41.00 ± 3.84 a | 42.14 ± 3.41 a | 31.96 ± 1.64 b | 23.49 ± 2.96 c | |||||
| 十三烷 Tridecane | 64.40 ± 0.53 a | 57.02 ± 10.30 a | 56.98 ± 4.07 a | 57.04 ± 1.41 a | 43.77 ± 3.33 b | ||||||
| 十四烷 Tetradecane | 208.36 ± 19.69 e | 241.90 ± 16.42 d | 312.77 ± 15.24 b | 354.80 ± 1.16 a | 273.23 ± 15.37 c | ||||||
| 正十五烷 N-pentadecane | 114.76 ± 10.01 d | 151.90 ± 2.90 c | 208.36 ± 19.69 b | 241.90 ± 16.42 a | 168.85 ± 14.10 c | ||||||
| 正十六烷 N-hexadecane | — | — | 69.52 ± 0.32c | 93.94 ± 4.14b | 160.31 ± 27.74a | ||||||
| 二十二烷 Docosane | 702.18 ± 55.33 e | 814.76 ± 10.01 d | 931.71 ± 20.71 c | 1 065.43 ± 89.63 b | 1 218.76 ± 10.03 a | ||||||
| 正二十一烷 N-heneicosane | — | 264.80 ± 11.02 d | 293.65 ± 4.22 c | 585.18 ± 11.13 a | 485.18 ± 11.13 b | ||||||
| 二十五烷 Pentacosane | 60.42 ± 2.18 a | — | — | — | — | ||||||
| 正二十六烷 N-hexacosane | 19.07 ± 1.70 b | 19.90 ± 0.97 b | 21.36 ± 0.90 ab | 25.23 ± 4.10 a | 23.49 ± 2.96 ab | ||||||
| 三十一烷 Hentriacontane | 51.12 ± 6.80 d | 60.42 ± 2.18 c | 72.36 ± 5.77 b | 81.36 ± 0.90 a | 75.23 ± 4.10 ab | ||||||
| 种类 Kind | 8 | 8 | 9 | 9 | 9 | ||||||
| 总和 Sum | 1 261.12 d | 1 651.69 c | 2 008.87 b | 2 536.83 a | 2 472.31 a | ||||||
| 酚类 Phenols | 2,6-二叔丁基-4-甲基苯酚 2,6-Di-tert-butyl-4-methylphenol | 609.49 ± 13.61 c | 693.15 ± 7.28 ab | 733.86 ± 69.52 a | 739.78 ± 28.66 a | 652.26 ± 46.10 bc | |||||
| 萜烯类 Terpenes | 石竹素 Caryophyllin | — | — | — | — | 7.05 ± 0.49 a | |||||
| 种类 Kind | 25 | 27 | 28 | 28 | 28 | ||||||
| 总和 Sum | 6 614.76 c | 8 077.19 b | 10 266.82 a | 9 962.33 a | 9 427.53 ab | ||||||
图4 外源GABA处理 葡萄‘蛇龙珠’果实香气物质的聚类热图 图中所用数据为香气物质原始值。图例中的颜色为归一化处理后的香气含量,蓝色表示含量较低,红色表示较高。
Fig. 4 Cluster heat map of volatile aroma components of‘Cabernet Gernischt’fruit treated with exogenous GABA The data used in the figure are the original values of aroma volatiles. The color in the legend is the aroma content after normalization. Blue indicates a lower content and red indicates a higher content.
