园艺学报 ›› 2024, Vol. 51 ›› Issue (1): 103-120.doi: 10.16420/j.issn.0513-353x.2022-1214
王宇航1, 李斗1, 王春恒1, 金鑫1, 陈亚娟1, 戴子博1, 冯丽丹2, 杨江山1,*(
)
收稿日期:2023-03-10
修回日期:2023-11-11
出版日期:2024-01-25
发布日期:2024-01-16
通讯作者:
基金资助:
WANG Yuhang1, LI Dou1, WANG Chunheng1, JIN Xin1, CHENG Yajuan1, DAI Zibo1, FENG Lidan2, YANG Jiangshan1,*(
)
Received:2023-03-10
Revised:2023-11-11
Published:2024-01-25
Online:2024-01-16
摘要:
以12年生‘红地球’葡萄为试材,于6月上旬(叶龄22 d)开始分别叶面喷施200 μmol · L-1 DL-4–氯苯丙氨酸(CPA,褪黑素合成抑制剂)和50 ~ 200 μmol · L-1 褪黑素(MT),以蒸馏水作为对照,每30 d喷施1次,共喷施5次,定期取样测定叶片叶绿素含量及叶绿体、线粒体和细胞溶质中活性氧水平、超氧化物歧化酶(SOD)、过氧化物酶(POD)、过氧化氢酶(CAT)和抗坏血酸—谷胱甘肽(AsA–GSH)循环酶活性。结果表明:叶片发育至115 d,其叶绿素含量迅速降低,各亚细胞组分活性氧水平逐渐上升,抗氧化酶和AsA–GSH循环酶活性逐渐降低;亚细胞组分对比发现,叶片衰老过程中$\mathrm{O}_{2}^{\overline{·}}$水平在叶绿体组分中最高,H2O2水平在细胞溶质组分中最高。150 μmol·L-1 MT处理能显著降低各亚细胞组分中的$\mathrm{O}_{2}^{\overline{·}}$和H2O2水平,各亚细胞组分中SOD、POD和CAT活性显著提高,同时,显著提高了各亚细胞组分抗坏血酸过氧化物酶(APX)、抗坏 血酸氧化酶(AAO)、脱氢抗坏血酸还原酶(DHAR)、单脱氢抗坏血酸还原酶(MDHAR)和谷胱甘肽还原酶(GR)活性,各亚细胞组分AsA、DHA和GSH含量显著提高,显著提高叶片叶绿素a、叶绿素b及类胡萝卜素含量,从而延缓了叶片的衰老进程。CPA处理抑制了各亚细胞组分抗氧化酶和AsA–GSH循环酶活性,活性氧水平显著提高,叶绿素含量下降。综上所述,外源MT通过提高葡萄叶片中各亚细胞组分的SOD、POD、CAT活性和AsA–GSH循环酶活性,提高各亚细胞组分的AsA和GSH含量,增强叶片抗氧化能力,进而有效清除活性氧,延缓叶片的衰老。
王宇航, 李斗, 王春恒, 金鑫, 陈亚娟, 戴子博, 冯丽丹, 杨江山. 褪黑素对葡萄叶片发育衰老过程中亚细胞活性氧代谢的影响[J]. 园艺学报, 2024, 51(1): 103-120.
WANG Yuhang, LI Dou, WANG Chunheng, JIN Xin, CHENG Yajuan, DAI Zibo, FENG Lidan, YANG Jiangshan. The Effect of Melatonin on the Subcellular Reactive Oxygen Species Metabolism During Development and Senescence in Grape Leaves[J]. Acta Horticulturae Sinica, 2024, 51(1): 103-120.
