园艺学报 ›› 2024, Vol. 51 ›› Issue (3): 631-642.doi: 10.16420/j.issn.0513-353x.2022-1173
贾淑鑫, 李金, 闫思远, 郭苗苗, 王若彤, 顾沛雯*(
)
收稿日期:2023-03-18
修回日期:2023-11-08
出版日期:2024-03-25
发布日期:2024-03-22
通讯作者:
基金资助:
JIA Shuxin, LI Jin, YAN Siyuan, GUO Miaomiao, WANG Ruotong, GU Peiwen*(
)
Received:2023-03-18
Revised:2023-11-08
Published:2024-03-25
Online:2024-03-22
摘要:
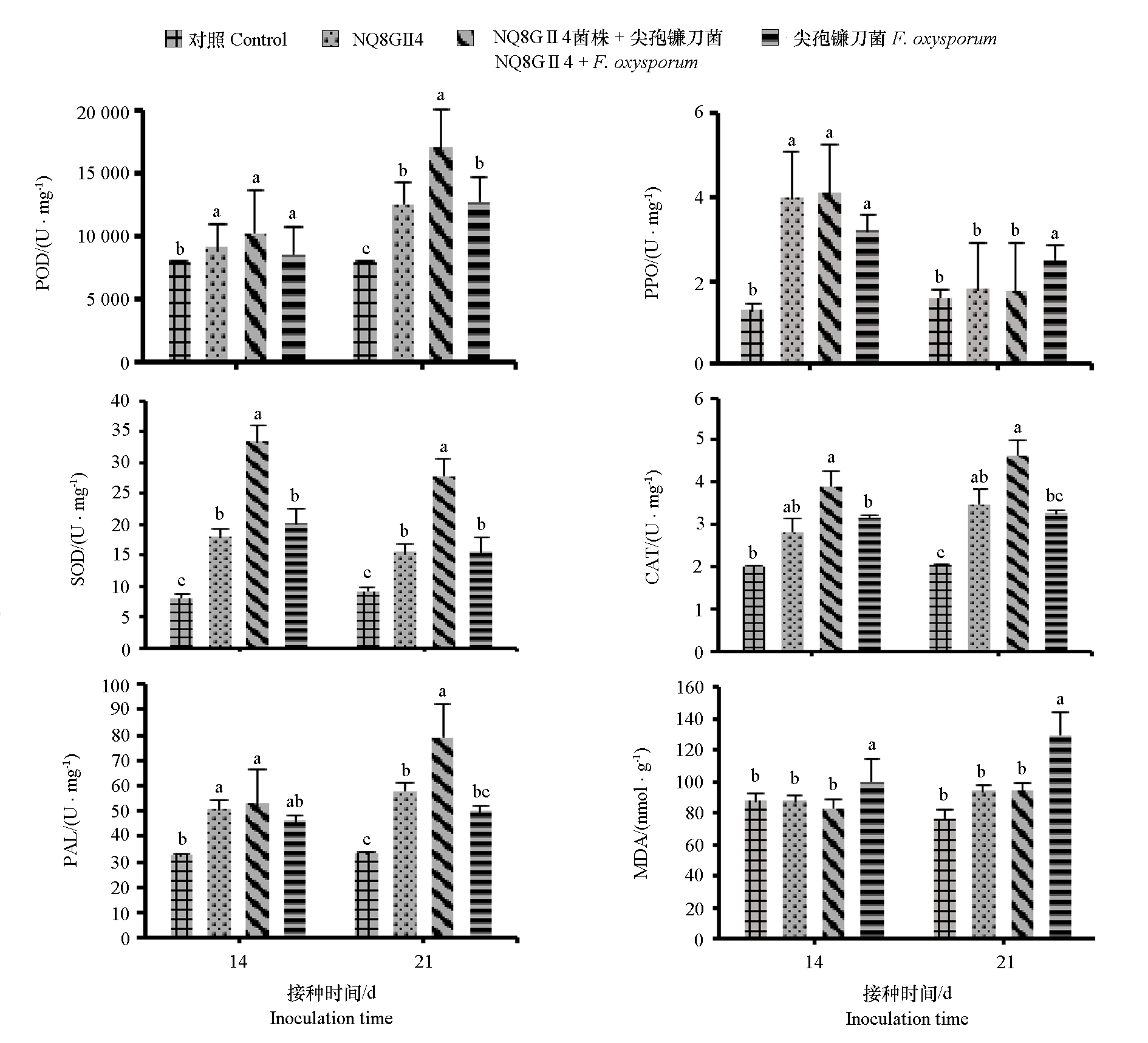
为明确内生真菌嗜线虫镰刀菌(Fusarium nematophilum)NQ8GⅡ4菌株对枸杞根腐病的防效及作用机制,利用平板对峙法测定其对枸杞根腐病原菌(Fusarium oxysporum f. sp. lycium barbarum)菌丝生长的抑制作用,通过盆栽试验测定对枸杞根腐病的防治效果,并采用防御酶活性测定和组织化学染色分析其作用机制。结果表明,预先3 d接种NQ8GⅡ4菌株能显著抑制尖孢镰刀菌菌丝的生长,抑制率高达70.07%。拌土法接种NQ8GⅡ4菌株可显著降低温室中枸杞根腐病的发生,防效为76.38%,与化学药剂多菌灵防效相当。接种NQ8GⅡ4菌株显著促进枸杞生长,株高、侧枝数、叶宽、茎粗和根长分别比对照增加了37.61%、90.56%、52.50%、32.35%和44.69%。