园艺学报 ›› 2025, Vol. 52 ›› Issue (1): 229-246.doi: 10.16420/j.issn.0513-353x.2023-0647
收稿日期:2024-07-31
修回日期:2024-10-17
出版日期:2025-01-25
发布日期:2025-01-19
通讯作者:
基金资助:
HUANG Xun, LIU Xia, DENG Linmei, WANG Xingguo, XU Yajin, YANG Yanli*(
)
Received:2024-07-31
Revised:2024-10-17
Published:2025-01-25
Online:2025-01-19
Contact:
* E-mail:843151872@qq.com
摘要:
从健康马铃薯根际土壤中分离获得1X1Y菌株,结合形态学特征、生理生化特性及多基因序列分析确定其为贝莱斯芽孢杆菌(Bacillus velezensis)。采用平板对峙培养法和抑菌圈法筛选拮抗菌株并验证其抑菌活性,其培养液均能显著抑制疮痂链霉菌Streptomyces acidiscabies和S. turgidiscabies的生长,抑菌圈直径为(34.92 ± 0.90)和(35.14 ± 1.56)mm,对疮痂病的相对防效为57.52%。该菌还可显著抑制马铃薯晚疫病菌、黑痣病菌、早疫病菌、炭疽病菌的生长,抑制率达56.44% ~ 71.47%。利用多对特异性引物检测菌株1X1Y抑菌活性物质合成关键基因,该菌含有srfAB、bmyB、fenD、bacA、ituC、bioA、beaS、dhbA、dfnA、mycB等10种抑菌活性物质合成关键基因。采用胞外酶和嗜铁素产生培养基、透明圈法、血平板、排油圈和紫外分光光度法对其胞外水解酶、抗性物质含量及防御酶活性等生防促生特性进行测定,该菌可分泌蛋白酶、β-1,3葡聚糖酶、纤维素酶、嗜铁素、脂肽类等抑菌相关物质,形成复杂生物膜结构,利于在根际定殖;同时可通过提高马铃薯可溶性蛋白含量及PAL、PPO防御酶活性,降低丙二醛含量来增强植株抗性。此外,1X1Y兼具固氮、ACC降解活性,可溶解磷酸钙、磷酸铁、磷酸铝、大豆卵磷脂、蛋黄卵磷脂、碳酸镁、氧化锌等多种难溶化合物,显著增加马铃薯株高、叶绿素相对含量、茎粗和单株产量。
黄勋, 刘霞, 邓琳梅, 王兴国, 徐亚锦, 杨艳丽. 马铃薯疮痂病生防菌1X1Y的鉴定及其生防促生特性研究[J]. 园艺学报, 2025, 52(1): 229-246.
HUANG Xun, LIU Xia, DENG Linmei, WANG Xingguo, XU Yajin, YANG Yanli. Identification and Study on Its Biocontrol and Growth Promoting Properties of Bacillus velezensis 1X1Y Against Potato Common Scab[J]. Acta Horticulturae Sinica, 2025, 52(1): 229-246.
