Acta Horticulturae Sinica ›› 2026, Vol. 53 ›› Issue (3): 697-708.doi: 10.16420/j.issn.0513-353x.2025-0102
• Genetic & Breeding·Germplasm Resources·Molecular Biology • Previous Articles Next Articles
CAO Jinping, YANG Wenhuan, LIU Xiujuan, WANG Yuping*(
)
Received:2025-07-29
Revised:2025-12-22
Online:2026-03-25
Published:2026-03-20
Contact:
WANG Yuping
CAO Jinping, YANG Wenhuan, LIU Xiujuan, WANG Yuping. Effects of Spermidine on PSⅡ Function and Expression of Key Genes of Chlorophyll Metabolism in Common Bean Seedlings Under Low Temperature Stress[J]. Acta Horticulturae Sinica, 2026, 53(3): 697-708.
Add to citation manager EndNote|Ris|BibTeX
URL: https://www.ahs.ac.cn/EN/10.16420/j.issn.0513-353x.2025-0102
| 基因 Gene | 正向引物序列(5′-3′) Forward Primer | 反向引物序列(5′-3′) Reverse Primer |
|---|---|---|
| Actin | GAAGTTCTCTTCCAACCATCC | TTTCCTTGCTCATTCTGTCCG |
| PvCLH1 | CCACTCTGACATGCTAGATGATGATAC | TGACTCCTCCAACAAACCTCCTC |
| PvCLH2 | ATTGTCATTGCTCCTCAGTTGTACA | AGACTCACATGCATGTCTCTAATGG |
| PvRCCR1 | ATGATCCGCAGTAGTCCAACAATG | GAGTGTCCAATTCAGTGTCCTCATAG |
| PvPOR1 | TCTCCAGCAGTCACCAAGTCTAC | CTCAGCCAAAGCCTTAGCAGTG |
| PvPOR2 | GGTCTTTCATTGTCAGAACCTAGCA | GTCCTAGATGGTTTGTTCCAACACT |
Table 1 qRT-PCR primer sequence
| 基因 Gene | 正向引物序列(5′-3′) Forward Primer | 反向引物序列(5′-3′) Reverse Primer |
|---|---|---|
| Actin | GAAGTTCTCTTCCAACCATCC | TTTCCTTGCTCATTCTGTCCG |
| PvCLH1 | CCACTCTGACATGCTAGATGATGATAC | TGACTCCTCCAACAAACCTCCTC |
| PvCLH2 | ATTGTCATTGCTCCTCAGTTGTACA | AGACTCACATGCATGTCTCTAATGG |
| PvRCCR1 | ATGATCCGCAGTAGTCCAACAATG | GAGTGTCCAATTCAGTGTCCTCATAG |
| PvPOR1 | TCTCCAGCAGTCACCAAGTCTAC | CTCAGCCAAAGCCTTAGCAGTG |
| PvPOR2 | GGTCTTTCATTGTCAGAACCTAGCA | GTCCTAGATGGTTTGTTCCAACACT |