在病原菌胁迫下,接种NQ8GⅡ4后21 d与不接种相比POD、SOD、PAL和CAT活性分别增加33.92%、65.64%、57.96%和41.59%,MDA含量减少44.23%。说明接种NQ8GⅡ4菌株可以促进枸杞幼苗生长,激发植株体内防御酶活性,缓解病原菌胁迫导致的膜脂过氧化作用,进而提高对根腐病的抗性,该菌株具有良好的生防潜力和应用前景。
贾淑鑫, 李金, 闫思远, 郭苗苗, 王若彤, 顾沛雯. 嗜线虫镰刀菌NQ8GⅡ4对枸杞根腐病的防效及其机制研究[J]. 园艺学报, 2024, 51(3): 631-642.
JIA Shuxin, LI Jin, YAN Siyuan, GUO Miaomiao, WANG Ruotong, GU Peiwen. Analysis of the Control Effect of Biocontrol Fungus Strain Fusarium nematophilum NQ8GⅡ4 on Chinese Wolfberry Root Rot and Its Resistance Induction Mechanism[J]. Acta Horticulturae Sinica, 2024, 51(3): 631-642.
图1 NQ8GⅡ4菌株对尖孢镰刀菌的抑制作用 A:尖孢镰刀菌;B:NQ8GⅡ4 + 尖孢镰刀菌;C、D:预先3 d接种NQ8GⅡ4 + 尖孢镰刀菌。
Fig. 1 Inhibitory effect of strain NQ8GⅡ4 on the growth of Fusarium oxysporum A:F. oxysporum;B:NQ8GⅡ4 + F. oxysporum;C,D:NQ8GⅡ4,3 d + F. oxysporum.