| 处理/(μmol · L-1) Treatment | 叶龄/d Leaf age | 叶绿素a Chlorophyll a | 叶绿素b Chlorophyll b | 总叶绿素 Total chlorophyll | 类胡萝卜素 Carotenoid |
|---|---|---|---|---|---|
| 对照 | 25 | 1.73 ± 0.02 a(a) | 0.53 ± 0.01 c(b) | 2.26 ± 0.03 b(b) | 0.39 ± 0.01 a(a) |
| Control | 55 | 1.79 ± 0.01 bc(a) | 0.61 ± 0.01 b(a) | 2.40 ± 0.02 bc(a) | 0.36 ± 0.00 b(b) |
| 85 | 1.77 ± 0.03 d(a) | 0.47 ± 0.03 de(b) | 2.24 ± 0.03 d(b) | 0.41 ± 0.00 c(a) | |
| 115 | 1.49 ± 0.02 cd(b) | 0.48 ± 0.01 cd(b) | 1.97 ± 0.02 de(c) | 0.33 ± 0.01 cd(c) | |
| 145 | 1.20 ± 0.04 d(c) | 0.40 ± 0.03 d(c) | 1.60 ± 0.07 d(d) | 0.27 ± 0.01 c(d) | |
| 200 CPA | 25 | 1.75 ± 0.01 a(a) | 0.52 ± 0.01 c(a) | 2.27 ± 0.02 b(b) | 0.40 ± 0.01 a(a) |
| 55 | 1.69 ± 0.06 c(a) | 0.55 ± 0.03 b(a) | 2.25 ± 0.10 c(a) | 0.34 ± 0.01 b(b) | |
| 85 | 1.70 ± 0.04 d(a) | 0.43 ± 0.01 e(b) | 2.14 ± 0.04 d(ab) | 0.37 ± 0.01 d(a) | |
| 115 | 1.39 ± 0.02 d(b) | 0.45 ± 0.01 d(b) | 1.84 ± 0.03 e(c) | 0.31 ± 0.00 d(b) | |
| 145 | 1.09 ± 0.01 e(c) | 0.36 ± 0.01 d(c) | 1.46 ± 0.02 d(d) | 0.24 ± 0.00 d(c) | |
| 50 MT | 25 | 1.79 ± 0.02 a(b) | 0.59 ± 0.01 ab(b) | 2.38 ± 0.03 ab(b) | 0.38 ± 0.00 ab(b) |
| 55 | 1.93 ± 0.04 b(a) | 0.67 ± 0.02 b(a) | 2.60 ± 0.06 b(a) | 0.37 ± 0.00 b(bc) | |
| 85 | 1.92 ± 0.02 c(a) | 0.59 ± 0.03 cd(b) | 2.50 ± 0.05 c(ab) | 0.43 ± 0.01 bc(a) | |
| 115 | 1.53 ± 0.01 c(c) | 0.52 ± 0.01 bc(c) | 2.05 ± 0.01 cd(c) | 0.35 ± 0.01 bc(c) | |
| 145 | 1.32 ± 0.02 c(d) | 0.46 ± 0.00 c(c) | 1.79 ± 0.02 c(d) | 0.29 ± 0.00 b(d) | |
| 100 MT | 25 | 1.79 ± 0.03 a(c) | 0.64 ± 0.02 a(b) | 2.43 ± 0.05 a(c) | 0.35 ± 0.00 b(d) |
| 55 | 2.23 ± 0.05 a(a) | 0.80 ± 0.02 a(a) | 3.02 ± 0.07 a(a) | 0.43 ± 0.01 a(b) | |
| 85 | 2.13 ± 0.03 b(b) | 0.68 ± 0.06 bc(b) | 2.81 ± 0.08 b(b) | 0.46 ± 0.01 b(a) | |
| 115 | 1.68 ± 0.02 ab(d) | 0.53 ± 0.03 b(c) | 2.22 ± 0.04 b(d) | 0.39 ± 0.01 a(c) | |
| 145 | 1.50 ± 0.01 b(e) | 0.53 ± 0.01 b(c) | 2.03 ± 0.02 b(e) | 0.30 ± 0.00 a(e) | |
| 150 MT | 25 | 1.78 ± 0.01 a(b) | 0.60 ± 0.02 ab(b) | 2.37 ± 0.03 ab(b) | 0.38 ± 0.01 ab(c) |