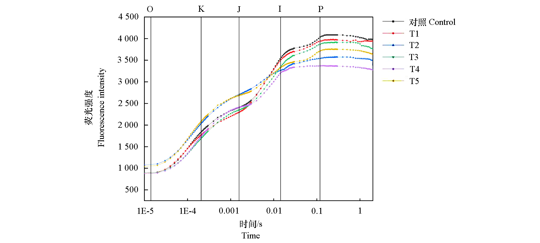
Fig. 1 Effect of exogenous Spd on phenotype of common bean seedlings under low temperature stress Control:Normal temperature;T1:Normal temperature + 1.0 mmol · L-1 Spd;T2:Low temperature;T3:Low temperature + 1.0 mmol · L-1 Spd;T4:Low temperature + 1.0 mmol · L-1 MGBG;T5:Low temperature + 1.0 mmol · L-1 MGBG + 1.0 mmol · L-1 Spd. The same below
| 处理 Treatment | 叶绿素a/(mg· g-1 FW) Chlorophyll a | 叶绿素b/(mg · g-1 FW) Chlorophyll b | 叶绿素(a + b)/(mg · g-1 FW) Chlorophyll(a + b) | 叶绿素a/b Chlorophyll a/b |
|---|---|---|---|---|
| 对照 Control | 2.02 ± 0.05 b | 0.61 ± 0.03 b | 2.63 ± 0.04 b | 1.75 ± 0.04 e |
| T1 | 2.66 ± 0.06 a | 0.71 ± 0.04 a | 3.37 ± 0.05 a | 1.22 ± 0.03 f |
| T2 | 0.67 ± 0.03 e | 0.38 ± 0.02 d | 1.05 ± 0.02 e | 3.29 ± 0.07 b |
| T3 | 1.60 ± 0.04 c | 0.53 ± 0.03 c | 2.13 ± 0.03 c | 2.73 ± 0.05 d |
| T4 | 0.35 ± 0.02 f | 0.29 ± 0.01 e | 0.64 ± 0.02 f | 3.72 ± 0.09 a |
| T5 | 1.10 ± 0.03 d | 0.40 ± 0.02 d | 1.51 ± 0.03 d | 3.05 ± 0.06 c |
Table 2 Effect of Spd on chlorophyll content of common bean seedlings under low temperature stress
| 处理 Treatment | 叶绿素a/(mg· g-1 FW) Chlorophyll a | 叶绿素b/(mg · g-1 FW) Chlorophyll b | 叶绿素(a + b)/(mg · g-1 FW) Chlorophyll(a + b) | 叶绿素a/b Chlorophyll a/b |
|---|---|---|---|---|
| 对照 Control | 2.02 ± 0.05 b | 0.61 ± 0.03 b | 2.63 ± 0.04 b | 1.75 ± 0.04 e |
| T1 | 2.66 ± 0.06 a | 0.71 ± 0.04 a | 3.37 ± 0.05 a | 1.22 ± 0.03 f |
| T2 | 0.67 ± 0.03 e | 0.38 ± 0.02 d | 1.05 ± 0.02 e | 3.29 ± 0.07 b |
| T3 | 1.60 ± 0.04 c | 0.53 ± 0.03 c | 2.13 ± 0.03 c | 2.73 ± 0.05 d |
| T4 | 0.35 ± 0.02 f | 0.29 ± 0.01 e | 0.64 ± 0.02 f | 3.72 ± 0.09 a |