| 指标 Index | 醛类 Aldehydes | 醇类 Alcohols | 酮类 Ketones | 酸类 Acids | 酯类 Esters | 烷烃类 Alkanes | 酚类 Phenols | 可溶性糖(叶) Soluble sugar (leaf) | 淀粉(叶) Starch (leaf) | 草酸 Oxalic acid | |
|---|---|---|---|---|---|---|---|---|---|---|---|
| 醛类 Aldehydes | 1 | ||||||||||
| 醇类 Alcohols | 0.985** | 1 | |||||||||
| 酮类 Ketones | 0.570 | 0.452 | 1 | ||||||||
| 酸类 Acids | 0.935* | 0.946* | 0.553 | 1 | |||||||
| 酯类 Esters | 0.844 | 0.886* | 0.511 | 0.905* | 1 | ||||||
| 烷烃类 Alkanes | 0.615 | 0.633 | 0.651 | 0.801 | 0.874 | 1 | |||||
| 酚类 Phenols | 0.844 | 0.772 | 0.705 | 0.848 | 0.584 | 0.562 | 1 | ||||
| 可溶性糖(叶) Soluble sugar(leaf) | 0.834 | 0.762 | 0.686 | 0.840 | 0.566 | 0.545 | 0.999** | 1 | |||
| 淀粉(叶)Starch(leaf) | -0.039 | -0.053 | -0.452 | -0.126 | -0.473 | -0.624 | 0.154 | 0.183 | 1 | ||
| 草酸 Oxalic acid | 0.899* | 0.816 | 0.709 | 0.728 | 0.600 | 0.387 | 0.836 | 0.824 | 0.027 | 1 | |
| 酒石酸 Tartaric acid | 0.958* | 0.902* | 0.609 | 0.835 | 0.663 | 0.438 | 0.898* | 0.891* | 0.136 | 0.027 | |
| 莽草酸 Shikimic acid | 0.843 | 0.884* | 0.292 | 0.945* | 0.787 | 0.666 | 0.784 | 0.787 | 0.114 | 0.136 | |
| 富马酸 Fumaric acid | 0.887* | 0.837 | 0.482 | 0.667 | 0.578 | 0.238 | 0.695 | 0.684 | 0.120 | 0.114 | |
| 柠檬酸 Citric acid | 0.962** | 0.907* | 0.728 | 0.848 | 0.774 | 0.578 | 0.842 | 0.827 | -0.129 | 0.120 | |
| α-酮戊二酸 α-Ketoglutaric acid | 0.749 | 0.771 | 0.086 | 0.766 | 0.487 | 0.284 | 0.757 | 0.769 | 0.528 | -0.129 | |
| 苹果酸 Malic acid | 0.900* | 0.826 | 0.596 | 0.763 | 0.538 | 0.331 | 0.910* | 0.906* | 0.255 | 0.528 | |
| 可溶性糖 Soluble sugar | 0.926* | 0.934* | 0.296 | 0.883* | 0.689 | 0.427 | 0.822 | 0.824 | 0.297 | 0.255 | |
| 葡萄糖 Glucose | 0.976** | 0.933* | 0.734 | 0.925* | 0.832 | 0.686 | 0.892* | 0.879* | -0.144 | 0.297 | |
| 果糖 Fructose | 0.718 | 0.697 | 0.093 | 0.583 | 0.291 | -0.015 | 0.704 | 0.715 | 0.663 | -0.144 | |
| 蔗糖 Sucrose | 0.936* | 0.878 | 0.747 | 0.805 | 0.770 | 0.570 | 0.788 | 0.770 | -0.203 | 0.663 | |
| 指标 Index | 酒石酸 Tartaric acid | 莽草酸 Shikimic acid | 富马酸 Fumaric acid | 柠檬酸 Citric acid | α-酮戊二酸 α-Ketoglutaric acid | 苹果酸 Malic acid | 可溶性糖 Soluble sugar | 葡萄糖 Glucose | 果糖 Fructose | 蔗糖 Sucrose | |
