园艺学报 ›› 2024, Vol. 51 ›› Issue (5): 1033-1046.doi: 10.16420/j.issn.0513-353x.2023-0200
陈佳悦1, 段英明1, 周雁1, 肖扬1,3, 边银丙1,2,3, 龚钰华1,*(
)
收稿日期:2024-01-19
修回日期:2024-03-11
出版日期:2024-05-25
发布日期:2024-05-29
通讯作者:
* (E-mail:gongyuhua@mail.hzau.edu.cn)
基金资助:
CHEN Jiayue1, DUAN Yingming1, ZHOU Yan1, XIAO Yang1,3, BIAN Yinbing1,2,3, GONG Yuhua1,*(
)
Received:2024-01-19
Revised:2024-03-11
Published:2024-05-25
Online:2024-05-29
Contact:
* (E-mail:gongyuhua@mail.hzau.edu.cn)
摘要:
在已发表的香菇(Lentinula edodes)4个基因组W1-26、NBRC111202、Bin0899和B17中分别鉴定到17、20、19和18个ALDH家族成员,其编码蛋白分属于11个家族,其中家族1成员数量最多。这些ALDH基因分别分布于17、16、16和10个scaffold中,在除W1-26外的其他3个基因组中均存在1 ~ 2对串联重复ALDH基因。香菇与模式真菌裂褶菌(Schizophyllum commune)之间仅存在4对共线性ALDH基因。启动子分析发现香菇W1-26基因组中17个ALDH基因具有光、激素、氧及干旱等10种响应元件,其中光响应元件数量显著多于其他元件。转录组和蛋白质组数据显示,LeW1-26ALDH1N1、LeW1-26ALDH3L1及LeW1-26ALDH6C1对热胁迫不同时间具有显著响应。LeW1-26ALDH3L1基因RNAi转化子与野生型S606菌株相比,在40 ℃热胁迫24 h条件下菌丝IAA含量显著下降了55%,25 ℃下菌丝恢复生长速度显著下降了71%,菌丝生物量显著下降了45%,LeW1-26ALDH1N1和LeW1-26ALDH6C1基因RNAi转化子与野生型相比表型无显著改变。以上结果说明LeW1-26ALDH3L1基因表达水平的下降可能导致热胁迫下菌丝IAA含量降低进而影响菌丝耐热能力。
陈佳悦, 段英明, 周雁, 肖扬, 边银丙, 龚钰华. 香菇ALDH家族基因鉴定、表达及功能分析[J]. 园艺学报, 2024, 51(5): 1033-1046.
CHEN Jiayue, DUAN Yingming, ZHOU Yan, XIAO Yang, BIAN Yinbing, GONG Yuhua. Identification,Expression and Function Analysis of ALDH Gene Family in Lentinula edodes[J]. Acta Horticulturae Sinica, 2024, 51(5): 1033-1046.
| 基因号 ID | 基因名称 Gene name | 引物序列(5'-3') Primer sequence |
|---|---|---|
| LE01Gene01050 | LeW1-26Actin | F:AAGAGCGAAACCCTCGTAGATG;R:GCATCCTGTCCTTCTTACCGAG |
| LE01Gene12649 | LeW1-26ALDH1N1 | F:CCACGCCCAAAGATGTAGATA;R:CCTGCTGATGTTCCTCCATAA |
| LE01Gene12738 | LeW1-26ALDH3L1 | F:ACACTCCCGCCACTACGA;R:CAGCCATCTTCAGGTCACATT |
| LE01Gene12316 | LeW1-26ALDH6C1 | F:AGGGCACTAGCGTAATTGG;R:CACTCGTCCTACTCCATGATTT |
| LE01Gene03960 | LeW1-26ALDH1T1 | F:TGAGACCAACGAGCAGAAAC;R:CAGGACACCATAGTCAAAGGATAG |
| LE01Gene08279 | LeW1-26ALDH1U1 | F:GAAAGGGATGCGCAAGAATTAG;R:CCTCAAACACTGGATGCTATCT |
| LE01Gene07214 | LeW1-26ALDH10D1 | F:CTGAAATAGCCCGATTGGAGAG;R:CTGAGCAAGGCCGCATAATA |
| LE01Gene07676 | LeW1-26ALDH5H1 | F:GTCGCCTCATAACTCTGGAAA;R:GTTCGCCATAGGTTCGGATAG |
| LE01Gene05839 | LeW1-26ALDH7E1 | F:GGCTGTGTATGGATGGAATCT;R:GACAGCACCTCAGCGATAAT |
| LE01Gene12494 | LeW1-26ALDH15B1 | F:GGAACGATCCTCGCAGATAAC;R:GAATGACACGTCTCCTCTGAAC |
| LE01Gene06992 | LeW1-26ALDH4C1 | F:GGAATGATCGTGCTGCTATCT;R:CTTTCCTTGACCCAGCATAGT |
| LE01Gene04469 | LeW1-26ALDHnew2A1 | F:GAATGCACCGAGGCTAACA;R:GCCTCCATAGCGATTACTCTTC |