| 接种处理 Inoculate treatment | 菌落半径/cm Colony radius | 抑制率/% Inhibition rate |
|---|---|---|
| 尖孢镰刀菌F. oxysporum | 4.41 ± 0.00 a | 0 c |
| NQ8GⅡ4菌株 + 尖孢镰刀菌 NQ8GⅡ4 + F. oxysporum | 1.61 ± 0.01 b | 63.48 ± 0.57 b |
| 预先3 d接种NQ8GⅡ4 + 尖孢镰刀菌 NQ8GⅡ4,3 d + F. oxysporum | 1.32 ± 0.02 b | 70.07 ± 0.58 a |
表1 NQ8GⅡ4菌株对尖孢镰刀菌的抑制作用
Table 1 Inhibitory effect of NQ8GⅡ4 on mycelial growth of Fusarium oxysporum
| 接种处理 Inoculate treatment | 菌落半径/cm Colony radius | 抑制率/% Inhibition rate |
|---|---|---|
| 尖孢镰刀菌F. oxysporum | 4.41 ± 0.00 a | 0 c |
| NQ8GⅡ4菌株 + 尖孢镰刀菌 NQ8GⅡ4 + F. oxysporum | 1.61 ± 0.01 b | 63.48 ± 0.57 b |
| 预先3 d接种NQ8GⅡ4 + 尖孢镰刀菌 NQ8GⅡ4,3 d + F. oxysporum | 1.32 ± 0.02 b | 70.07 ± 0.58 a |
图2 NQ8GⅡ4菌株对接种的枸杞苗根腐病的生防试验 不同小写字母表示各处理间差异显著(P < 0.05)。
Fig. 2 Potting efficacy of NQ8GⅡ4 strain against Chinese wolfberry root rot inoculated with Fusarium oxysporum Different lowercase letters indicate significant differences among different treatments at 0.05 level.
| 接种处理 Inoculate treatment | 株高/cm Plant height | 侧枝数 Number of side branches | 叶宽/cm Leaf width | 茎粗/cm Stem diameter | 根长/cm Root length |
|---|---|---|---|---|---|
| 对照Control | 57.00 ± 14.89 b | 2.33 ± 0.33 b | 0.80 ± 1.13 b | 0.34 ± 0.04 bc | 14.23 ± 2.40 b |
| NQ8GⅡ4 | 78.44 ± 2.32 a | 4.44 ± 0.41 a | 1.22 ± 0.26 a | 0.45 ± 0.02 a | 20.59 ± 4.05 a |
| 尖孢镰刀菌F. oxysporum | 43.16 ± 17.62 c | 2.26 ± 0.34 b | 0.66 ± 1.18 b | 0.37 ± 0.05 b | 11.92 ± 2.79 b |
| NQ8GⅡ4 + 尖孢镰刀菌NQ8GⅡ4 + F. oxysporum | 77.87 ± 3.29 a | 4.00 ± 0.24 a | 1.14 ± 1.20 a | 0.41 ± 0.05 ab | 18.03 ± 3.97 a |
表2 NQ8GⅡ4菌株对接种尖孢镰刀菌的枸杞农艺性状的影响
Table 2 The effect of strain NQ8GⅡ4 on the growth indexes of Chinese wolfberry with Fusarium oxysporum
| 接种处理 Inoculate treatment | 株高/cm Plant height | 侧枝数 Number of side branches | 叶宽/cm Leaf width | 茎粗/cm Stem diameter | 根长/cm Root length |
|---|---|---|---|---|---|
| 对照Control | 57.00 ± 14.89 b | 2.33 ± 0.33 b | 0.80 ± 1.13 b | 0.34 ± 0.04 bc | 14.23 ± 2.40 b |
| NQ8GⅡ4 | 78.44 ± 2.32 a | 4.44 ± 0.41 a | 1.22 ± 0.26 a | 0.45 ± 0.02 a | 20.59 ± 4.05 a |
| 尖孢镰刀菌F. oxysporum | 43.16 ± 17.62 c | 2.26 ± 0.34 b | 0.66 ± 1.18 b | 0.37 ± 0.05 b | 11.92 ± 2.79 b |
| NQ8GⅡ4 + 尖孢镰刀菌NQ8GⅡ4 + F. oxysporum | 77.87 ± 3.29 a | 4.00 ± 0.24 a | 1.14 ± 1.20 a | 0.41 ± 0.05 ab | 18.03 ± 3.97 a |
图4 NQ8GⅡ4对接种尖孢镰刀菌的枸杞防御酶活性和MDA含量的影响 不同小写字母表示各处理间差异显著(P < 0.05)。
Fig. 4 Effect of NQ8GⅡ4 on defence enzyme activity and MDA content of Chinese wolfberry inoculated with Fusarium oxysporum Different lowercase letters indicate significant differences among different treatments at 0.05 level.