| 项目名称 Object | 试验现象 Experimental phenomenon | 1X1Y | Bacillus velezensis | ||
|---|---|---|---|---|---|
| R1B | XC1 | QYQN-3 | |||
| 葡萄糖酵解 Glucose fermentation | 培养基变为黄色,无气泡 The culture medium turns yellow and there are no bubbles | + | + | + | + |
| 乳糖酵解 Lactose fermentation | 培养基变为紫色,无气泡 The culture medium turns purple and there are no bubbles | - | / | / | + |
| 淀粉水解 Starch hydrolysis | 培养基颜色为紫色The culture medium turns purple | + | + | + | + |
| 明胶液化 Gelatin liquefaction | 培养基为液态 The culture medium is liquid | + | + | + | / |
| 牛奶石蕊 Milk litmus | 凝固胨化 Solidification and peptonization | + | / | / | + |
| 脲酶产生 Urease | 培养液颜色为红色 The color of the culture medium is red | + | / | / | / |
| H2S产生 H2S production | 培养基中无黑色物质产生 No black substance was produced in the medium | - | - | - | / |
| 甲基红试验 Methyl red test | 培养液颜色为黄色 The color of the culture medium is yellow | - | - | - | - |
| 柠檬酸盐利用 Citrate utilization | 培养液颜色为蓝色 The color of the culture medium is blue | + | / | / | + |
| 吲哚试验 Indole test | 加入吲哚试剂后,培养液颜色为黄色 After adding indole reagent,the color of the culture medium is yellow | - | - | - | + |
| V-P试验 V-P test | 培养液为红色 The culture medium is red | + | + | + | + |
表1 拮抗菌株1X1Y的生理生化特征
Table1 Physiological and biochemical characteristics of antagonistic strain 1X1Y
| 项目名称 Object | 试验现象 Experimental phenomenon | 1X1Y | Bacillus velezensis | ||
|---|---|---|---|---|---|
| R1B | XC1 | QYQN-3 | |||
| 葡萄糖酵解 Glucose fermentation | 培养基变为黄色,无气泡 The culture medium turns yellow and there are no bubbles | + | + | + | + |
| 乳糖酵解 Lactose fermentation | 培养基变为紫色,无气泡 The culture medium turns purple and there are no bubbles | - | / | / | + |
| 淀粉水解 Starch hydrolysis | 培养基颜色为紫色The culture medium turns purple | + | + | + | + |
| 明胶液化 Gelatin liquefaction | 培养基为液态 The culture medium is liquid | + | + | + | / |
| 牛奶石蕊 Milk litmus | 凝固胨化 Solidification and peptonization | + | / | / | + |
| 脲酶产生 Urease | 培养液颜色为红色 The color of the culture medium is red | + | / | / | / |
| H2S产生 H2S production | 培养基中无黑色物质产生 No black substance was produced in the medium | - | - | - | / |
| 甲基红试验 Methyl red test | 培养液颜色为黄色 The color of the culture medium is yellow | - | - | - | - |
| 柠檬酸盐利用 Citrate utilization | 培养液颜色为蓝色 The color of the culture medium is blue | + | / | / | + |
| 吲哚试验 Indole test | 加入吲哚试剂后,培养液颜色为黄色 After adding indole reagent,the color of the culture medium is yellow | - | - | - | + |
| V-P试验 V-P test | 培养液为红色 The culture medium is red | + | + | + | + |
图3 贝莱斯芽孢杆菌菌株1X1Y对马铃薯疮痂病原菌Streptomyces turgidiscabies和S. acidiscabies的平板对峙试验
Fig. 3 Plate face-off test of Bacillus velezensis strain 1X1Y against potato common scab pathogens Streptomyces turgidiscabies and S. acidiscabies