| T5 | 1.10 ± 0.03 d | 0.40 ± 0.02 d | 1.51 ± 0.03 d | 3.05 ± 0.06 c |
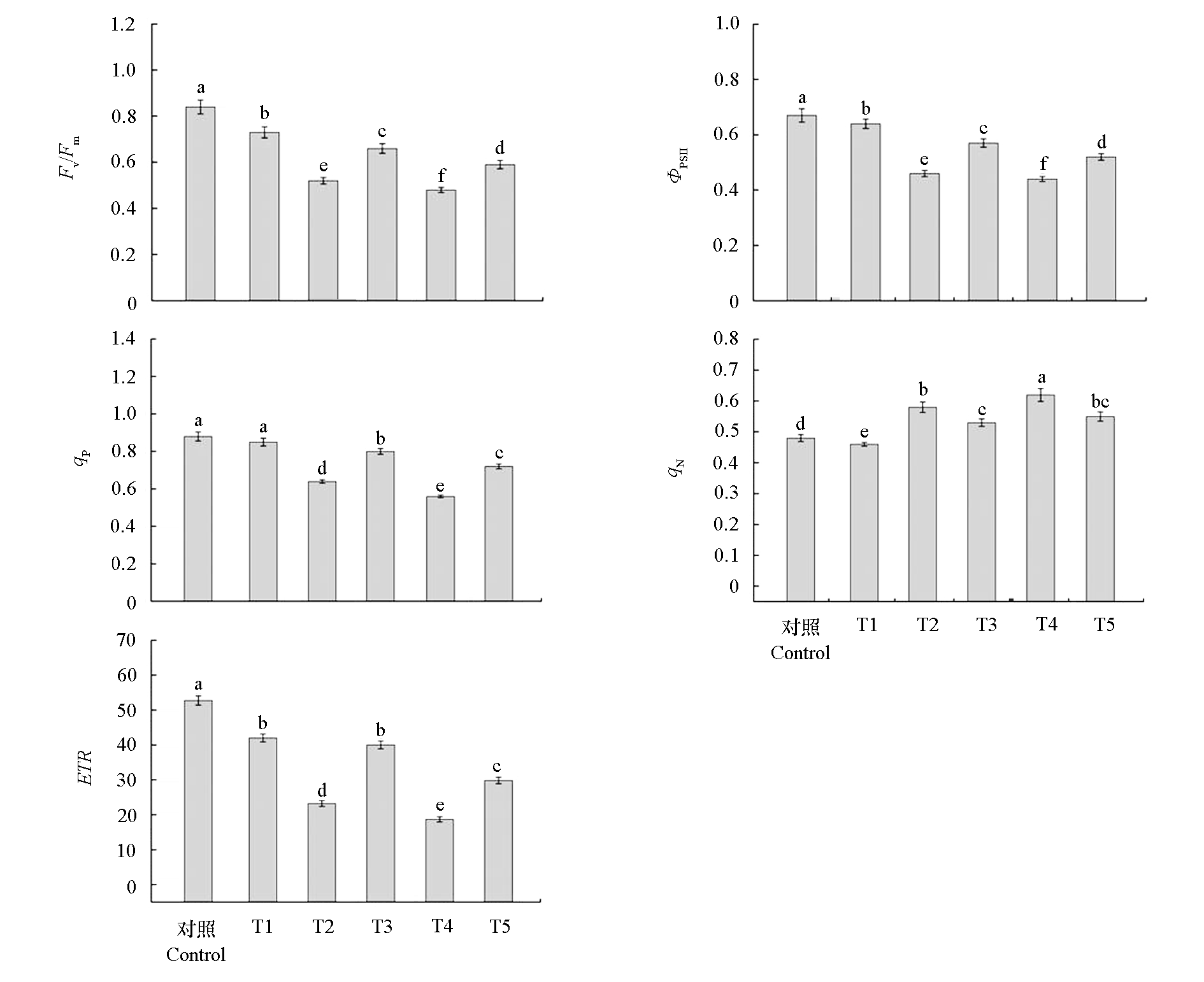
Fig. 2 Effect of exogenous Spd on chlorophyll fluorescence parameters of common bean seedlings under low temperature stress Different lowercase letters indicate significant differences(P < 0.05). The same below
| 处理 Treatment | 天线吸收的光能用于电子传递的效率 ψEo | I点相对可变荧光强度 Vi | J点相对可变荧光强度 Vj | QA还原速率 dV/dto | 以吸收光能为基础的性能指数 PIABS |
|---|---|---|---|---|---|
| 对照 Control | 0.406 ± 0.018 a | 0.490 ± 0.006 d | 0.443 ± 0.007 d | 1.060 ± 0.025 f | 1.467 ± 0.026 a |
| T1 | 0.379 ± 0.008 b | 0.553 ± 0.022 c | 0.467 ± 0.023 cd | 1.140 ± 0.015 e | 1.363 ± 0.015 b |
| T2 | 0.302 ± 0.006 d | 0.883 ± 0.012 a | 0.533 ± 0.015 b | 1.357 ± 0.012 b | 0.410 ± 0.015 d |
| T3 | 0.348 ± 0.003 c | 0.680 ± 0.020 b | 0.493 ± 0.009 bc | 1.217 ± 0.012 d | 1.330 ± 0.021 b |
| T4 | 0.242 ± 0.006 e | 0.907 ± 0.003 a | 0.643 ± 0.022 a | 1.513 ± 0.018 a | 0.313 ± 0.019 e |
| T5 | 0.309 ± 0.002 d | 0.727 ± 0.038 b | 0.523 ± 0.009 b | 1.277 ± 0.018 c | 1.273 ± 0.009 c |
Table 3 Effect of exogenous Spd on JIP-test parameters of common bean seedlings under low temperature stress
| 处理 Treatment | 天线吸收的光能用于电子传递的效率 ψEo | I点相对可变荧光强度 Vi | J点相对可变荧光强度 Vj | QA还原速率 dV/dto | 以吸收光能为基础的性能指数 PIABS |
|---|---|---|---|---|---|
| 对照 Control | 0.406 ± 0.018 a | 0.490 ± 0.006 d | 0.443 ± 0.007 d | 1.060 ± 0.025 f | 1.467 ± 0.026 a |
| T1 | 0.379 ± 0.008 b | 0.553 ± 0.022 c | 0.467 ± 0.023 cd | 1.140 ± 0.015 e | 1.363 ± 0.015 b |
| T2 | 0.302 ± 0.006 d | 0.883 ± 0.012 a | 0.533 ± 0.015 b | 1.357 ± 0.012 b | 0.410 ± 0.015 d |
| T3 | 0.348 ± 0.003 c | 0.680 ± 0.020 b | 0.493 ± 0.009 bc | 1.217 ± 0.012 d | 1.330 ± 0.021 b |