图5 枸杞叶片组织化学染色 A:DAB染色(H2O2);B:NBT染色(超氧阴离子);C:希夫试剂染色(膜质过氧化);D:台盼蓝染色(细胞程序性死亡)。
Fig. 5 Histochemical staining of Lycium barbarum leaves A:DAB staining;B:NBT staining;C:Schiff staining;D:Trypan blue staining.
| [1] |
|
|
陈伶俐. 2015. 柴达木地区枸杞根腐病病原菌生物学特性及药剂防治研究[硕士论文]. 西宁: 青海大学.
|
|
| [2] |
|
|
陈思杰, 杜娟, 张涛, 顾沛雯. 2021. 宁夏枸杞根腐病病原研究. 农业科学研究, 42 (4):7-11.
|
|
| [3] |
|
|
陈思杰, 张涛, 贾宝森, 杜鹃, 闫思远, 顾沛雯. 2022. 深色有隔内生真菌对枸杞根腐病菌抑菌活性. 园艺学报, 49 (7):1519-1531.
doi: 10.16420/j.issn.0513-353x.2021-0438 |
|
| [4] |
|
| [5] |
|
|
高芬, 任小霞, 王梦亮, 秦雪梅. 2015. 中草药根腐病及其微生物防治研究进展. 中国中药杂志, 40 (21):4122-4126.
|
|
| [6] |
|
|
胡丽杰, 闫思远, 李嘉泓, 杜娟, 顾沛雯. 2020. 枸杞内生真菌对胶孢炭疽菌Colletotrichum gloeosporioides的拮抗作用及生防潜力. 植物保护, 46 (1):125-133.
|
|
| [7] |
|
|
李柄霖, 丁德东, 何静, 李彦湘, 赵吉桃, 候彩霞, 赵倩. 2022. 丛枝菌根真菌对枸杞生长及抗根腐病的影响. 云南农业大学学报(自然科学), 37 (4):547-552.
|
|
| [8] |
|
|
李素平, 冯笑, 朱云云, 李勇, 汪文强, 杨红军. 2019. 烟管菌M-1对小麦苗期赤霉病的防效及其生理生化机制分析. 植物保护学报, 46 (4):795-804.
|
|
| [9] |
|
|
李薛娟, 阿孝珠, 白露超. 2021. 诺木洪枸杞根腐病病原菌的分离与鉴定. 分子植物育种, 19 (4):1232-1236.
|
|
| [10] |
|
|
林陈强, 李占飞, 张慧, 林戎斌, 林新坚, 陈济琛. 2013. 枯草芽孢杆菌CS16诱导香蕉抗病性相关防御酶系的研究. 福建农业学报, 28 (6):570-574.
|
|
| [11] |
|
|
刘思睿. 2020. 贵州省太子参主要根部病害病原鉴定及防治[硕士论文]. 贵阳: 贵州大学.
|
|
| [12] |
|
|
潘龙其, 张丽, 袁庆华, 王瑜, 苗丽宏, 马甲强. 2016. 不同杀菌剂对拟枝孢镰刀菌的毒力测定及田间防效. 中国农业大学学报, 21 (1):87-96.
|
|
| [13] |
|
| [14] |
|
|
蒲丹丹, 张亚林, 白红燕, 魏峰, 冯鸿杰, 赵丽红, 顾爱星, 朱荷琴, 彭军, 冯自力. 2022. 内生真菌简青霉CEF-818对棉花黄萎病的防治效果及机理. 棉花学报, 34 (4):313-324.
doi: 10.11963/cs20220003 |
|
| [15] |
|
|
邱美莎, 张艳, 曾凤花, 林珊宇, 龙艳艳, 孙正祥, 谢玲. 2022. 深色有隔内生真菌Ochroconis guangxiensis X22诱导子对香蕉的促生和抗枯萎病效果. 南方农业学报, 53 (10):2928-2936.
|
|
| [16] |
|
|
苏珍珠, 冯晓晓, 汪彦欣, 刘小红, 章初龙, 林福呈. 2019. 稻镰状瓶霉促进水稻生长的机制. 菌物学报, 38 (11):2007-2015.