| LE01Gene06747 | LeW1-26ALDH3M1 | F:CTATCGCTGCTGGTTGTACTAT;R:GCGTCCTGGTCAAGGTATTT |
| LE01Gene01306 | LeW1-26ALDHnewA1 | F:CCCTTGACGGATACCGATAAAC;R:TTGCGGAGATGGTTTGAGTAG |
| LE01Gene03575 | LeW1-26ALDH18E1 | F:CTTACGACACGGAGCATCTT;R:TCGGTGTGATGAGACGAATG |
| LE01Gene04343 | LeW1-26ALDH1N3 | F:TCAATCCGGGAAAGATCAAGG;R:GGTGTGGTGTCCGTAAAGATAG |
| LE01Gene13422 | LeW1-26ALDH1N2 | F:CTCTATAAGCTCGCTACCCTAATG;R:CCATCCTTTCACGACTCCAA |
| LE01Gene10357 | LeW1-26ALDHψ | F:CTGGGCAATGGACGTTGATA;R:GTGAACATGAGGACGAAGAGAG |
表1 qRT-PCR 引物序列
Table 1 qRT-PCR primer sequence
| 基因号 ID | 基因名称 Gene name | 引物序列(5'-3') Primer sequence |
|---|---|---|
| LE01Gene01050 | LeW1-26Actin | F:AAGAGCGAAACCCTCGTAGATG;R:GCATCCTGTCCTTCTTACCGAG |
| LE01Gene12649 | LeW1-26ALDH1N1 | F:CCACGCCCAAAGATGTAGATA;R:CCTGCTGATGTTCCTCCATAA |
| LE01Gene12738 | LeW1-26ALDH3L1 | F:ACACTCCCGCCACTACGA;R:CAGCCATCTTCAGGTCACATT |
| LE01Gene12316 | LeW1-26ALDH6C1 | F:AGGGCACTAGCGTAATTGG;R:CACTCGTCCTACTCCATGATTT |
| LE01Gene03960 | LeW1-26ALDH1T1 | F:TGAGACCAACGAGCAGAAAC;R:CAGGACACCATAGTCAAAGGATAG |
| LE01Gene08279 | LeW1-26ALDH1U1 | F:GAAAGGGATGCGCAAGAATTAG;R:CCTCAAACACTGGATGCTATCT |
| LE01Gene07214 | LeW1-26ALDH10D1 | F:CTGAAATAGCCCGATTGGAGAG;R:CTGAGCAAGGCCGCATAATA |
| LE01Gene07676 | LeW1-26ALDH5H1 | F:GTCGCCTCATAACTCTGGAAA;R:GTTCGCCATAGGTTCGGATAG |
| LE01Gene05839 | LeW1-26ALDH7E1 | F:GGCTGTGTATGGATGGAATCT;R:GACAGCACCTCAGCGATAAT |
| LE01Gene12494 | LeW1-26ALDH15B1 | F:GGAACGATCCTCGCAGATAAC;R:GAATGACACGTCTCCTCTGAAC |
| LE01Gene06992 | LeW1-26ALDH4C1 | F:GGAATGATCGTGCTGCTATCT;R:CTTTCCTTGACCCAGCATAGT |
| LE01Gene04469 | LeW1-26ALDHnew2A1 | F:GAATGCACCGAGGCTAACA;R:GCCTCCATAGCGATTACTCTTC |
| LE01Gene06747 | LeW1-26ALDH3M1 | F:CTATCGCTGCTGGTTGTACTAT;R:GCGTCCTGGTCAAGGTATTT |
| LE01Gene01306 | LeW1-26ALDHnewA1 | F:CCCTTGACGGATACCGATAAAC;R:TTGCGGAGATGGTTTGAGTAG |
| LE01Gene03575 | LeW1-26ALDH18E1 | F:CTTACGACACGGAGCATCTT;R:TCGGTGTGATGAGACGAATG |
| LE01Gene04343 | LeW1-26ALDH1N3 | F:TCAATCCGGGAAAGATCAAGG;R:GGTGTGGTGTCCGTAAAGATAG |
| LE01Gene13422 | LeW1-26ALDH1N2 | F:CTCTATAAGCTCGCTACCCTAATG;R:CCATCCTTTCACGACTCCAA |
| LE01Gene10357 | LeW1-26ALDHψ | F:CTGGGCAATGGACGTTGATA;R:GTGAACATGAGGACGAAGAGAG |
图1 香菇W1-26基因组中已鉴定的17个ALDH蛋白结构域的序列比对 方框表示保守基序,星号表示保守活性位点谷氨酸和半胱氨酸残基。
Fig. 1 Sequence alignment of the 17 ALDH domain of all the identified in the W1-26 genome of Lentinula edodes The boxes represent the conserve motifs,and the star indicates the conserved active site glutamate and cysteine residues.