| 处理Treatment | S. turgidiscabies | S. acidiscabies |
|---|---|---|
| 空白对照Control 1 | 0 b | 0 b |
| 纸片对照Control 2 | 0 b | 0 b |
| 1X1Y | 35.14 ± 1.56 a | 34.92 ± 0.90 a |
表2 菌株1X1Y培养液对马铃薯疮痂链霉菌的抑菌圈
Table 2 Inhibitory effect of strain 1X1Y on Streptomyces spp. mm
| 处理Treatment | S. turgidiscabies | S. acidiscabies |
|---|---|---|
| 空白对照Control 1 | 0 b | 0 b |
| 纸片对照Control 2 | 0 b | 0 b |
| 1X1Y | 35.14 ± 1.56 a | 34.92 ± 0.90 a |
| 处理 Treatment | 发病率/% Disease incidence | 病情指数 Disease index | 相对防效/% Relative control effect |
| 对照 Control | 100.00 ± 0.00 a | 59.33 ± 5.84 a | — |
| JYC 314 | 88.33 ± 11.25 b | 28.82 ± 7.47 b | 51.42 |
| 1X1Y | 77.42 ± 7.85 b | 25.20 ± 1.77 b | 57.52 |
表3 菌株1X1Y培养液对马铃薯疮痂病的防治效果
Table 3 1X1Y strain culture solution for the prevention and control of potato common scab disease
| 处理 Treatment | 发病率/% Disease incidence | 病情指数 Disease index | 相对防效/% Relative control effect |
| 对照 Control | 100.00 ± 0.00 a | 59.33 ± 5.84 a | — |
| JYC 314 | 88.33 ± 11.25 b | 28.82 ± 7.47 b | 51.42 |
| 1X1Y | 77.42 ± 7.85 b | 25.20 ± 1.77 b | 57.52 |
图5 菌株1X1Y抗菌物质合成相关基因PCR检测及溶血、排油试验结果
Fig. 5 Detection of genes related to synthesis of antimicrobial substances by PCR and results of hemolysis and oil discharge tests in strain 1X1Y
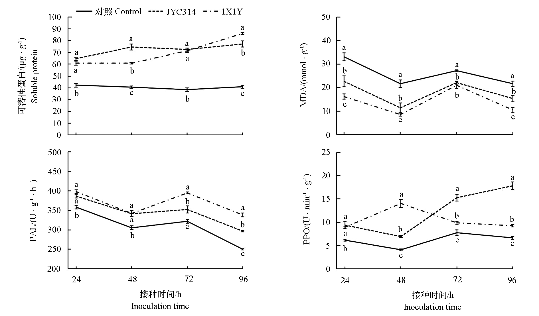
图7 菌株1X1Y对马铃薯植株可溶性蛋白和丙二醛含量及防御酶活性的影响 图中同期小写字母表示经LSD法检验差异显著(P < 0.05)。下同
Fig. 7 Effect of 1X1Y on soluble protein,malondialdehyde content and defense enzyme activity of potato plants The lowercase letters of the same period in the figure indicate significant differences(P < 0.05)as tested by LSD method. The same below
图9 菌株1X1Y固氮、解钙、解镁、溶锌及产ACC脱氨酶活性检测
Fig. 9 Detection of the activities of strain 1X1Y for nitrogen fixation,calcium,magnesium,zinc dissolution and ACC deaminase production
| [1] |
doi: 10.16409/j.cnki.2095-039x.2021.04.005 |
|
曹伟平, 陆晴, 鹿秀云, 臧卫平, 宋健. 2021. 花生果腐病拮抗菌贝莱斯芽胞杆菌Hsg1949鉴定与防效. 中国生物防治学报, 37 (4):761-770.
doi: 10.16409/j.cnki.2095-039x.2021.04.005 |
|
| [2] |
doi: 10.13345/j.cjb.210804 pmid: 35786480 |
|
陈芳芳, 余小妹, 韩晶晶, 吴春, 庞海月, 张书迪, 陈煜沛. 2022. 贝莱斯芽孢杆菌抗真菌能力及基因组分析. 生物工程学报, 38 (6):2292-2307.
pmid: 35786480 |
|
| [3] |
|
|
陈少先, 刘悦, 余倩. 2022. 贝莱斯芽孢杆菌zk1对鹰嘴桃腐败真菌的抑菌作用. 中国食品添加剂, 33 (10):18-27.
|
|
| [4] |
|
|
程欢欢, 余水, 姚伟伟, 李忠, 彭丽娟, 丁海霞. 2019. 辣椒炭疽病生防芽孢杆菌的筛选及田间防效. 河南农业大学学报, 53 (4):568-573.
|
|
| [5] |
|
|
邓丽, 孙冉, 姚蒋庞, 谢毓丹. 2021 贝莱斯芽孢杆菌粗提物对金黄色葡萄球菌的抑菌机制. 食品与发酵科技, 57 (3):1-9.
|
|
| [6] |
|
|
东秀珠, 蔡妙英. 2001. 常见细菌系统鉴定手册. 北京: 科学出版社.
|
|
| [7] |
|
|
方园, 彭勇政, 廖长贵, 陈路生, 周琦, 黄俭, 阎依超, 王慕媛, 张祎坤, 邹丽芳, 陈功友. 2022. 一株具有防病促生功能的贝莱斯芽孢杆菌SF327. 微生物学报, 62 (10):4071-4088.
