园艺学报 ›› 2024, Vol. 51 ›› Issue (3): 479-494.doi: 10.16420/j.issn.0513-353x.2023-0117
易倩, 张曼曼, 汪小利, 冯继鹏, 朱世平, 王福生*(
), 赵晓春*(
)
收稿日期:2023-04-10
修回日期:2023-11-21
出版日期:2024-03-25
发布日期:2024-03-22
通讯作者:
基金资助:
YI Qian, ZHANG Manman, WANG Xiaoli, FENG Jipeng, ZHU Shiping, WANG Fusheng*(
), ZHAO Xiaochun*(
)
Received:2023-04-10
Revised:2023-11-21
Published:2024-03-25
Online:2024-03-22
摘要:
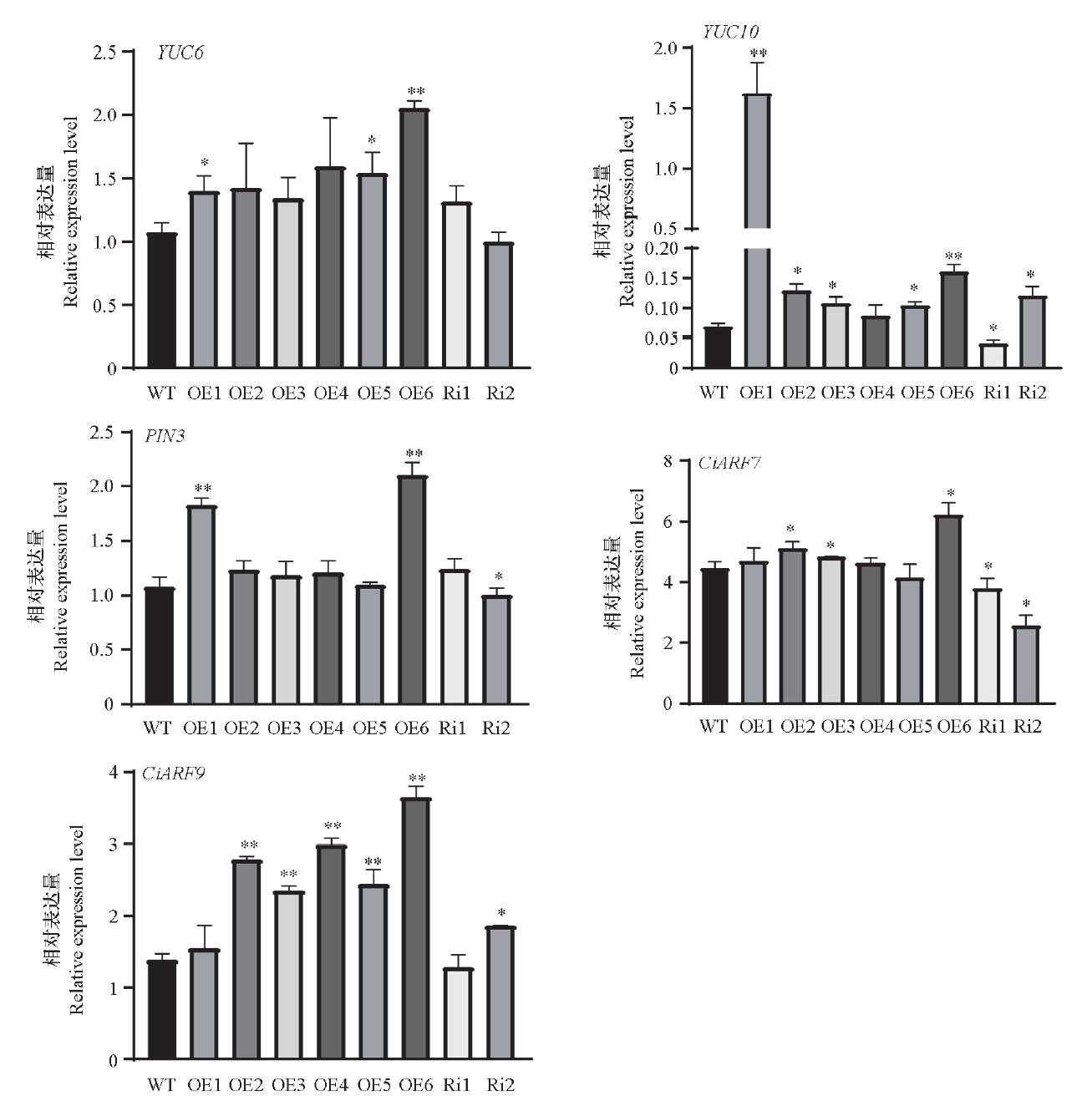
SAUR(Small auxin up-regulated RNA)为植物特有的早期生长素响应基因。为了研究柑橘中CclSAUR49参与调节其类柠檬苦素代谢的功能,用湖北早实枳(Poncirus trifoliata Raf.)的上胚轴进行遗传转化,获得6株CclSAUR49的过量表达植株(OE1 ~ OE6)和2株CclSAUR49的干扰表达植株(Ri1和Ri2),观察比较转基因和野生型植株的生长表现,利用电镜扫描和半薄切片分别观察叶片的表皮显微结构和组织结构,并检测了叶片中的生长素和类柠檬苦素含量。6个过量表达植株的形态表现存在差异,其中OE2与野生型相比枝梢增长了23.21%,节间数量增多,叶片长度增加了17.97%;2个干扰表达植株(Ri1和Ri2)枝梢生长量减少23.95%和46.82%;2/3过量表达植株的叶片主叶脉直径增大,而Ri2的减小。6株过量表达植株叶片中CclSAUR49的表达水平显著上调,是野生型的2.47 ~ 73.29倍,2株干扰表达植株叶片中CclSAUR49的表达都受到明显抑制,表达水平为野生型的22.66%和47.22%。转基因植株叶片中CclSAUR49的表达水平与其生长素含量呈极显著正相关,与生长素生物合成(YUC6和YUC10)、转运(PIN3)和信号转导(CiARF7和CiARF9)基因的表达水平呈极显著正相关。4个过量表达植株叶片中类柠檬苦素含量降低,1个干扰表达植株(Ri1)叶片中类柠檬苦素含量显著提高。在干扰表达植株中,类柠檬苦素的含量与生长素的含量呈显著负相关。以上结果表明,CclSAUR49能促进柑橘植株的生长发育,通过影响生长素的生物合成、转运和信号转导途径上基因的表达调控植物组织中的生长素水平,从而影响类柠檬苦素的代谢。
易倩, 张曼曼, 汪小利, 冯继鹏, 朱世平, 王福生, 赵晓春. CclSAUR49对柑橘生长及类柠檬苦素代谢的影响[J]. 园艺学报, 2024, 51(3): 479-494.
YI Qian, ZHANG Manman, WANG Xiaoli, FENG Jipeng, ZHU Shiping, WANG Fusheng, ZHAO Xiaochun. CclSAUR49 Affects Growth and Limonoids Metabolism in Citrus[J]. Acta Horticulturae Sinica, 2024, 51(3): 479-494.
| 引物名称 Primer name | 正向引物序列(5′-3′) Forward primer sequence | 反向引物序列(5′-3′) Reverse primer sequence |
|---|---|---|
| SAU49OE | ATTTAAATATGGCTATTCATGTACCTGGAATC | GGATCCATATGATTCATTCAAGCTGGAAGT |
| M13Rf | TTCACACAGGAAACAGCTATGAC | |