| T4 | 0.242 ± 0.006 e | 0.907 ± 0.003 a | 0.643 ± 0.022 a | 1.513 ± 0.018 a | 0.313 ± 0.019 e |
| T5 | 0.309 ± 0.002 d | 0.727 ± 0.038 b | 0.523 ± 0.009 b | 1.277 ± 0.018 c | 1.273 ± 0.009 c |
| 处理 Treatment | ABS/CSm | DIo/CSm | ETo/CSm | TRo/CSm | ABS/RC | DIo/RC | ETo/RC | TRo/RC |
|---|---|---|---|---|---|---|---|---|
| 对照Control | 3 094.33 ± 39.84 a | 306.67 ± 3.19 e | 796.33 ± 11.72 a | 1 422.33 ± 15.86 a | 2.92 ± 0.05 a | 0.25 ± 0.02 d | 1.90 ± 0.05 a | 2.48 ± 0.01 a |
| T1 | 2 891.00 ± 37.82 b | 342.67 ± 4.33 d | 768.67 ± 11.35 ab | 1 350.00 ± 15.48 b | 2.63 ± 0.04 b | 0.29 ± 0.02 cd | 1.73 ± 0.06 b | 2.40 ± 0.01 b |
| T2 | 1 718.33 ± 23.29 d | 439.33 ± 8.35 b | 410.00 ± 6.12 d | 968.00 ± 10.92 e | 2.55 ± 0.03 b | 0.36 ± 0.02 b | 1.11 ± 0.03 d | 2.30 ± 0.02 c |
| T3 | 1 845.67 ± 25.55 c | 358.00 ± 4.89 d | 715.33 ± 11.2 b | 1 241.67 ± 13.43 c | 2.43 ± 0.03 c | 0.34 ± 0.02 bc | 1.31 ± 0.11 c | 2.26 ± 0.02 c |
| T4 | 1 582.00 ± 20.11 e | 478.00 ± 9.29 a | 342.67 ± 5.36 e | 934.33 ± 10.01 e | 2.45 ± 0.02 c | 0.43 ± 0.01 a | 1.05 ± 0.02 d | 2.27 ± 0.01 c |
| T5 | 1 759.67 ± 23.79 cd | 385.67 ± 7.76 c | 518.33 ± 8.89 c | 1 117.00 ± 11.39 d | 2.22 ± 0.02 d | 0.34 ± 0.03 bc | 1.19 ± 0.01 cd | 2.19 ± 0.02 d |
Table 4 Effectof exogenous Spd on specific activity parameters of common bean seedling leaves under low temperature stress
| 处理 Treatment | ABS/CSm | DIo/CSm | ETo/CSm | TRo/CSm | ABS/RC | DIo/RC | ETo/RC | TRo/RC |
|---|---|---|---|---|---|---|---|---|
| 对照Control | 3 094.33 ± 39.84 a | 306.67 ± 3.19 e | 796.33 ± 11.72 a | 1 422.33 ± 15.86 a | 2.92 ± 0.05 a | 0.25 ± 0.02 d | 1.90 ± 0.05 a | 2.48 ± 0.01 a |