| 55 | 2.22 ± 0.08 a(a) | 0.83 ± 0.07 a(a) | 3.05 ± 0.14 a(a) | 0.43 ± 0.01 a(b) | |
| 85 | 2.38 ± 0.06 a(a) | 0.86 ± 0.05 a(a) | 3.24 ± 0.10 a(a) | 0.52 ± 0.01 a(a) | |
| 115 | 1.78 ± 0.07 a(b) | 0.62 ± 0.02 a(b) | 2.40 ± 0.10 a(b) | 0.38 ± 0.02 ab(c) | |
| 145 | 1.59 ± 0.04 a(c) | 0.61 ± 0.02 a(b) | 2.20 ± 0.06 a(b) | 0.31 ± 0.01 a(c) | |
| 200 MT | 25 | 1.78 ± 0.04 a(b) | 0.55 ± 0.01 bc(b) | 2.33 ± 0.05 ab(c) | 0.39 ± 0.01 a(bc) |
| 55 | 1.91 ± 0.06 b(b) | 0.66 ± 0.04 b(a) | 2.57 ± 0.10 b(b) | 0.41 ± 0.02 a(b) | |
| 85 | 2.17 ± 0.06 b(a) | 0.72 ± 0.02 b(a) | 2.89 ± 0.08 b(a) | 0.46 ± 0.02 b(a) | |
| 115 | 1.60 ± 0.03 bc(c) | 0.52 ± 0.01 bc(b) | 2.12 ± 0.04 bc(c) | 0.36 ± 0.01 abc(c) | |
| 145 | 1.36 ± 0.02 c(d) | 0.47 ± 0.02 c(b) | 1.84 ± 0.04 c(d) | 0.31 ± 0.01 a(d) |
表1 褪黑素(MT)及其合成抑制剂(CPA)对葡萄叶片衰老过程中叶绿素及类胡萝卜素的影响
Table 1 Effect of melatonin (MT) and its synthetic inhibitor (CPA) on chlorophyll and carotenoids during grape leaf senescence
| 处理/(μmol · L-1) Treatment | 叶龄/d Leaf age | 叶绿素a Chlorophyll a | 叶绿素b Chlorophyll b | 总叶绿素 Total chlorophyll | 类胡萝卜素 Carotenoid |
|---|---|---|---|---|---|
| 对照 | 25 | 1.73 ± 0.02 a(a) | 0.53 ± 0.01 c(b) | 2.26 ± 0.03 b(b) | 0.39 ± 0.01 a(a) |
| Control | 55 | 1.79 ± 0.01 bc(a) | 0.61 ± 0.01 b(a) | 2.40 ± 0.02 bc(a) | 0.36 ± 0.00 b(b) |
| 85 | 1.77 ± 0.03 d(a) | 0.47 ± 0.03 de(b) | 2.24 ± 0.03 d(b) | 0.41 ± 0.00 c(a) | |
| 115 | 1.49 ± 0.02 cd(b) | 0.48 ± 0.01 cd(b) | 1.97 ± 0.02 de(c) | 0.33 ± 0.01 cd(c) | |
| 145 | 1.20 ± 0.04 d(c) | 0.40 ± 0.03 d(c) | 1.60 ± 0.07 d(d) | 0.27 ± 0.01 c(d) | |
| 200 CPA | 25 | 1.75 ± 0.01 a(a) | 0.52 ± 0.01 c(a) | 2.27 ± 0.02 b(b) | 0.40 ± 0.01 a(a) |
| 55 | 1.69 ± 0.06 c(a) | 0.55 ± 0.03 b(a) | 2.25 ± 0.10 c(a) | 0.34 ± 0.01 b(b) | |
| 85 | 1.70 ± 0.04 d(a) | 0.43 ± 0.01 e(b) | 2.14 ± 0.04 d(ab) | 0.37 ± 0.01 d(a) | |
| 115 | 1.39 ± 0.02 d(b) | 0.45 ± 0.01 d(b) | 1.84 ± 0.03 e(c) | 0.31 ± 0.00 d(b) | |
| 145 | 1.09 ± 0.01 e(c) | 0.36 ± 0.01 d(c) | 1.46 ± 0.02 d(d) | 0.24 ± 0.00 d(c) | |
| 50 MT | 25 | 1.79 ± 0.02 a(b) | 0.59 ± 0.01 ab(b) | 2.38 ± 0.03 ab(b) | 0.38 ± 0.00 ab(b) |