|
|
| [8] |
|
|
振峰, 赵佳. 2022. 贝莱斯芽孢杆菌ZSY-1脂肽物质对番茄采后软化及早疫病发生的影响. 西北农业学报, 31 (1):89-98.
|
|
| [9] |
|
|
何碧珀, 郝学政, 刘红彦, 倪云霞, 刘新涛, 赵新贝, 赵辉. 2018. 解淀粉芽孢杆菌B10-26对芝麻的促生防病效果及其定殖能力分析. 河南农业科学, 47 (12):78-83.
|
|
| [10] |
doi: 10.13430/j.cnki.jpgr.2017.04.023 |
|
何虎翼, 谭冠宁, 何新民, 唐洲萍, 李丽淑, 杨鑫. 2017. 马铃薯品种(系)资源的疮痂病抗性鉴定. 植物遗传资源学报, 18 (4):786-793.
doi: 10.13430/j.cnki.jpgr.2017.04.023 |
|
| [11] |
|
|
何建清, 张格杰, 赵伟进, 王孝先. 2019. 青稞根际优良联合固氮菌的筛选及鉴定. 干旱地区农业研究, 37 (5):182-186,192.
|
|
| [12] |
|
|
黄永辉, 杨媚, 权永兵, 周而勋. 2015. 苯并噻二唑对香蕉枯萎病的诱导抗性. 华中农业大学学报, 34 (3):36-41.
|
|
| [13] |
|
|
姬文秀, 李虎林, 冷雪, 金正勋. 2019. 产ACC脱氨酶人参内生细菌的分离和促生特性分析. 吉林农业大学学报, 41 (2):168-174.
|
|
| [14] |
doi: S0168-1656(16)31623-6 pmid: 27899334 |
| [15] |
doi: 10.16409/j.cnki.2095-039x.2018.05.012 |
|
李丹, 李茸梅, 秦伟英, 周宇, 尚巧霞, 任争光, 魏艳敏, 赵晓燕. 2018. 两株解淀粉芽胞杆菌对西瓜枯萎病的防治作用及其相关生防因子检测. 中国生物防治学报, 34 (5):729-737.
doi: 10.16409/j.cnki.2095-039x.2018.05.012 |
|
| [16] |
|
|
李苗, 李彦铭, 冯瑞章, 张子娴, 周万海, 杨福珍, 魏琴, 左山, 刘洋. 2020. 特色香料作物油樟叶内生Bacillus velezensis YZ12的鉴定及拮抗病原菌活性. 生物资源, 42 (4):414-420.
|
|
| [17] |
|
|
李生樟, 陈颖, 杨瑞环, 张翠萍, 刘昭, 李逸朗, 陈涛, 陈功友, 邹丽芳. 2019. 一株拮抗黄单胞菌的贝莱斯芽孢杆菌的分离和鉴定. 微生物学报, 59 (10):1969-1983.
|
|
| [18] |
doi: 10.13560/j.cnki.biotech.bull.1985.2016-0826 |
|
李玉洋, 辛寒晓, 范学明, 刘丽英, 孙中涛. 2017. 水稻恶苗病拮抗菌的筛选,鉴定及其抑菌活性. 生物技术通报, 33 (5):190-196.
doi: 10.13560/j.cnki.biotech.bull.1985.2016-0826 |
|
| [19] |
doi: 10.11978/j.issn.1009-5470.2010.05.149 |
|
凌娟, 董俊德, 张燕英, 杨志浩, 王友绍. 2010. 一株红树林根际固氮菌的分离,鉴定以及固氮活性测定. 热带海洋学报, 29 (5):149-153.
|
|
| [20] |
|
|
罗文建, 杨凡, 史宣杰, 赵秀云. 2018. 黄瓜枯萎病拮抗菌的分离鉴定及其生物防效. 华中农业大学学报, 37 (3):32-38.
|
|
| [21] |
|
|
孟璐璐, 于春蕾, 薛德胜, 李保华, 梁文星, 王彩霞. 2019. BHT对苹果采后灰霉病的防效及防御酶活性和丙二醛含量的影响. 植物保护学报, 46 (3):686-692.