| 家族 Family | 释义 Definition | 基因号 ID | 命名 Name | 酶号 EC |
|---|---|---|---|---|
| ALDH1 | 醛脱氢酶Aldehyde dehydrogenase(NAD+) | LE01Gene12649 | LeW1-26ALDH1N1 | 1.2.1.3 |
| LE01Gene13422 | LeW1-26ALDH1N2 | 1.2.1.3 | ||
| LE01Gene03960 | LeW1-26ALDH1T1 | 1.2.1.3 | ||
| LE01Gene04343 | LeW1-26ALDH1N3 | 1.2.1.3 | ||
| LE01Gene08279 | LeW1-26ALDH1U1 | 1.2.1.3 | ||
| 甜菜碱醛脱氢酶Betaine-aldehyde dehydrogenase | LE01Gene10357 | LeW1-26ALDHψ | 1.2.1.8 | |
| ALDH3 | 醛脱氢酶Aldehyde dehydrogenase(NAD+) | LE01Gene12738 | LeW1-26ALDH3L1 | 1.2.1.3 |
| LE01Gene06747 | LeW1-26ALDH3M1 | 1.2.1.3 | ||
| ALDH4 | L-谷氨酸γ-半醛脱氢酶L-glutamate gamma-semialdehyde dehydrogenase | LE01Gene06992 | LeW1-26ALDH4C1 | 1.2.1.88 |
| ALDH5 | 琥珀酸半醛脱氢酶Succinate-semialdehyde dehydrogenase | LE01Gene07676 | LeW1-26ALDH5H1 | 1.2.1.16 |
| ALDH6 | 甲基丙二酸半醛脱氢酶Methylmalonate-semialdehyde dehydrogenase | LE01Gene12316 | LeW1-26ALDH6C1 | 1.2.1.27 |
| ALDH7 | 醛脱氢酶Aldehyde dehydrogenase(NAD+) | LE01Gene05839 | LeW1-26ALDH7E1 | 1.2.1.3 |
| ALDH10 | 醛脱氢酶Aldehyde dehydrogenase[NAD(P)+] | LE01Gene07214 | LeW1-26ALDH10D1 | 1.2.1.5 |
| ALDH15 | 醛脱氢酶Aldehyde dehydrogenase(NAD+) | LE01Gene12494 | LeW1-26ALDH15B1 | 1.2.1.3 |
| ALDH18 | 谷氨酸-5-半醛脱氢酶Glutamate-5-semialdehyde dehydrogenase | LE01Gene03575 | LeW1-26ALDH18E1 | 1.2.1.41 |
| ALDHnew | 醛脱氢酶Aldehyde dehydrogenase [NAD(P)+] | LE01Gene01306 | LeW1-26ALDHnewA1 | 1.2.1.5 |
| ALDHnew2 | 甜菜碱醛脱氢酶Betaine-aldehyde dehydrogenase | LE01Gene04469 | LeW1-26ALDHnew2A1 | 1.2.1.8 |
表2 香菇W1-26基因组中鉴定的17个醛脱氢酶信息
Table 2 Sequences for 17 aldehyde dehydrogenases identified in the W1-26 genome of Lentinula edodes
| 家族 Family | 释义 Definition | 基因号 ID | 命名 Name | 酶号 EC |
|---|---|---|---|---|
| ALDH1 | 醛脱氢酶Aldehyde dehydrogenase(NAD+) | LE01Gene12649 | LeW1-26ALDH1N1 | 1.2.1.3 |
| LE01Gene13422 | LeW1-26ALDH1N2 | 1.2.1.3 | ||
| LE01Gene03960 | LeW1-26ALDH1T1 | 1.2.1.3 | ||
| LE01Gene04343 | LeW1-26ALDH1N3 | 1.2.1.3 | ||
| LE01Gene08279 | LeW1-26ALDH1U1 | 1.2.1.3 | ||
| 甜菜碱醛脱氢酶Betaine-aldehyde dehydrogenase | LE01Gene10357 | LeW1-26ALDHψ | 1.2.1.8 | |
| ALDH3 | 醛脱氢酶Aldehyde dehydrogenase(NAD+) | LE01Gene12738 | LeW1-26ALDH3L1 | 1.2.1.3 |