| 55 | 1.93 ± 0.04 b(a) | 0.67 ± 0.02 b(a) | 2.60 ± 0.06 b(a) | 0.37 ± 0.00 b(bc) | |
| 85 | 1.92 ± 0.02 c(a) | 0.59 ± 0.03 cd(b) | 2.50 ± 0.05 c(ab) | 0.43 ± 0.01 bc(a) | |
| 115 | 1.53 ± 0.01 c(c) | 0.52 ± 0.01 bc(c) | 2.05 ± 0.01 cd(c) | 0.35 ± 0.01 bc(c) | |
| 145 | 1.32 ± 0.02 c(d) | 0.46 ± 0.00 c(c) | 1.79 ± 0.02 c(d) | 0.29 ± 0.00 b(d) | |
| 100 MT | 25 | 1.79 ± 0.03 a(c) | 0.64 ± 0.02 a(b) | 2.43 ± 0.05 a(c) | 0.35 ± 0.00 b(d) |
| 55 | 2.23 ± 0.05 a(a) | 0.80 ± 0.02 a(a) | 3.02 ± 0.07 a(a) | 0.43 ± 0.01 a(b) | |
| 85 | 2.13 ± 0.03 b(b) | 0.68 ± 0.06 bc(b) | 2.81 ± 0.08 b(b) | 0.46 ± 0.01 b(a) | |
| 115 | 1.68 ± 0.02 ab(d) | 0.53 ± 0.03 b(c) | 2.22 ± 0.04 b(d) | 0.39 ± 0.01 a(c) | |
| 145 | 1.50 ± 0.01 b(e) | 0.53 ± 0.01 b(c) | 2.03 ± 0.02 b(e) | 0.30 ± 0.00 a(e) | |
| 150 MT | 25 | 1.78 ± 0.01 a(b) | 0.60 ± 0.02 ab(b) | 2.37 ± 0.03 ab(b) | 0.38 ± 0.01 ab(c) |
| 55 | 2.22 ± 0.08 a(a) | 0.83 ± 0.07 a(a) | 3.05 ± 0.14 a(a) | 0.43 ± 0.01 a(b) | |
| 85 | 2.38 ± 0.06 a(a) | 0.86 ± 0.05 a(a) | 3.24 ± 0.10 a(a) | 0.52 ± 0.01 a(a) | |
| 115 | 1.78 ± 0.07 a(b) | 0.62 ± 0.02 a(b) | 2.40 ± 0.10 a(b) | 0.38 ± 0.02 ab(c) | |
| 145 | 1.59 ± 0.04 a(c) | 0.61 ± 0.02 a(b) | 2.20 ± 0.06 a(b) | 0.31 ± 0.01 a(c) | |
| 200 MT | 25 | 1.78 ± 0.04 a(b) | 0.55 ± 0.01 bc(b) | 2.33 ± 0.05 ab(c) | 0.39 ± 0.01 a(bc) |
| 55 | 1.91 ± 0.06 b(b) | 0.66 ± 0.04 b(a) | 2.57 ± 0.10 b(b) | 0.41 ± 0.02 a(b) | |
| 85 | 2.17 ± 0.06 b(a) | 0.72 ± 0.02 b(a) | 2.89 ± 0.08 b(a) | 0.46 ± 0.02 b(a) | |
| 115 | 1.60 ± 0.03 bc(c) | 0.52 ± 0.01 bc(b) | 2.12 ± 0.04 bc(c) | 0.36 ± 0.01 abc(c) | |
| 145 | 1.36 ± 0.02 c(d) | 0.47 ± 0.02 c(b) | 1.84 ± 0.04 c(d) | 0.31 ± 0.01 a(d) |
图1 褪黑素(MT)及其合成抑制剂(CPA)对葡萄叶片衰老过程中各亚细胞组分中活性氧水平的影响 不同小写字母表示同一时期不同处理间差异显著(P < 0.05)。下同。
Fig. 1 Effect of melatonin(MT)and its synthetic inhibitor(CPA)on reactive oxygen levels in various subcellular fractions during grape leaf senescence Different lowercase letters indicate significant differences between treatments in the same period at 0.05 level. The same below.