| SAUR49-RNAi | TCTAGAATTTAAATATGGCTATTCATGTACCTGGAATC | GGATCCATTTAAATTCATGATTCATTCAAGCTGGAA |
| 59MSac-F | CACGCTCGAGTATAAGAGCTCT | |
| 59MBcu1-R | GGACTAGTCCCGGGTCTTAAT | |
| SAUR49 | ACATCCACAGTTGTGCCAAAAG | CAAACCCGAATTCTTCCTCAGC |
| YUC1 | CACAATGCAATCCCTCACATG | ACCTTAACGGAAACCACCTGA |
| YUC2 | CGCCTTGTGGATCAATTTTTA | AATGTTGCCGCTTCTGATCTT |
| YUC3 | TGTGTTGGACATTGGTGCTTT | ACATTGCTTCGGTACCCAGTT |
| YUC5 | GATTACAAGTCCGGCGAAAA | TGATGGAGAGGCATTGTGGTT |
| YUC6 | AGAGGCAAAAGGGTTTTGGTT | CGAAAGTTGATTTCCCCAGC |
| YUC10 | GGCTTTTGAATGGGATGATGA | ATTTGATTTGATGGCCCAACT |
| PIN1 | GGAGCTGGAGCTAGGGATCTT | CTCCTTTTCCTCCTTGTGGTG |
| PIN2 | GAGTGGCGAGCTTTTTAACG | ACCACCACCAACACTCTCCTT |
| PIN3 | AAAACGGGGATTTTGGTAGG | GCGGGTCCACCTTCTTTATGA |
| PIN5 | GATGAAGCTTGTGTGGCTGAA | AATGCCACCTGTTTGACACAA |
| PIN6 | GAAATGGACGCGGTTACTGTT | GCCAGCTTGCCTATCTCCTTG |
| CiARF1 | CTTGTAACCCTTCCTCGTG | GAAGAACGGAGAACCCAC |
| CiARF2 | GTCAACTAATCAGGTCGCA | GGAAGACACTCATCAGCAT |
| CiARF7 | AGTTGGAATAGAGCGTCG | GGAAGATTTGGATAGTTTGG |
| CiARF9 | GGATTCCGTTGTTTCGTC | AATTCCTGAGTTGGGGTT |
| CiARF10 | TGAAGAATGAGACTCGCTA | AACCTGTTCGCTATGACC |
| CiARF12 | ACAGCCAAGATGATAAAGC | AATTCCCAACTTCCAGACT |
| CiARF13 | TCAGAGGATGTAGGTCGCA | CAATCTTCTAGCCGTTTTCA |
| CiARF18 | GGTTCTAAATGGCGGTCGT | CGACGCAGGAATGTCAATG |
| CiOSC | CTTTTGGCCTGGTGACTATGGT | CATTTCCCTTCGATGTTCCACT |
| CiMYB42 | GGGCGAACCGATAACGAGAT | GCTGGAGTCTGGCAGCAAAT |
| GAPDH | GGAAGGTCAAGATCGGAATCAA | CGTCCCTCTGCAAGATGACTCT |
表1 试验中所用引物序列
Table 1 PCR primers used in this study
| 引物名称 Primer name | 正向引物序列(5′-3′) Forward primer sequence | 反向引物序列(5′-3′) Reverse primer sequence |
|---|---|---|
| SAU49OE | ATTTAAATATGGCTATTCATGTACCTGGAATC | GGATCCATATGATTCATTCAAGCTGGAAGT |