| LE01Gene06747 | LeW1-26ALDH3M1 | 1.2.1.3 | ||
| ALDH4 | L-谷氨酸γ-半醛脱氢酶L-glutamate gamma-semialdehyde dehydrogenase | LE01Gene06992 | LeW1-26ALDH4C1 | 1.2.1.88 |
| ALDH5 | 琥珀酸半醛脱氢酶Succinate-semialdehyde dehydrogenase | LE01Gene07676 | LeW1-26ALDH5H1 | 1.2.1.16 |
| ALDH6 | 甲基丙二酸半醛脱氢酶Methylmalonate-semialdehyde dehydrogenase | LE01Gene12316 | LeW1-26ALDH6C1 | 1.2.1.27 |
| ALDH7 | 醛脱氢酶Aldehyde dehydrogenase(NAD+) | LE01Gene05839 | LeW1-26ALDH7E1 | 1.2.1.3 |
| ALDH10 | 醛脱氢酶Aldehyde dehydrogenase[NAD(P)+] | LE01Gene07214 | LeW1-26ALDH10D1 | 1.2.1.5 |
| ALDH15 | 醛脱氢酶Aldehyde dehydrogenase(NAD+) | LE01Gene12494 | LeW1-26ALDH15B1 | 1.2.1.3 |
| ALDH18 | 谷氨酸-5-半醛脱氢酶Glutamate-5-semialdehyde dehydrogenase | LE01Gene03575 | LeW1-26ALDH18E1 | 1.2.1.41 |
| ALDHnew | 醛脱氢酶Aldehyde dehydrogenase [NAD(P)+] | LE01Gene01306 | LeW1-26ALDHnewA1 | 1.2.1.5 |
| ALDHnew2 | 甜菜碱醛脱氢酶Betaine-aldehyde dehydrogenase | LE01Gene04469 | LeW1-26ALDHnew2A1 | 1.2.1.8 |
图2 利用香菇LeALDH和其他植物、真菌、动物等19个物种283个ALDH蛋白序列构建的系统发育树 紫色圆圈大小代表Bootstrap值。
Fig. 2 Phylogenetic tree construction by using 283 ALDH protein sequences from 19 species including plants,fungi,animals and Lentinula edodes The size of the purple circle represents the Bootstrap value.
图3 香菇ALDH系统发育关系,菌株S606和DnaJ- OE-S606在40 ℃ 0 ~ 24 h基因和蛋白表达水平及基因上游顺式作用元件 基因和蛋白表达数据取对数处理;1 ~ 10分别代表生长素相关响应元件、赤霉素相关响应元件、水杨酸相关响应元件、茉莉酸甲酯相关响应元件、脱落酸相关响应元件、光相关响应元件、缺氧相关诱导元件、参与防御和应激反应的顺式作用元件、参与干旱诱导的MYB结合位点元件和低温响应元件。
Fig. 3 Phylogenetic relationship,gene and protein expression level of S606 and DnaJ-OE-S606 strains after 0-24 h at 40 ℃ and gene upstream cis-acting elements of ALDHs in Lentinula edodes Gene and protein expression data is processed logarithmically;1-10 represents auxin related response elements,gibberellin related response elements,salicylic acid related response elements,methyl jasmonate related response elements,abscisic acid related response elements,light related response elements,hypoxia related induction elements,cis-acting elements involved in defense and stress responses,MYB binding site elements involved in drought induction,and low-temperature response elements,respectively.