图2 褪黑素(MT)及其合成抑制剂(CPA)对葡萄叶片衰老过程中各亚细胞组分中SOD和POD活性的影响
Fig. 2 Effect of melatonin(MT)and its synthetic inhibitor(CPA)on the activity of SOD and POD in various subcellular fractions during grape leaf senescence
图3 褪黑素(MT)及其合成抑制剂(CPA)对葡萄叶片衰老过程中各亚细胞组分中CAT活性的影响
Fig. 3 Effect of melatonin(MT)and its synthetic inhibitor(CPA)on the activity CAT activity in various subcellular fractions during grape leaf senescence
图4 褪黑素(MT)及其合成抑制剂(CPA)对葡萄叶片衰老过程中各亚细胞组分中APX和AAO活性的影响
Fig. 4 Effect of melatonin(MT)and its synthetic inhibitor(CPA)on the activity of APX and AAO in various subcellular fractions during grape leaf senescence
图5 褪黑素(MT)及其合成抑制剂(CPA)对葡萄叶片衰老过程中各亚细胞组分中DHAR和MDHAR活性的影响
Fig. 5 Effect of melatonin(MT)and its synthetic inhibitor(CPA)on the activity of DHAR and MDHAR in various subcellular fractions during grape leaf senescence
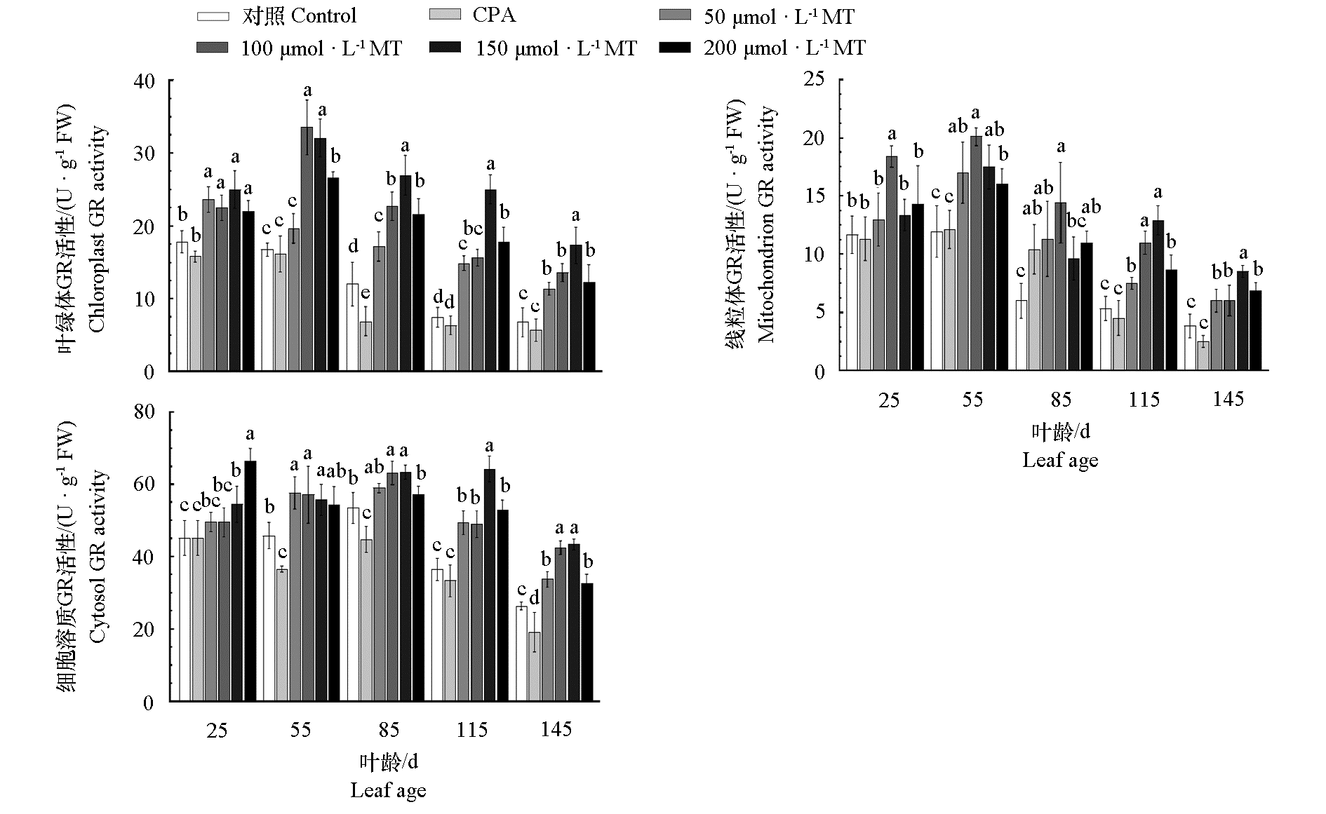
图6 褪黑素(MT)及其合成抑制剂(CPA)对葡萄叶片衰老过程中各亚细胞组分中GR活性的影响