| T1 | 2 891.00 ± 37.82 b | 342.67 ± 4.33 d | 768.67 ± 11.35 ab | 1 350.00 ± 15.48 b | 2.63 ± 0.04 b | 0.29 ± 0.02 cd | 1.73 ± 0.06 b | 2.40 ± 0.01 b |
| T2 | 1 718.33 ± 23.29 d | 439.33 ± 8.35 b | 410.00 ± 6.12 d | 968.00 ± 10.92 e | 2.55 ± 0.03 b | 0.36 ± 0.02 b | 1.11 ± 0.03 d | 2.30 ± 0.02 c |
| T3 | 1 845.67 ± 25.55 c | 358.00 ± 4.89 d | 715.33 ± 11.2 b | 1 241.67 ± 13.43 c | 2.43 ± 0.03 c | 0.34 ± 0.02 bc | 1.31 ± 0.11 c | 2.26 ± 0.02 c |
| T4 | 1 582.00 ± 20.11 e | 478.00 ± 9.29 a | 342.67 ± 5.36 e | 934.33 ± 10.01 e | 2.45 ± 0.02 c | 0.43 ± 0.01 a | 1.05 ± 0.02 d | 2.27 ± 0.01 c |
| T5 | 1 759.67 ± 23.79 cd | 385.67 ± 7.76 c | 518.33 ± 8.89 c | 1 117.00 ± 11.39 d | 2.22 ± 0.02 d | 0.34 ± 0.03 bc | 1.19 ± 0.01 cd | 2.19 ± 0.02 d |
| [16] |
|
|
王尚堃, 杜红阳. 2016. 多胺及其合成抑制剂对干旱胁迫下杏苗生理指标的影响. 南方农业学报, 47 (9):1475-1479.
|
|
| [17] |
doi: 10.11686/cyxb2020072 |
|
王玉萍, 郜春晓, 王盛祥, 何晓童. 2020. 低温弱光胁迫下芸豆叶片光抑制与类囊体膜脂构成变化. 草业学报, 29 (8):116-125.
doi: 10.11686/cyxb2020072 |
|
| [18] |
|
|
向丽霞, 胡立盼, 孟森, 邹志荣. 2020. 叶面喷施亚精胺对高温胁迫下番茄叶绿素合成代谢的影响. 西北植物学报, 40 (5):846-851.
|
|
| [19] |
doi: 10.3724/SP.J.1006.2018.00642 URL |
|
薛仁风, 王利, 丰明, 葛维德. 2018. 普通菜豆中烟草水杨酸结合蛋白2同源基因的鉴定及表达特征分析. 作物学报, 44 (5):642-649.
|
|
| [20] |
doi: 10.16420/j.issn.0513-353x.2023-0301 |
|
袁娜, 徐勤圆, 徐照龙, 周玲, 刘晓庆, 陈新, 杜建厂. 2024. 基于靶向测序技术的菜豆SNP 液相芯片开发及验证. 园艺学报, 51 (5):1017-1032.
|
|
| [21] |
|
|
张帅磊, 罗石磊, 张文渊, 李嘉琪, 张国斌. 2022. 2,4-表油菜素内酯对盐胁迫下黄瓜幼苗叶片光合特性的影响. 西北植物学报, 42 (2):272-279.
|
|
| [22] |
|
|
张永平, 张红梅, 顾海峰, 张文献, 范红伟, 刁倩楠, 张辉. 2018. 外源Spd对低温胁迫下甜瓜幼苗光合与抗氧化特性及其相关基因表达的影响. 西北植物学报, 38 (4):671-681.
|
|
| [23] |
doi: 10.11869/j.issn.100-8551.2018.08.1466 |
|
赵东晓, 杜建勋, 董亚茹, 孙景诗, 梁晓艳, 王向誉, 施新琴, 郭洪恩. 2018. 常压室温等离子体对NaCl胁迫下胡麻种子萌发及幼苗生理特性的影响. 核农学报, 32 (8):1466-1476.