| 酒石酸 Tartaric acid | 1 | ||||||||||
| 莽草酸 Shikimic acid | 0.969** | 1 | |||||||||
| 富马酸 Fumaric acid | 0.568 | 0.741 | 1 | ||||||||
| 柠檬酸 Citric acid | 0.953* | 0.938* | 0.549 | 1 | |||||||
| α-酮戊二酸 α-Ketoglutaric acid | 0.970** | 0.964** | 0.684 | 0.920* | 1 | ||||||
| 苹果酸 Malic acid | 0.567 | 0.748 | 0.898* | 0.600 | 0.588 | 1 | |||||
| 可溶性糖 Soluble sugar | 0.961** | 0.986** | 0.684 | 0.918* | 0.920* | 0.750 | 1 | ||||
| 葡萄糖 Glucose | 0.776 | 0.905* | 0.914* | 0.809 | 0.814 | 0.939* | 0.876 | 1 | |||
| 果糖 Fructose | 0.925* | 0.951* | 0.783 | 0.852 | 0.983** | 0.652 | 0.901* | 0.847 | 1 | ||
| 蔗糖 Sucrose | 0.703 | 0.812 | 0.673 | 0.776 | 0.634 | 0.901* | 0.849 | 0.888* | 0.621 | 1 | |
表4 葡萄叶片可溶性糖、淀粉及果实糖酸组分含量与香气物质的相关系数
Table 4 The correlation coefficient between the content of soluble sugar,starch and sugar acid components in grape leaves and aroma substances
| 指标 Index | 醛类 Aldehydes | 醇类 Alcohols | 酮类 Ketones | 酸类 Acids | 酯类 Esters | 烷烃类 Alkanes | 酚类 Phenols | 可溶性糖(叶) Soluble sugar (leaf) | 淀粉(叶) Starch (leaf) | 草酸 Oxalic acid | |
|---|---|---|---|---|---|---|---|---|---|---|---|
| 醛类 Aldehydes | 1 | ||||||||||
| 醇类 Alcohols | 0.985** | 1 | |||||||||
| 酮类 Ketones | 0.570 | 0.452 | 1 | ||||||||
| 酸类 Acids | 0.935* | 0.946* | 0.553 | 1 | |||||||
| 酯类 Esters | 0.844 | 0.886* | 0.511 | 0.905* | 1 | ||||||
| 烷烃类 Alkanes | 0.615 | 0.633 | 0.651 | 0.801 | 0.874 | 1 | |||||
| 酚类 Phenols | 0.844 | 0.772 | 0.705 | 0.848 | 0.584 | 0.562 | 1 | ||||
| 可溶性糖(叶) Soluble sugar(leaf) | 0.834 | 0.762 | 0.686 | 0.840 | 0.566 | 0.545 | 0.999** | 1 | |||
| 淀粉(叶)Starch(leaf) | -0.039 | -0.053 | -0.452 | -0.126 | -0.473 | -0.624 | 0.154 | 0.183 | 1 | ||
| 草酸 Oxalic acid | 0.899* | 0.816 | 0.709 | 0.728 | 0.600 | 0.387 | 0.836 | 0.824 | 0.027 | 1 | |
| 酒石酸 Tartaric acid | 0.958* | 0.902* | 0.609 | 0.835 | 0.663 | 0.438 | 0.898* | 0.891* | 0.136 | 0.027 | |
| 莽草酸 Shikimic acid | 0.843 | 0.884* | 0.292 | 0.945* | 0.787 | 0.666 | 0.784 | 0.787 | 0.114 | 0.136 | |
| 富马酸 Fumaric acid | 0.887* | 0.837 | 0.482 | 0.667 | 0.578 | 0.238 | 0.695 | 0.684 | 0.120 | 0.114 | |
| 柠檬酸 Citric acid | 0.962** | 0.907* | 0.728 | 0.848 | 0.774 | 0.578 | 0.842 | 0.827 | -0.129 | 0.120 | |