Fig. 6 Effect of melatonin(MT)and its synthetic inhibitor(CPA)on the activity of GR in various subcellular fractions during grape leaf senescence
图7 褪黑素(MT)及其合成抑制剂(CPA)对葡萄叶片衰老过程中各亚细胞组分中AsA和DHA含量的影响
Fig. 7 Effect of melatonin(MT)and its synthetic inhibitor(CPA)on the content of AsA and DHA in various subcellular fractions during grape leaf senescence
图8 褪黑素(MT)及其合成抑制剂(CPA)对葡萄叶片衰老过程中各亚细胞组分中GSH和GSSG含量的影响
Fig. 8 Effect of melatonin(MT)and its synthetic inhibitor(CPA)on the content of GSH and GSSG in various subcellular fractions during grape leaf senescence
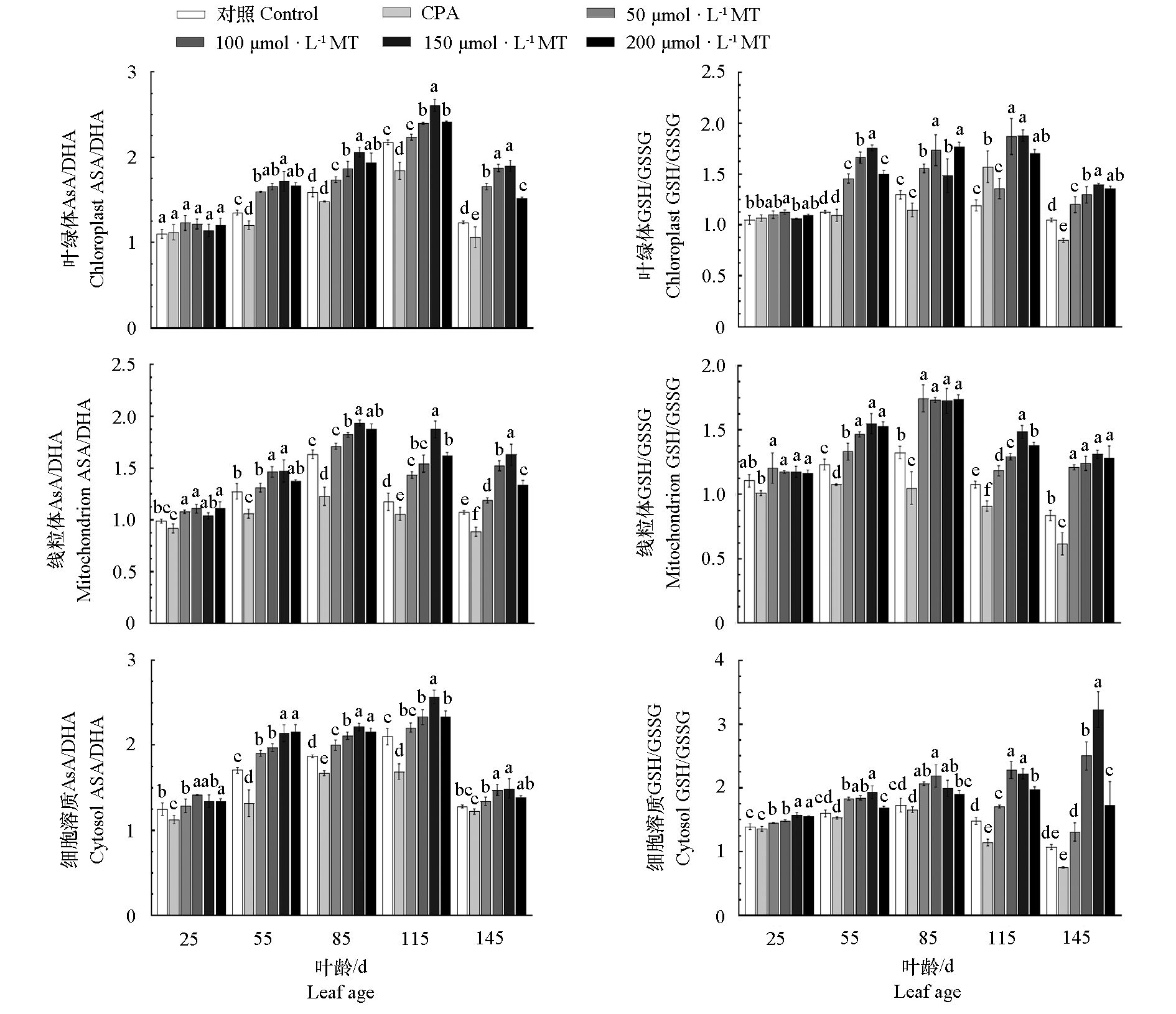
图9 褪黑素(MT)及其合成抑制剂(CPA)对葡萄叶片衰老过程中各亚细胞组分中AsA/DHA和GSH/GSSG的影响
Fig. 9 Effect of melatonin(MT)and its synthetic inhibitor(CPA)on the content of AsA/DHA and GSH/GSSG in various subcellular fractions during grape leaf senescence
| [1] |
doi: 10.1111/tpj.v105.2 URL |
| [2] |
doi: 10.7717/peerj.9451 URL |
| [3] |
doi: 10.1016/S0176-1617(11)80538-9 URL |
| [4] |
doi: 10.1007/s12374-016-0526-1 URL |
| [5] |
|
|
初梦圆, 于延冲. 2019. 影响植物叶片衰老因素的研究进展. 生命科学, 31 (2):178-184.