doi: 10.13346/j.mycosystema.190246 |
|
| [17] |
|
|
隋丽, 万婷玉, 路杨, 徐文静, 张正坤, 李启云. 2021. 内生真菌对植物促生、抗逆作用研究进展. 中国生物防治学报, 37 (6):1325-1331.
doi: 10.16409/j.cnki.2095-039x.2021.06.024 |
|
| [18] |
|
|
孙广正, 姚拓, 赵桂琴, 卢虎, 马文彬. 2015. 荧光假单胞菌防治植物病害研究现状与展望. 草业学报, 24 (4):174-190.
doi: 10.11686/cyxb20150421 |
|
| [19] |
|
|
汪茜, 覃晓娟, 陈廷速, 周生茂, 宋娟. 2022. 丛枝菌根真菌与深色有隔内生真菌对姜瘟病的防效及抗病机理初探. 微生物学通报:50 (2):788-801.
|
|
| [20] |
|
| [21] |
|
| [22] |
|
|
徐涛, 胡同乐, 王亚南, 王树桐, 曹克强. 2012. 苹果树皮内生真菌的分离及其对腐烂病的生物防治潜力. 植物保护学报, 39 (4):327-333.
|
|
| [23] |
|
|
薛仁风, 丰明, 黄宇宁,
doi: 10.3864/j.issn.0578-1752.2021.20.003 |
|
| [24] |
|
| [25] |
|
|
赵冬梅, 侯晓丹, 东曼, 白家琪, 范莎莎, 杨志辉, 朱杰华. 2022. AsSod基因调控茄链格孢致病性及对胁迫的响应. 植物保护, 48 (1):37-43.
|
|
| [26] |
|
|
赵建, 黄建国, 袁玲, 时安东, 杜如万, 刑小军. 2014. 寡雄腐霉发酵液对番茄生长的影响及对灰霉病的防治作用. 生态学报, 34 (23):7093-7100.
|
|
| [27] |
|
|
赵沛, 冯自力, 师勇强, 赵丽红, 胡小平, 朱荷琴. 2019. 棉花内生真菌CEF-373菌株对棉花黄萎病的防效及其作用机理. 植物保护学报, 46 (6):1203-1213.
|
|
| [28] |
|
|
张强强, 任苗苗, 顾沛雯. 2022. 枸杞内生嗜线虫镰刀菌对灵武长枣采后致腐真菌的抑制作用. 西北农林科技大学学报(自然科学版),(12):2-11.
|
|
| [29] |
|
|
张鹏, 任茜, 孟思宇, 魏小星, 鲍根生. 2022. 内生真菌对盐胁迫下紫花针茅种子萌发和幼苗生长的研究. 草业学报, 31 (10):110-121.
doi: 10.11686/cyxb2021492 |
|
| [30] |
|
| [31] |
|
|
张晓蓉, 李涛, 王超君, 朱玲玲, 徐露娟, 赵之伟. 2017. 深色有隔内生真菌甘瓶霉对番茄抗枯萎病的作用. 中国生物防治学报, 33 (3):394-400.
|
|
| [32] |
|
|
钟涛, 王智荣, 杜木英. 2021. 微生物源挥发性物质防治采后果蔬病害的研究进展. 微生物学报, 61 (7):1771-1785.
|
|
| [33] |
|
|
周京龙, 冯自力, 冯鸿杰, 李云卿, 袁媛, 李志芳, 魏锋, 师勇强, 赵丽红, 孙正祥, 朱荷琴, 周燚. 2017. 棉花内生蜡状芽孢杆菌YUPP-10对棉花黄萎病的防治作用及机制. 中国农业科学, 50 (14):2717-2727.