|
|
| [22] |
|
|
欧婷, 金必堃, 高海英, 王若琳, 张雨阳, 左伟东, 谢洁. 2022. Bacillus velezensis SWUJ1拮抗物质分离纯化及抑菌机理研究. 西南大学学报(自然科学版), 44 (1):75-87.
|
|
| [23] |
|
|
任氢欣, 王继华, 曾齐, 张必弦, 刘秀林. 2022. 大豆根际踝节真菌WR1-4的溶磷特性研究. 农业生物技术学报, 30 (1):114-124.
|
|
| [24] |
|
|
桑建伟, 杨扬, 陈奕鹏, 蔡吉苗, 陆翠梅, 黄贵修. 2018. 内生解淀粉芽孢杆菌BEB17脂肽类和聚酮类化合物的抑菌活性分析. 植物病理学报, 48 (3):402-412.
|
|
| [25] |
doi: 10.11924/j.issn.1000-6850.2010-1478 |
|
单文荣, 李俊霞, 刘花粉. 2010. 滤纸片法筛选不同活性物对棉花黄萎病菌抑制效果研究. 中国农学通报, 26 (19):285-289.
|
|
| [26] |
|
|
石莹莹, 赵盼, 宋双伟, 熊悯梓, 莫乘宝, 仲乃琴. 2020. 马铃薯疮痂病拮抗菌YN-2-2的分离与鉴定. 微生物学通报, 47 (8):2425-2435.
|
|
| [27] |
Sichuan Xinlanyue Biotechnology Co.,Ltd., Sichuan Lanyue Technology Co.,Ltd. 2021. A strain of Bacillus velezensis and its cultivation method and application:China,202011401120.4. 2021-04-30. (in Chinese)
|
|
四川省新兰月生物科技有限公司, 四川省兰月科技有限公司. 2021. 一株贝莱斯芽孢杆菌及其培养方法和应用:中国:202011401120.4.2021-04-30.
|
|
| [28] |
|
|
孙延超, 杨太新, 袁梦佳. 2020. 不同柴胡种质抗寒性及其与生理指标的相关性研究. 中药材, 43 (1):5-8.
|
|
| [29] |
|
|
台莲梅, 陈志垚, 王鹏, 王钰琪, 金光辉, 靳学慧. 2021. 马铃薯疮痂病菌Streptomyces scabies拮抗细菌筛选及鉴定. 河南农业科学, 50 (11):108-116.
|
|
| [30] |
|
|
涂志华, 周凌峰, 黄艳萍, 陈夙怡, 陈金辉, 李胜男. 2021. 海南岛黎母山国家自然保护区热带云雾林土壤酶活性的根际效应. 水土保持通报, 41 (3):1-7.
|
|
| [31] |
|
|
王迪, 高岩, 吴小双, 张威, 舒金平, 张亚波, 翟凤艳. 2022. 两株贝莱斯芽胞杆菌鉴定及其对薄壳山核桃黑斑病病原菌的拮抗效果. 中国生物防治学报, 38 (6):1572-1581.
doi: 10.16409/j.cnki.2095-039x.2022.08.003 |
|
| [32] |
|
|
王明月, 刘绍雄, 熊智, 丁雅迪, 王艳玲, 李克艳, 阳廷丹, 陶茜, 王金华. 2014. 石漠化地区豆科植物根瘤菌降解碳酸钙、镁能力研究. 生态环境学报, 23 (10):1581-1585.
|
|
| [33] |
|
|
王楠, 廖永琴, 施竹凤, 申云鑫, 杨童雨, 冯路遥, 矣小鹏, 唐加菜, 陈齐斌, 杨佩文. 2024. 三株无量山森林土壤芽孢杆菌鉴定及其生物活性挖掘. 生物技术通报, 40 (2):277-288.