|
|
| [6] |
doi: 10.1093/jxb/ert477 pmid: 24470467 |
| [7] |
doi: 10.1093/jxb/erab200 pmid: 33959761 |
| [8] |
doi: 10.1093/jxb/ers330 pmid: 23162122 |
| [9] |
pmid: 17446888 |
| [10] |
doi: 10.1016/0003-2697(80)90139-6 pmid: 7416462 |
| [11] |
|
| [12] |
doi: 10.1016/j.ecoenv.2020.110593 URL |
| [13] |
doi: 10.1126/science.aab3472 pmid: 26339024 |
| [14] |
doi: 10.1007/s00709-011-0308-z pmid: 21805384 |
| [15] |
doi: 10.1134/S0003683819050089 |
| [16] |
doi: 10.1007/s11738-014-1746-y URL |
| [17] |
doi: 10.3389/fpls.2018.00426 pmid: 29675031 |
| [18] |
doi: 10.1007/s11032-006-9051-0 URL |
| [19] |
doi: 10.1104/pp.17.00452 pmid: 28710129 |
| [20] |
doi: 10.1007/s10725-015-0066-6 URL |
| [21] |
|
|
刘耀权. 2021. 氮肥运筹对旱农区玉米叶片抗衰老特性及产量的影响[博士论文]. 兰州: 甘肃农业大学.
|
|
| [22] |
doi: 10.1016/j.ab.2008.07.020 pmid: 18682244 |
| [23] |
doi: 10.1093/jxb/erab218 URL |
| [24] |
doi: 10.1104/pp.103.022798 pmid: 12857842 |
| [25] |
doi: 10.1093/jxb/erx235 pmid: 28992323 |
| [26] |
doi: 10.3390/plants8100366 URL |
| [27] |
doi: 10.1080/07352680091139231 URL |
| [28] |
doi: 10.1016/j.hpj.2022.08.002 URL |
| [29] |
|
|
孙志娟, 刘文杰, 郑晓东, 袭祥利, 马长青, 刘晓丽, 王彩虹, 田义轲. 2023. 褪黑素对盐碱胁迫下平邑甜茶幼苗生长的影响及其机制. 园艺学报, 50 (8):1697-1710.
|
|
| [30] |
doi: 10.16420/j.issn.0513-353x.2020-0589 URL |
|
汪宽鸿, 祝彪, 朱祝军. 2021. GSH/GSSG在植物应对非生物胁迫中的作用综述. 园艺学报, 48 (4):647-660.
doi: 10.16420/j.issn.0513-353x.2020-0589 URL |
|
| [31] |
doi: 10.1111/j.1600-079X.2011.00966.x pmid: 21988707 |
| [32] |
|
|
王帅. 2015. 设施葡萄延迟栽培叶片衰老生理及抗衰老技术研究[硕士论文]. 北京: 中国农业科学院.
|
|
| [33] |
|
| [34] |
doi: 10.1093/jxb/erx473 pmid: 29281056 |
| [35] |
doi: 10.1146/arplant.2018.69.issue-1 URL |
| [36] |
doi: 10.1016/j.postharvbio.2020.111378 URL |
| [37] |
doi: 10.1016/j.hpj.2020.06.002 URL |
| [38] |
doi: 10.1093/jxb/erac230 pmid: 35665805 |
| [39] |
|
|
于飞. 2013. 低温胁迫下圆柏属植物抗氧化系统在叶片中的亚细胞定位研究[硕士论文]. 兰州: 兰州交通大学.
|
|
| [40] |
|
| [41] |
doi: 10.1007/s00709-010-0111-2 URL |
| [42] |
doi: 10.3390/antiox11040758 URL |
| [43] |
doi: 10.3389/fpls.2016.01814 pmid: 27999581 |
| [44] |
doi: 10.3389/fpls.2022.1044500 URL |
| [45] |
doi: 10.16420/j.issn.0513-353x.2020-0496 |
|
赵雨晴, 陈涛, 袁明. 2021. 褪黑素在果实发育和采后保鲜中的应用. 园艺学报, 48 (6):1233-1249.