doi: 10.11869/j.issn.100-8551.2018.08.1466 |
|
| [1] |
doi: 10.16420/j.issn.0513-353x.2023-0655 |
|
陈鑫, 邬晓龙, 刘升锐, 胡贤春, 刘春艳. 2024. 干旱胁迫下AMF对茶树光合特性及其基因表达的影响. 园艺学报, 51 (10):2358-2370.
|
|
| [2] |
|
| [3] |
doi: 10.3390/toxics11050468 URL |
| [4] |
doi: 10.7525/j.issn.1673-5102.2021.01.007 |
|
胡文海, 闫小红, 李晓红, 曹灶桂. 2021. 24-表油菜素内酯对干旱胁迫下辣椒叶片快速叶绿素荧光诱导动力学曲线的影响. 植物研究, 41 (1):53-59.
doi: 10.7525/j.issn.1673-5102.2021.01.007 |
|
| [5] |
|
|
李翠红, 冯毓琴, 魏丽娟, 张蕊, 胡生海. 2024. 低温处理下青花菜衰老过程中叶绿素降解相关基因的表达. 西北农业学报, 33 (9):1757-1764.
|
|
| [6] |
|
|
李合生. 2000. 植物生理生化实验原理和技术. 北京: 高等教育出版社.
|
|
| [7] |
|
| [8] |
|
|
李丽菁, 张智韦, 薛云, 张嘉航, 韩烈保, 许立新. 2022. 低温胁迫对日本结缕草叶绿素代谢的影响. 北京林业大学学报, 44 (2):91-99.
|
|
| [9] |
doi: 10.1016/j.hpj.2022.09.003 URL |
| [10] |
doi: 10.1006/meth.2001.1262 pmid: 11846609 |
| [11] |
|
|
毛晶晶, 李泽娇, 赵雨晴, 袁澍, 袁明. 2019. 低温胁迫对玉米转绿过程中叶绿素生物合成的影响. 四川农业大学学报, 37 (5):617-622.
|
|
| [12] |
doi: 10.3390/ijms231911671 URL |
| [13] |
|
|
任树勇, 于凯强, 丁晓丽, 纳小凡, 彭励. 2016. 低剂量UV-B辐射对乌拉尔甘草叶片光合机构的影响. 西北植物学报, 36 (1):116-123.
|
|
| [14] |
|
| [15] |
doi: 10.1038/s41467-020-14992-9 pmid: 32198392 |
| [1] | XIAO Zhihao, ZHENG Hankai, ZHANG Mannan, TANG Huaiqian, WANG Jiaying, ZHANG Yuyang, ZHANG Junhong, YE Zhibiao, and YE Jie. Effects of Potassium on Growth and Development of Tomato Seedlings Under Abiotic Stress [J]. Acta Horticulturae Sinica, 2025, 52(6): 1599-1618. |
| [2] | ZHANG Zixin, CHEN Shuting, ZHOU Weixin, ZHANG Yihan, LU Qian, LI Zhongyi, WU Xinyang, XU Pei. Identification of Cowpea Mild Mottle Virus Variants in Zhejiang and Localization of TGB Proteins [J]. Acta Horticulturae Sinica, 2025, 52(1): 123-135. |
| [3] | YUAN Na, XU Qinyuan, XU Zhaolong, ZHOU Ling, LIU Xiaoqing, CHEN Xin, DU Jianchang. The Development and Verification of SNP Lquid Chips for Common Bean Based on Targeted Sequencing Technology [J]. Acta Horticulturae Sinica, 2024, 51(5): 1017-1032. |
| [4] | LUO Jiandong, QIU Mengqing, ZHOU Huimin, XIE Weiwei, Huang Haixin, LIU Jieqi, ZHANG Zimin, XU Jian, CHEN Chengjie, HE Yehua, LIU Chaoyang. Cloning and Functional Analysis of Pineapple AcZFP1 Gene Under Low Temperature Stress [J]. Acta Horticulturae Sinica, 2024, 51(3): 495-508. |
| [5] | SUN Ting, JIANG Rujia, SHI Zheng, MENACHEM Moshelion, SUN Yudong, CHENG Rui, XU Pei. Development of a Quantification Method for“Golden WUE”Trait and Its Application in Common Beans [J]. Acta Horticulturae Sinica, 2024, 51(3): 656-668. |
| [6] | LUO Xinrui, ZHANG Xiaoxu, WANG Yuping, WANG Zhi, MA Yuanyuan, ZHOU Bingyue. Identification and Expression Analysis of Trihelix Gene Family in Common Bean [J]. Acta Horticulturae Sinica, 2024, 51(12): 2775-2790. |