doi: 10.13560/j.cnki.biotech.bull.1985.2023-0918 |
|
| [34] |
|
|
王若琳, 徐伟芳, 王飞, 周小磊, 郑月, 江鸿森, 谢洁. 2019. 桑树内生拮抗菌的分离鉴定及其对桑断枝烂叶病的生防初探. 微生物学报, 59 (11):2130-2143.
|
|
| [35] |
|
|
王伟楠, 兰智勇, 喻文丽, 孙庆培, 李佩琪, 樊永红. 2021. 盐穗木根际产ACC脱氨酶耐盐菌株的筛选及鉴定. 中国土壤与肥料,(2):270-275.
|
|
| [36] |
|
|
王玉霞, 姜威, 刘宇帅, 孟利强, 李晶, 曹旭, 胡基华, 陈静宇, 张淑梅. 2016. 寒地耐冷生防菌株筛选鉴定及特性研究. 东北农业大学学报, 47 (8):31-38.
|
|
| [37] |
|
|
魏艳侠, 李卓然, 张斌, 苑瑜瑾, 于玮玮, 常若葵, 王远宏. 2021. 贝莱斯芽孢杆菌LJ02中植物免疫蛋白的筛选及其功能. 中国农业科学, 54 (16):3451-3460.
doi: 10.3864/j.issn.0578-1752.2021.16.008 |
|
| [38] |
doi: 10.13560/j.cnki.biotech.bull.1985.2018-0870 |
|
武利勤, 尚宏忠, 顾海科. 2019. 拮抗匍枝根霉的生防菌R1B的筛选鉴定和抑菌活性分析. 生物技术通报, 35 (4):29-35.
doi: 10.13560/j.cnki.biotech.bull.1985.2018-0870 |
|
| [39] |
|
|
徐欣韵, 王宁, 丁佳, 陈研, 田光明. 2021 番茄青枯病拮抗菌的定向筛选及其抗病促生机制研究. 微生物学报, 61 (10):3276-3290.
|
|
| [40] |
|
|
徐媛媛, 胡党振, 南京, 詹平, 姜玲. 2022. 两种芽孢杆菌共处理对感染黄龙病的柑桔苗的作用. 中国南方果树, 51 (1):9-18.
|
|
| [41] |
doi: 10.16420/j.issn.0513-353x.2020-0476 URL |
|
闫助冰, 王玫, 明常军, 姜远茂, 沈向, 陈学森, 尹承苗, 毛志泉. 2021. 贝莱斯芽孢杆菌XC1的筛选、鉴定及其对苹果连作障碍的影响. 园艺学报, 48 (3):409-420.
doi: 10.16420/j.issn.0513-353x.2020-0476 URL |
|
| [42] |
|
|
杨迪, 杜婵娟, 张晋, 潘连富, 叶云峰, 黄思良, 付岗. 2021. 香蕉枯萎病拮抗菌贝莱斯芽胞杆菌的筛选鉴定及其生物学特性. 中国生物防治学报, 37 (1):165-171.
doi: 10.16409/j.cnki.2095-039x.2021.01.031 |
|
| [43] |
|
|
杨晓蕾, 钱国良, 范加勤, 胡白石, 刘凤权. 2014. 梨黑斑病菌拮抗细菌的筛选鉴定及其拮抗活性的研究. 南京农业大学学报, 37 (1):68-74.
|
|
| [44] |
|
|
杨艳丽, 刘霞. 2019. 马铃薯病害. 北京: 科学出版社:54-59.
|
|
| [45] |
Yunnan Agricultural University. 2022. Antagonistic strain JYC 314 and its application:China,202210041956.0. 2022-08-23. (in Chinese)
|
|
云南农业大学. 2022. 拮抗菌株JYC 314及其应用:中国,202210041956.0. 2022-08-23.
|
|
| [46] |
|
|
臧超群, 林英, 谢瑾卉, 刘晓舟, 裴雪, 梁春浩. 2021. 贝莱斯芽孢杆菌BP-1对花生网斑病菌的抑菌机制初探. 扬州大学学报:农业与生命科学版, 42 (5):130-134.