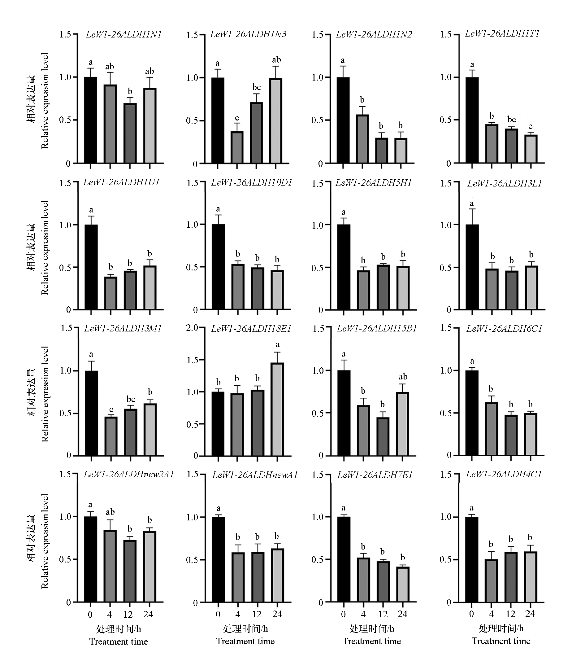
图4 qRT-PCR检测S606菌株在40 ℃热胁迫不同时间ALDH家族基因表达水平 不同小写字母表示组间差异显著(P < 0.05)。
Fig. 4 The gene expression levels of ALDH gene family in S606 strain were detected by qRT-PCR after different time periods of heat stress at 40 ℃ Different lowercase letters indicate significant differences between groups(P < 0.05).
图5 qRT-PCR检测DnaJ-OE-S606菌株在40 ℃热胁迫不同时间下ALDH家族基因表达水平 不同小写字母表示组间差异显著(P < 0.05)。
Fig. 5 The gene expression levels of ALDH gene family in DnaJ-OE-S606 strain were detected by qRT-PCR after different time periods of heat stress at 40 ℃ Different lowercase letters indicate significant differences between groups(P < 0.05).
图6 常温(25 ℃)和热胁迫(40 ℃)24 h香菇ALDH的RNAi转化子菌丝的IAA含量
Fig. 6 Determination of IAA content in mycelia of LeALDH RNA interference transformants under 25 ℃ and 40 ℃ 24 h * P < 0.05.
图7 热胁迫后香菇ALDH的RNAi转化子菌丝生长速度及生物量
Fig. 7 Determination of mycelial growth rate and mycelial biomass of LeALDH RNA interference transformants after heat stress ** P < 0.01,* P < 0.05.
| [1] |
doi: 10.1111/j.1432-1033.1996.0648r.x pmid: 9022693 |
| [2] |
|
| [3] |
|
| [4] |
|
| [5] |
|
| [6] |
|
| [7] |
|
|
胡悦, 蔡英丽, 喻晶晶, 周雁, 李军平, 边银丙, 龚钰华. 2018. 香菇HMG-box转录因子lelcrp1基因的功能. 微生物学报, 58 (12):2100-2109.
|
|
| [8] |
|
| [9] |
|
| [10] |
|
| [11] |
|
| [12] |
|
| [13] |
|
| [14] |
|
| [15] |
|
| [16] |
doi: 10.1038/nbt.1643 |
| [17] |
|
| [18] |
doi: 10.13346/j.mycosystema.160225 |
|
戚元成, 刘元栋, 孙宪凯, 张梦珂, 张倩, 文晴, 邱立友, 申进文. 2017. 糙皮侧耳乙醛脱氢酶基因PoALDH1的克隆与非生物胁迫下的表达分析. 菌物学报, 36 (8):1121-1131.
doi: 10.13346/j.mycosystema.160225 |
|
| [19] |
|
| [20] |
|
| [21] |
|
| [22] |
|
| [23] |
|
| [24] |
|
| [25] |
|
| [26] |
pmid: 10780262 |
| [27] |
|
| [28] |
|
| [29] |
|
| [30] |
|
| [31] |
|
| [32] |
|
|
钟海英, 罗义, 龚钰华, 徐瑞平, 边银丙. 2021. RNAi法分析香菇YUCCA8基因的功能. 食用菌学报, 28 (3):11-18.
|
|
| [33] |
doi: 10.13346/j.mycosystema.180145 |
|
周莎莎, 王刚正, 罗义, 马超君, 龚钰华, 边银丙, 周雁. 2018. 生长素及其类似物增强香菇耐高温性的研究. 菌物学报, 37 (12):1723-1730.