| α-酮戊二酸 α-Ketoglutaric acid | 0.749 | 0.771 | 0.086 | 0.766 | 0.487 | 0.284 | 0.757 | 0.769 | 0.528 | -0.129 | |
| 苹果酸 Malic acid | 0.900* | 0.826 | 0.596 | 0.763 | 0.538 | 0.331 | 0.910* | 0.906* | 0.255 | 0.528 | |
| 可溶性糖 Soluble sugar | 0.926* | 0.934* | 0.296 | 0.883* | 0.689 | 0.427 | 0.822 | 0.824 | 0.297 | 0.255 | |
| 葡萄糖 Glucose | 0.976** | 0.933* | 0.734 | 0.925* | 0.832 | 0.686 | 0.892* | 0.879* | -0.144 | 0.297 | |
| 果糖 Fructose | 0.718 | 0.697 | 0.093 | 0.583 | 0.291 | -0.015 | 0.704 | 0.715 | 0.663 | -0.144 | |
| 蔗糖 Sucrose | 0.936* | 0.878 | 0.747 | 0.805 | 0.770 | 0.570 | 0.788 | 0.770 | -0.203 | 0.663 | |
| 指标 Index | 酒石酸 Tartaric acid | 莽草酸 Shikimic acid | 富马酸 Fumaric acid | 柠檬酸 Citric acid | α-酮戊二酸 α-Ketoglutaric acid | 苹果酸 Malic acid | 可溶性糖 Soluble sugar | 葡萄糖 Glucose | 果糖 Fructose | 蔗糖 Sucrose | |
| 酒石酸 Tartaric acid | 1 | ||||||||||
| 莽草酸 Shikimic acid | 0.969** | 1 | |||||||||
| 富马酸 Fumaric acid | 0.568 | 0.741 | 1 | ||||||||
| 柠檬酸 Citric acid | 0.953* | 0.938* | 0.549 | 1 | |||||||
| α-酮戊二酸 α-Ketoglutaric acid | 0.970** | 0.964** | 0.684 | 0.920* | 1 | ||||||
| 苹果酸 Malic acid | 0.567 | 0.748 | 0.898* | 0.600 | 0.588 | 1 | |||||
| 可溶性糖 Soluble sugar | 0.961** | 0.986** | 0.684 | 0.918* | 0.920* | 0.750 | 1 | ||||
| 葡萄糖 Glucose | 0.776 | 0.905* | 0.914* | 0.809 | 0.814 | 0.939* | 0.876 | 1 | |||
| 果糖 Fructose | 0.925* | 0.951* | 0.783 | 0.852 | 0.983** | 0.652 | 0.901* | 0.847 | 1 | ||
| 蔗糖 Sucrose | 0.703 | 0.812 | 0.673 | 0.776 | 0.634 | 0.901* | 0.849 | 0.888* | 0.621 | 1 | |
| [1] |
|
| [2] |
|
| [3] |
doi: 10.1016/j.foodchem.2014.01.003 pmid: 24518336 |
| [4] |
|
| [5] |
doi: 10.11882/j.issn.0254-5071.2022.05.001 |
|
曹炜玉, 路文鹏, 舒楠, 杨义明, 范书田. 2022. 葡萄酒风味物质及其影响因素研究进展. 中国酿造, 41 (5):1-7.
doi: 10.11882/j.issn.0254-5071.2022.05.001 |
|
| [6] |
doi: 10.1111/tpj.15200 pmid: 33595854 |
| [7] |
|
|
陈刚, 李胜. 2016. 植物生理学实验. 北京: 高等教育出版社:96.
|
|
| [8] |
|
|
程帅旗, 王丽娟, 高轶楠. 2023. 草莓果实香气物质研究进展. 山东农业科学院, 55 (1):157-164.
|
|
| [9] |
doi: 10.11882/j.issn.0254-5071.2022.04.007 |
|
陈璐, 石俊, 张晓蒙, 王妍凌, 张晶晶, 杨帆, 卢灏泽, 于佳俊, 薛洁. 2022. 酿酒葡萄品种及产区对贺兰山东麓葡萄酒香气质量的影响研究. 中国酿造, 41 (4):39-45.