|
|
| [47] |
|
|
曾欣, 张亚惠, 迟惠荣, 孙钟毓, 陈卫良, 毛碧增. 2019. 温郁金内生拮抗细菌B-11的分离及其抑菌活性. 微生物学通报, 46 (5):1018-1029.
|
|
| [48] |
doi: 10.13995/j.cnki.11-1802/ts.020737 |
|
张彩文, 程坤, 张欣, 刘波, 都海渤, 姚粟. 2019. 贝莱斯芽胞杆菌(Bacillus velezensis)分类学及功能研究进展. 食品与发酵工业, 45 (17):258-265.
doi: 10.13995/j.cnki.11-1802/ts.020737 |
|
| [49] |
|
|
张德锋, 高艳侠, 王亚军, 刘春, 石存斌. 2020. 贝莱斯芽孢杆菌的分类,拮抗功能及其应用研究进展. 微生物学通报, 47 (11):3634-3649.
|
|
| [50] |
|
|
张德珍, 迟文娟, 李婷婷, 代惠洁, 乔宁, 王翠翠. 2021. 辣椒疫病生防菌的防病促生作用及其鉴定. 山东农业科学, 53 (10):91-96.
|
|
| [51] |
doi: 10.16409/j.cnki.2095-039x.2021.06.011 |
|
张丽娟, 黄伟, 王宁, 宋博, 朱静, 热依罕姑丽 · 阿卜杜克依穆, 布坚乃提 · 阿巴斯, 王玮. 2021. 耐辐射芽胞杆菌JK23的鉴定及其生防活性研究. 中国生物防治学报, 37 (5):997-1006.
doi: 10.16409/j.cnki.2095-039x.2021.06.011 |
|
| [52] |
|
|
张萌, 刘伯, 于秀梅, 赵伟全, 刘大群. 2010. 中国马铃薯疮痂病菌生物学特性分析. 中国农业科学, 43 (12):2603-2610.
doi: 10.3864/j.issn.0578-1752.2010.12.028 |
|
| [53] |
|
|
张倩, 陈雨诗, 许春艳, 邹曼, 包汶婷, 郗良卿, 辛力, 陈义伦. 2023. 贝莱斯芽孢杆菌防治甜樱桃采后软腐病的效果和机理. 食品科学, 44 (7):229-239.
|
|
| [54] |
|
|
张琼,
doi: 10.11963/1002-7807.zqtcm.20200609 |
|
| [55] |
|
|
张哲, 刘霞, 王兴国, 杨俐, 陈丽, 黄勋, 张雅敏, 杨艳丽. 2023. 磷酸二氢钾影响马铃薯对晚疫病抗性的初步研究. 植物保护, 49 (3):85-91,140.
|
|
| [56] |
|
|
赵文娟, 付博, 徐升运, 任平. 2017. 生防菌SF1103、SF1104对黄瓜枯萎病菌的拮抗作用. 西北农业学报, 26 (10):1537-1543.
|
|
| [57] |
doi: 10.16409/j.cnki.2095-039x.2021.06.005 |
|
周红姿, 周方园, 段成鼎, 吴晓青, 赵晓燕, 谢雪迎, 张广志, 范素素, 张新建. 2021. 玉米穗腐病菌的拮抗菌筛选,鉴定及降解DON毒素能力测定. 中国生物防治学报, 37 (5):1016-1023.
doi: 10.16409/j.cnki.2095-039x.2021.06.005 |
|
| [58] |
|
|
周向平, 滕凯, 肖启明, 陈武, 王凯歌, 张洪波, 刘峰, 刘天波. 2022. 贝莱斯芽胞杆菌F10促生作用及对烟草青枯病的防治效果. 烟草科技, 55 (7):9-16.