| [7] | ZHANG Qiaoli, CHEN Di, SONG Yanping, ZHU Hongliang, LUO Yunbo, QU Guiqin. Review on Transcriptional Regulation of Chlorophyll Metabolism Network in Tomato Fruits [J]. Acta Horticulturae Sinica, 2023, 50(9): 2031-2047. |
| [8] | MAO Kexin, AN Miao, WANG Hairong, WANG Shijin, LÜ Wei, GUO Yingtian, LI Jian, LI Guotian. Identification and Low Temperature Expression Analysis of MYB Transcription Factor Family in Kiwifruit [J]. Acta Horticulturae Sinica, 2023, 50(3): 534-548. |
| [9] | LIN Haijiao, LIANG Yuchen, LI Ling, MA Jun, ZHANG Lu, LAN Zhenying, YUAN Zening. Exploration and Regulation Network Analysis of CBF Pathway Related Cold Tolerance Genes in Lavandula angustifolia [J]. Acta Horticulturae Sinica, 2023, 50(1): 131-144. |
| [10] | LIU Zhiyuan, XU Zhaosheng, ZHANG Helong, and QIAN Wei. A New Stringless Common Bean Cultivar‘Shudou 6’ [J]. Acta Horticulturae Sinica, 2022, 49(S2): 135-136. |
| [11] | WANG Guangpeng, LIU Tongkun, XU Xinfeng, LI Zhubo, GAO Zhanyuan, HOU Xilin. Identification of LEA Family and Expression Analysis of Some Members Under Low-temperature Stress in Chinese Cabbage [J]. Acta Horticulturae Sinica, 2022, 49(2): 304-318. |
| [12] | LU Tiantian, LIU Zhiyuan, XU Zhaosheng, ZHANG Helong, LI Guoliang, SHE Hongbing, QIAN Wei. Genome-wide Association Studies for Flower Color in Common Bean [J]. Acta Horticulturae Sinica, 2022, 49(2): 332-340. |
| [13] | YANG Ni, WAN Qiwen, LI Yimin, HAN Miaohua, TENG Ruimin, LIU Jiexia, ZHUANG Jing. Effects of Exogenous Spermidine on Photosynthetic Characteristics and Gene Expression of Key Enzymes Under Salt Stress in Tea Plant [J]. Acta Horticulturae Sinica, 2022, 49(2): 378-394. |
| [14] | LIU Yanying,NI Shanshan,XIANG Leilei,CHEN Yukun,and LAI Zhongxiong*. Genome-wide Identification of the Laccase Gene Family and Its Expression Analysis Under Low Temperature Stress in Musa accuminata [J]. ACTA HORTICULTURAE SINICA, 2020, 47(5): 837-852. |
| [15] | FU Yajuan1,2,CHEN Xiating1,QIAO Jie1,2,WANG Jing1,2,LI Wenjing1,and HOU Xiaoqiang1,2,*. Molecular Cloning and Expression Characterization of Cyclophilin Gene(DoCyP)in Dendrobium officinale [J]. ACTA HORTICULTURAE SINICA, 2020, 47(3): 581-589. |
| Viewed | ||||||
|
Full text |
|
|||||
|
Abstract |
|
|||||
Copyright © 2012 Acta Horticulturae Sinica 京ICP备10030308号-2 国际联网备案号 11010802023439
Tel: 010-82109523 E-Mail: yuanyixuebao@126.com
Support by: Beijing Magtech Co.Ltd