doi: 10.11882/j.issn.0254-5071.2022.04.007 |
|
| [10] |
|
|
陈秀, 罗震宇, 张亚男, 杨雪珍, 余志汇, 向妙莲, 陈金印, 陈明. 2022. 外源GABA处理对采后靖安椪柑果实品质和保鲜效果的影响. 果树学报, 39 (4):652-661.
|
|
| [11] |
|
| [12] |
|
| [13] |
doi: 10.1093/jxb/ert035 pmid: 23408829 |
| [14] |
|
| [15] |
|
| [16] |
doi: 10.1007/s11694-020-00521-1 |
| [17] |
doi: 10.11869/j.issn.100-8551.2021.09.2044 |
|
冯雅岚, 尹飞, 徐柯, 贾晓艺, 周爽, 马超. 2021. 蔗糖代谢及信号转导在植物发育和逆境响应中的作用. 核农学报, 35 (9):2044-2055.
doi: 10.11869/j.issn.100-8551.2021.09.2044 |
|
| [18] |
|
| [19] |
doi: 10.1021/acs.jafc.8b04674 pmid: 30512945 |
| [20] |
|
|
贺雅娟, 马宗桓, 韦霞霞, 李玉梅, 李彦彪, 马维峰, 丁孙磊, 毛娟, 陈佰鸿. 2021. 黄土高原旱塬区不同品种苹果果实糖及有机酸含量比较分析. 食品工业科技, 42 (10):248-254.
|
|
| [21] |
|
|
华智锐, 崔行, 李小玲. 2022. 外源甜菜碱对盐胁迫下龙胆幼苗生理特性的影响. 江西农业学报, 34 (5):81-87.
|
|
| [22] |
|
|
李慧峰, 王海波, 李林光, 吕德国, 杨建明. 2011. 套袋对‘寒富’苹果果实香气成分的影响. 中国生态农业学报, 19 (4):843-847.
|
|
| [23] |
|
|
李彦彪, 马维峰, 贾进, 牟德生, 李生保, 毛娟. 2021. 河西走廊不同产地‘赤霞珠’酿酒葡萄果实品质评价. 西北植物学报, 41 (5):817-827.
|
|
| [24] |
doi: 10.16420/j.issn.0513-353x.2022-0057 |
|
李中瀚, 唐美玲, 郑秋玲, 刘明慧, 康慧, 高振, 杜远鹏. 2023. 聚乙烯编织物Coverlys TF150®覆盖对‘蜜光’葡萄果实品质的影响. 园艺学报, 50 (5):1073-1084.
doi: 10.16420/j.issn.0513-353x.2022-0057 |
|
| [25] |
|
| [26] |
|
|
潘静, 韩蕾. 2017. 葡萄叶片叶绿素含量测定方法比较. 西北园艺(综合),(6):58-60.
|
|
| [27] |
|
|
彭程, 陆育生, 常晓晓, 陈喆, 林志雄, 邱继水. 2021. 不同施肥方式对苹果桃园土壤养分及果实香气成分的影响. 广东农业科学, 48 (4):69-76.
|
|
| [28] |
|
|
彭丽丽, 姜卫兵, 韩健, 王明玉, 张斌斌, 马瑞娟. 2013. 去果(花)对不同成熟期桃叶片可溶性糖积累的影响. 江苏农业学报, 29 (4):857-863.
|
|
| [29] |
doi: 10.1016/j.foodchem.2014.05.144 pmid: 25038705 |
| [30] |
|
| [31] |
|
| [32] |
|
| [33] |
|
|
王明洁, 宋鹏慧, 鲁会玲, 梁文卫, 吕云波. 2021. 树形和叶幕形及花穗整形方式对‘无核白鸡心’葡萄果实品质的影响. 经济林研究, 39 (2):188-195.