|
|
| [59] |
|
| [1] | 周进华, 白 磊, 张 锐, 郭华春, . 秸秆覆盖降温栽培对马铃薯生长的影响[J]. 园艺学报, 2025, 52(2): 453-466. |
| [2] | 仲阳, 秦亚芝, 罗帅, 荆玉玲, 王万兴, 李广存, 胡新喜, 秦玉芝, 程旭, 熊兴耀. 泥炭和蘑菇渣改土对马铃薯根源微生物组及产量的影响[J]. 园艺学报, 2024, 51(9): 2143-2154. |
| [3] | 覃艮红, 袁洪波, 王卓妮, 史冰柯, 范洋洋, 王丽, 张猛, 涂洪涛, 徐超, 侯珲. 蜡样芽孢杆菌挥发物对苹果轮纹病菌的拮抗活性[J]. 园艺学报, 2024, 51(6): 1403-1412. |
| [4] | 张文静, 徐大勇, 吴倩琳, 杨佛, 信丙越, 曾昕, 李峰. 拮抗番茄灰霉病的贝莱斯芽孢杆菌XDY66基因组分析[J]. 园艺学报, 2024, 51(6): 1413-1425. |
| [5] | 范国权, 喻江, 高艳玲, 李庆全, 张抒, 于镇华. 马铃薯种薯催芽、切块和包衣对其立枯丝核菌病的影响[J]. 园艺学报, 2024, 51(5): 1151-1161. |
| [6] | 韩琴, 高惠惠, 马香, 苏建宇, 徐春燕. 枸杞根际根腐病拮抗细菌的筛选及其防效检测[J]. 园艺学报, 2024, 51(5): 1162-1172. |
| [7] | 强然, 张岱, 杨喆, 陈明玥, 赵景, 朱杰华. 解淀粉芽胞杆菌L19对马铃薯枯萎病菌的抑制及植株的促生作用[J]. 园艺学报, 2024, 51(4): 875-892. |
| [8] | 贾淑鑫, 李金, 闫思远, 郭苗苗, 王若彤, 顾沛雯. 嗜线虫镰刀菌NQ8GⅡ4对枸杞根腐病的防效及其机制研究[J]. 园艺学报, 2024, 51(3): 631-642. |
| [9] | 李爽, 林永鑫, 秦军红, 李广存, 金黎平, 刘建刚, 卞春松. 马铃薯氮素诊断研究进展[J]. 园艺学报, 2024, 51(10): 2449-2468. |
| [10] | 李素平, 李微, 韩冷, 黄建国. 贝莱斯芽孢杆菌HY19挥发物对采后柑橘的防腐效果[J]. 园艺学报, 2024, 51(1): 162-174. |
| [11] | 刘仕达, 邱泽澜, 李晓刚, 钟杰, 朱俊子. 辣椒白绢病拮抗放线菌SD-64的鉴定及作用机制研究[J]. 园艺学报, 2024, 51(1): 175-189. |
| [12] | 陈汝豪, 孟繁烨, 杨曼华, 陈家茹, 邹莹, 宋波涛, 马恢, 聂碧华. 茄科作物基因组内源病毒元件的分析鉴定[J]. 园艺学报, 2024, 51(1): 190-202. |
| [13] | 王荣艳, 李清, 徐灵, 王秋洁, 宋昱, 母昌冉, 唐唯, 郝大海. 马铃薯‘合作88’自交分离群体叶绿体基因组遗传组成分析[J]. 园艺学报, 2023, 50(8): 1649-1663. |
| [14] | 邓成凤, 李素平, 张瑞轩, 韩冷, 李勇. 产酶溶杆菌LE16对采后柑橘青霉绿霉病的防治作用[J]. 园艺学报, 2023, 50(7): 1574-1586. |
| [15] | 贡丹敏, 蔡林志, 丁仁, 马燕燕, 王万兴, 熊兴耀, 胡新喜. 钾肥种类对马铃薯生长和镉吸收积累的影响[J]. 园艺学报, 2023, 50(6): 1332-1342. |
| 阅读次数 | ||||||
|
全文 |
|
|||||
|
摘要 |
|
|||||
版权所有 © 2012 《园艺学报》编辑部 京ICP备10030308号-2 国际联网备案号 11010802023439
编辑部地址: 北京市海淀区中关村南大街12号中国农业科学院蔬菜花卉研究所 邮编: 100081
电话: 010-82109523 E-Mail: yuanyixuebao@126.com
技术支持:北京玛格泰克科技发展有限公司