doi: 10.13346/j.mycosystema.180145 |
| [1] | 王海珍, 应瑶琳, 王雨晴, 吕瑞恒, 韩 路, . 软枣猕猴桃品种耐热性差异分析与评价[J]. 园艺学报, 2024, 51(12): 2857-2870. |
| [2] | 龚光禄 , 刘宏宇 , 杨通静 , 王思丽 , 胡腾文 , 陈孟谈 , 刘倾城 , 黄万兵 , 卢颖颖 , 尚念杰 , 黄晓润 , 桂 阳 , 朱国胜 , . 香菇新品种‘蓝梦 1 号’[J]. 园艺学报, 2023, 50(S1): 85-86. |
| [3] | 宁源生, 李欢, 宋建飞, 于婷婷, 韩梦圆, 彭璐琳, 贾竣淇, 张玮玮, 杨洪强. 苹果NCL家族基因与根系细胞钙离子浓度变化的关系[J]. 园艺学报, 2023, 50(3): 475-484. |
| [4] | 于海龙, 章炉军, 宋春艳, 尚晓冬, 冯鹏, 张美彦, 谭琦. 香菇新品种‘沪香F7'[J]. 园艺学报, 2023, 50(12): 2767-2768. |
| [5] | 阎本涛, 焦可心, 赵悦, 杨巧敏, 陈涛, 逯明辉. 辣椒囊泡形成相关基因CaSec16耐热功能分析[J]. 园艺学报, 2023, 50(11): 2387-2400. |
| [6] | 肖学宸, 刘梦雨, 蒋梦琦, 陈燕, 薛晓东, 周承哲, 吴兴健, 吴君楠, 郭寅生, 叶开温, 赖钟雄, 林玉玲. 龙眼褪黑素合成途径SNAT、ASMT和COMT家族基因鉴定及表达分析[J]. 园艺学报, 2022, 49(5): 1031-1046. |
| [7] | 潘鑫峰, 叶方婷, 毛志君, 李兆伟, 范凯. 睡莲WRKY家族的全基因组鉴定和分子进化分析[J]. 园艺学报, 2022, 49(5): 1121-1135. |
| [8] | 沈楠, 张荆城, 王成晨, 边银丙, 肖扬. 香菇子实体发育过程中的转录组研究[J]. 园艺学报, 2022, 49(4): 801-815. |
| [9] | 谢思艺, 周承哲, 朱晨, 詹冬梅, 陈兰, 吴祖春, 赖钟雄, 郭玉琼. 茶树CsTIFY家族全基因组鉴定及非生物胁迫和激素处理中主要基因表达分析[J]. 园艺学报, 2022, 49(1): 100-116. |
| [10] | 张春渝, 许小琼, 徐小萍, 赵鹏程, 申序, MunirNigarish, 张梓浩, 林玉玲, 陈振光, 赖钟雄. 龙眼SKP1-like家族成员鉴定及体胚发生早期表达分析[J]. 园艺学报, 2021, 48(9): 1665-1679. |
| [11] | 蔡柔荻, 厉雪, 陈燕, 徐小萍, 陈晓慧, 赖钟雄, 林玉玲. 龙眼DRB家族全基因组鉴定及其表达分析[J]. 园艺学报, 2021, 48(5): 921-933. |
| [12] | 牛西强, 罗潇云, 康凯程, 黄先忠, 胡能兵, 隋益虎, 艾昊. 辣椒PEBP基因家族的全基因组鉴定、比较进化与组织表达分析[J]. 园艺学报, 2021, 48(5): 947-959. |
| [13] | 李欣欣, 侯鸿敏, 徐吉花, 孙晓红, 张玉刚. 苹果MLP家族基因鉴定及非生物胁迫响应分析[J]. 园艺学报, 2021, 48(1): 1-14. |
| [14] | 赵 桦1,张舒婷1,刘蒲东1,付 帅1,叶 炜2,陈裕坤1,林玉玲1,徐 涵1,赖钟雄1,*. 石斛JmjC基因家族的鉴定及响应不同光周期的表达分析[J]. 园艺学报, 2020, 47(8): 1505-1520. |
| [15] | 王福生1,2,余 洪1,胡 洲1,管德龙3,张 盼1,朱世平1,2,赵晓春1,2,*. 柑橘属SAUR基因家族的全基因组鉴定及表达分析[J]. 园艺学报, 2020, 47(1): 23-40. |
| 阅读次数 | ||||||
|
全文 |
|
|||||
|
摘要 |
|
|||||
版权所有 © 2012 《园艺学报》编辑部 京ICP备10030308号-2 国际联网备案号 11010802023439
编辑部地址: 北京市海淀区中关村南大街12号中国农业科学院蔬菜花卉研究所 邮编: 100081
电话: 010-82109523 E-Mail: yuanyixuebao@126.com
技术支持:北京玛格泰克科技发展有限公司