doi: 10.3864/j.issn.0578-1752.2017.14.008 |
|
| [34] |
|
| [1] | 覃艮红, 袁洪波, 王卓妮, 史冰柯, 范洋洋, 王 丽, 张 猛, 涂洪涛, 徐 超, 侯 珲, . 蜡样芽孢杆菌挥发物对苹果轮纹病菌的拮抗活性[J]. 园艺学报, 2024, 51(6): 1403-1412. |
| [2] | 韩琴, 高惠惠, 马香, 苏建宇, 徐春燕. 枸杞根际根腐病拮抗细菌的筛选及其防效检测[J]. 园艺学报, 2024, 51(5): 1162-1172. |
| [3] | 强 然, 张 岱, 杨 喆, 陈明玥, 赵 景, 朱杰华, . 解淀粉芽胞杆菌L19对马铃薯枯萎病菌的抑制及植株的促生作用[J]. 园艺学报, 2024, 51(4): 875-892. |
| [4] | 杨雪, 胡进红, 李晶晶, 章英才, 王玲霞, 梁文裕. 宁夏枸杞TGA2转化拟南芥增强其耐盐性[J]. 园艺学报, 2024, 51(12): 2829-2842. |
| [5] | 陈运, 刘全程, 姜鑫娜, 魏雨青, 王凡, 闫磊, 赵健, 曹兴达, 邢红. 枸杞果柄结合力影响因素分析及模型预测[J]. 园艺学报, 2024, 51(11): 2645-2656. |
| [6] | 刘仕达, 邱泽澜, 李晓刚, 钟杰, 朱俊子. 辣椒白绢病拮抗放线菌SD-64的鉴定及作用机制研究[J]. 园艺学报, 2024, 51(1): 175-189. |
| [7] | 邓成凤, 李素平, 张瑞轩, 韩冷, 李勇. 产酶溶杆菌LE16对采后柑橘青霉绿霉病的防治作用[J]. 园艺学报, 2023, 50(7): 1574-1586. |
| [8] | 贺旭, 韩剑, 盛强, 罗明, 包慧芳, 黄伟. 梨火疫病拮抗细菌FX1及其抑菌物质的防病作用[J]. 园艺学报, 2023, 50(5): 1118-1129. |
| [9] | 张晓勇, 李树江, 龙巧芳, 杨友联. 新几内亚凤仙花根腐病病原菌鉴定及杀菌剂室内毒力测定[J]. 园艺学报, 2023, 50(5): 1130-1140. |
| [10] | 崔雪婧, 张家宁, 陈江华, 贾纪春, 林杨, 付艳苹. 纽荷尔脐橙内生真菌参与生理落果的研究[J]. 园艺学报, 2023, 50(12): 2713-2722. |
| [11] | 高云静, 王天好, 胡旺成, 洪霓, 王国平, 王利平. 梨轮纹病菌弱毒株携带产黄青霉病毒水平传染力测定[J]. 园艺学报, 2023, 50(11): 2477-2488. |
| [12] | 史洪丽, 李腊, 郭翠梅, 余婷婷, 简伟, 杨星勇. 番茄灰霉病生防菌株TL1的分离、鉴定及其生防能力分析[J]. 园艺学报, 2023, 50(1): 79-90. |
| [13] | 杜玉玲, 杨凡, 赵娟, 刘书琪, 龙超安. 新鱼腥草素钠对柑橘指状青霉的抑菌作用[J]. 园艺学报, 2023, 50(1): 145-152. |
| [14] | 陈思杰, 张涛, 贾宝森, 杜娟, 闫思远, 顾沛雯. 深色有隔内生真菌对枸杞根腐病菌抑菌活性[J]. 园艺学报, 2022, 49(7): 1519-1531. |
| [15] | 祁利潘, 李越, 王磊, 冯琰, 王宽, 尹江, 郭华春. 马铃薯与枸杞嫁接愈合过程的解剖学观察[J]. 园艺学报, 2022, 49(4): 868-874. |
| 阅读次数 | ||||||
|
全文 |
|
|||||
|
摘要 |
|
|||||
版权所有 © 2012 《园艺学报》编辑部 京ICP备10030308号-2 国际联网备案号 11010802023439
编辑部地址: 北京市海淀区中关村南大街12号中国农业科学院蔬菜花卉研究所 邮编: 100081
电话: 010-82109523 E-Mail: yuanyixuebao@126.com
技术支持:北京玛格泰克科技发展有限公司