doi: 10.16420/j.issn.0513-353x.2020-0496 |
|
| [46] |
doi: 10.1080/07352689.2020.1865637 URL |
| [1] | 邢志淦, 雷向朝, 王浩臣, 冯铭鑫, 李靖雯, 刘羽佳, 房玉林, 孟江飞. 不同砧木‘阳光玫瑰’葡萄幼树对盐与低温复合胁迫的生理响应[J]. 园艺学报, 2025, 52(3): 693-704. |
| [2] | 赵钰磊, 李珊, 李承男, 马金龙, 马红义, 尹晓. 灰霉菌侵染葡萄叶片初期的蛋白质组学研究[J]. 园艺学报, 2025, 52(2): 279-291. |
| [3] | 许桐, 王越, 吴丽娜, 张航, 尹立来, 徐柯宇, 郑小林. 褪黑素处理对‘桃形李’采后果实品质及花色苷代谢的影响[J]. 园艺学报, 2025, 52(2): 395-405. |
| [4] | 陈亚娟, 金鑫, 杨江山, 戴子博, 李斗, 邵璋. 黄腐酸钾对‘蛇龙珠’葡萄果实糖酸代谢及香味物质的影响[J]. 园艺学报, 2025, 52(2): 406-422. |
| [5] | 李晓庆, 闫思远, 顾沛雯. 宁夏地区葡萄灰霉病菌的多样性及致病力分化[J]. 园艺学报, 2025, 52(2): 481-490. |
| [6] | 梁国平, 曾宝珍, 刘铭, 边志远, 陈佰鸿, 毛娟. 山葡萄VaSR基因家族的鉴定及VaSR1抗寒功能验证与互作蛋白筛选[J]. 园艺学报, 2025, 52(1): 37-50. |
| [7] | 李敏, 李思雨, 施紫涵, 陈爽, 徐炎, 刘国甜. 葡萄GRF/GIF家族基因对遗传转化再生效率的影响[J]. 园艺学报, 2025, 52(1): 51-65. |
| [8] | 史兴秀, 冯贝贝, 闫鹏, 耿文娟, 朱玛孜拉·沙尔山木汗. ‘王林’苹果早期水心病发生过程中的相关生理变化[J]. 园艺学报, 2025, 52(1): 171-184. |
| [9] | 杨敬辉, 许媛, 肖婷, 褚姝频, 刘吉祥, 姚克兵. 葡萄胶孢炭疽病菌复合种(Colletotrichum gloeosporioides species complexes)对嘧菌酯的抗药性研究[J]. 园艺学报, 2024, 51(8): 1906-1912. |
| [10] | 韩斌, 刘长江, 尹勇刚, 孙艳, 贾楠, 赵胜建, 郭紫娟, 李敏敏. 中晚熟鲜食葡萄新品种‘金光’[J]. 园艺学报, 2024, 51(8): 1977-1978. |
| [11] | 刘苗苗, 姚锦, 包敏, 楚言言, 王西平. 赤霉素诱导葡萄无核形成机理研究进展[J]. 园艺学报, 2024, 51(7): 1610-1622. |
| [12] | 张文静, 徐大勇, 吴倩琳, 杨佛, 信丙越, 曾昕, 李峰. 拮抗番茄灰霉病的贝莱斯芽孢杆菌XDY66基因组分析[J]. 园艺学报, 2024, 51(6): 1413-1425. |
| [13] | 周慧珍, 张嘉, 胡军华, 李白雪, 曹立, 余歆, 王福生, 邹修平, 周彦. 柑橘感染褐斑病过程中BAG1的作用[J]. 园艺学报, 2024, 51(5): 956-970. |
| [14] | 马宗桓, 李玉梅, 韦霞霞, 李文芳, 陈佰鸿, 毛娟. 河西走廊不同产地‘美乐’葡萄品质及香气物质的差异分析[J]. 园艺学报, 2024, 51(5): 1083-1098. |
| [15] | 伍少福, 韩科峰, 吴良欢. 生物有机肥加专用肥对葡萄园土壤养分、微生物和产量的影响[J]. 园艺学报, 2024, 51(5): 1099-1112. |
| 阅读次数 | ||||||
|
全文 |
|
|||||
|
摘要 |
|
|||||
版权所有 © 2012 《园艺学报》编辑部 京ICP备10030308号-2 国际联网备案号 11010802023439
编辑部地址: 北京市海淀区中关村南大街12号中国农业科学院蔬菜花卉研究所 邮编: 100081
电话: 010-82109523 E-Mail: yuanyixuebao@126.com
技术支持:北京玛格泰克科技发展有限公司