|
|
| [34] |
|
| [35] |
|
| [36] |
|
|
王馨, 闫永庆, 殷媛, 刘威, 王贺, 季绍旭. 2019. 外源γ-氨基丁酸(GABA)对盐胁迫下西伯利亚白刺光合特性的影响. 江苏农业学报, 35 (5):1032-1039.
|
|
| [37] |
|
|
王泳超, 张颖蕾, 闫东良, 何灵芝, 李卓, 燕博文, 邵瑞鑫, 郭家萌, 杨青华. 2020. 干旱胁迫下γ-氨基丁酸保护玉米幼苗光合系统的生理响应. 草业学报, 29 (6):191-203.
doi: 10.11686/cyxb2019377 |
|
| [38] |
|
|
魏守辉, 肖雪梅, 钟源, 郁继华, 吕剑, 胡琳莉, 唐中祺, 柳帆红, 王舒亚. 2020. 日光温室不同时段补光对番茄果实品质及挥发性物质影响. 农业工程学报, 36 (8):188-196.
|
|
| [39] |
|
| [40] |
|
|
杨娜, 伍宏, 甘立军, 朱昌华. 2018. 叶喷γ-氨基丁酸对小麦产量和品质的影响. 中国粮油学报, 33 (3):8-20.
|
|
| [41] |
doi: 10.7506/spkx1002-6630-20180207-097 |
|
余欢, 管敬喜, 杨莹, 黄晓云, 成果, 谢太理, 谢林君. 2019. 7株野生葡萄酒酵母对‘桂葡3号’干白葡萄酒香气成分的影响. 食品科学, 40 (4):251-258.
doi: 10.7506/spkx1002-6630-20180207-097 |
|
| [42] |
doi: 10.16420/j.issn.0513-353x.2023-0083 |
|
张飞雪, 张书红, 马延东, 陈峰, 宋贤杰, 刘锐杰. 2023. TDZ、CPPU和GA3对‘阳光玫瑰’葡萄果实品质的影响. 园艺学报, 50 (12):2633-2640.
doi: 10.16420/j.issn.0513-353x.2023-0083 |
|
| [43] |
doi: 10.3390/molecules201219791 pmid: 26633351 |
| [44] |
|
|
张扬, 彭晶晶, 李坤一, 杨洁, 郭安鹊. 2023. 发酵前添加有机酸对‘西拉’红葡萄酒颜色和感官质量的影响. 食品与发酵工业, 49 (7):90-98.
doi: 10.13995/j.cnki.11-1802/ts.032226 |
|
| [45] |
doi: 10.7506/spkx1002-6630-20201010-077 |
|
张云峰, 陈凯, 李景明. 2021. HS-SPME-GC-MS法分析栽培架式对威代尔葡萄果实香气的影响. 食品科学, 42 (20):83-90.
|
|
| [46] |
|
| [47] |
|
|
周鹏辉. 2016. 蓬莱产区不同白色酿酒葡萄中酚类物质差异性研究. 酿酒, 43 (2):89-92.
|
| [1] | 杨敬辉, 许媛, 肖婷, 褚姝频, 刘吉祥, 姚克兵. 葡萄胶孢炭疽病菌复合种(Colletotrichum gloeosporioides species complexes)对嘧菌酯的抗药性研究[J]. 园艺学报, 2024, 51(8): 1906-1912. |
| [2] | 韩斌, 刘长江, 尹勇刚, 孙艳, 贾楠, 赵胜建, 郭紫娟, 李敏敏. 中晚熟鲜食葡萄新品种‘金光’[J]. 园艺学报, 2024, 51(8): 1977-1978. |
| [3] | 刘苗苗, 姚 锦, 包 敏, 楚言言, 王西平. 赤霉素诱导葡萄无核形成机理研究进展[J]. 园艺学报, 2024, 51(7): 1610-1622. |
| [4] | 张文静, 徐大勇, 吴倩琳, 杨佛, 信丙越, 曾昕, 李峰. 拮抗番茄灰霉病的贝莱斯芽孢杆菌XDY66基因组分析[J]. 园艺学报, 2024, 51(6): 1413-1425. |
| [5] | 马宗桓, 李玉梅, 韦霞霞, 李文芳, 陈佰鸿, 毛娟. 河西走廊不同产地‘美乐’葡萄品质及香气物质的差异分析[J]. 园艺学报, 2024, 51(5): 1083-1098. |
| [6] | 伍少福, 韩科峰, 吴良欢. 生物有机肥加专用肥对葡萄园土壤养分、微生物和产量的影响[J]. 园艺学报, 2024, 51(5): 1099-1112. |
| [7] | 杜易静, 刘文林, 乔月莲, 王莉, 安德志, 杜国强, 师校欣. ‘阳光玫瑰’葡萄试管苗热处理结合茎尖和腋芽培养脱毒技术研究[J]. 园艺学报, 2024, 51(4): 893-902. |
| [8] | 夏宏义, 刘巧, 彭家清, 吴伟, 龚林忠. ‘阳光玫瑰’葡萄避雨栽培f式树形对光合及果实品质的影响[J]. 园艺学报, 2024, 51(3): 560-570. |
| [9] | 王海霞, 蒋娅萍, 方艳, 杨学山, 祝霞. 外源水溶性β-葡聚糖对‘贵人香’葡萄果实糖苷酶及香气品质的影响[J]. 园艺学报, 2024, 51(3): 571-586. |
| [10] | 董晓南, 吕红梅, 赵立群, 何秉青, 张姣姣, 赵冰, 郭仰东, 张娜. SlMAPKKK43调控番茄对灰霉病的抗性[J]. 园艺学报, 2024, 51(2): 309-320. |
| [11] | 杨江山, 陈亚娟, 戴子博, 李斗, 邵璋, 金鑫, 王宇航, 王春恒. 黄腐酸钾对‘蛇龙珠’葡萄光合特性及果实品质的影响[J]. 园艺学报, 2024, 51(12): 2843-2856. |
| [12] | 王小龙, 邵学东, 张正文, 钟晓敏, 刘畅, 王志强, 王宝亮, 冀晓昊, 史祥宾, 王海波. 酿酒葡萄‘梅乐’植株和土壤营养水平与果实品质的关联性分析[J]. 园艺学报, 2024, 51(11): 2575-2593. |
| [13] | 孙雨桐, 刘德帅, 黄栩筝, 迟敬楠, 齐 迅, 姚文孔. 山葡萄VaJAZ9和VaCOI1基因的抗寒功能研究[J]. 园艺学报, 2024, 51(10): 2243-2254. |
| [14] | 麦斯乐, 王艳蒙, 朱学慧, 韩守安, 王 敏, 谢 辉, 杭林枫, 张 雯, . 冠菌素对‘火焰无核’葡萄内源激素及花色苷合成关键酶活性的影响[J]. 园艺学报, 2024, 51(10): 2413-2426. |
| [15] | 陈学森, 王楠, 彭福田, 毛志泉, 尹承苗, 姜远茂, 葛顺峰, 胡大刚, 李媛媛, 杜远鹏, 姚玉新, 张宗营. 中国重要落叶果树果实品质和熟期育种研究进展[J]. 园艺学报, 2024, 51(1): 8-26. |
| 阅读次数 | ||||||
|
全文 |
|
|||||
|
摘要 |
|
|||||
版权所有 © 2012 《园艺学报》编辑部 京ICP备10030308号-2 国际联网备案号 11010802023439
编辑部地址: 北京市海淀区中关村南大街12号中国农业科学院蔬菜花卉研究所 邮编: 100081
电话: 010-82109523 E-Mail: yuanyixuebao@126.com
技术支持:北京玛格泰克科技发展有限公司