| M13Rf | TTCACACAGGAAACAGCTATGAC | |
| SAUR49-RNAi | TCTAGAATTTAAATATGGCTATTCATGTACCTGGAATC | GGATCCATTTAAATTCATGATTCATTCAAGCTGGAA |
| 59MSac-F | CACGCTCGAGTATAAGAGCTCT | |
| 59MBcu1-R | GGACTAGTCCCGGGTCTTAAT | |
| SAUR49 | ACATCCACAGTTGTGCCAAAAG | CAAACCCGAATTCTTCCTCAGC |
| YUC1 | CACAATGCAATCCCTCACATG | ACCTTAACGGAAACCACCTGA |
| YUC2 | CGCCTTGTGGATCAATTTTTA | AATGTTGCCGCTTCTGATCTT |
| YUC3 | TGTGTTGGACATTGGTGCTTT | ACATTGCTTCGGTACCCAGTT |
| YUC5 | GATTACAAGTCCGGCGAAAA | TGATGGAGAGGCATTGTGGTT |
| YUC6 | AGAGGCAAAAGGGTTTTGGTT | CGAAAGTTGATTTCCCCAGC |
| YUC10 | GGCTTTTGAATGGGATGATGA | ATTTGATTTGATGGCCCAACT |
| PIN1 | GGAGCTGGAGCTAGGGATCTT | CTCCTTTTCCTCCTTGTGGTG |
| PIN2 | GAGTGGCGAGCTTTTTAACG | ACCACCACCAACACTCTCCTT |
| PIN3 | AAAACGGGGATTTTGGTAGG | GCGGGTCCACCTTCTTTATGA |
| PIN5 | GATGAAGCTTGTGTGGCTGAA | AATGCCACCTGTTTGACACAA |
| PIN6 | GAAATGGACGCGGTTACTGTT | GCCAGCTTGCCTATCTCCTTG |
| CiARF1 | CTTGTAACCCTTCCTCGTG | GAAGAACGGAGAACCCAC |
| CiARF2 | GTCAACTAATCAGGTCGCA | GGAAGACACTCATCAGCAT |
| CiARF7 | AGTTGGAATAGAGCGTCG | GGAAGATTTGGATAGTTTGG |
| CiARF9 | GGATTCCGTTGTTTCGTC | AATTCCTGAGTTGGGGTT |
| CiARF10 | TGAAGAATGAGACTCGCTA | AACCTGTTCGCTATGACC |
| CiARF12 | ACAGCCAAGATGATAAAGC | AATTCCCAACTTCCAGACT |
| CiARF13 | TCAGAGGATGTAGGTCGCA | CAATCTTCTAGCCGTTTTCA |
| CiARF18 | GGTTCTAAATGGCGGTCGT | CGACGCAGGAATGTCAATG |
| CiOSC | CTTTTGGCCTGGTGACTATGGT | CATTTCCCTTCGATGTTCCACT |
| CiMYB42 | GGGCGAACCGATAACGAGAT | GCTGGAGTCTGGCAGCAAAT |
| GAPDH | GGAAGGTCAAGATCGGAATCAA | CGTCCCTCTGCAAGATGACTCT |
图1 柑橘CclSAUR49过量表达(OE)和干扰表达(Ri)及野生型(WT)植株枝梢第1片叶片的形态
Fig. 1 The leaf morphology of the first leaf of citrus CclSAUR49 overexpression(OE)and RNA interference expression(Ri)and wild type(WT)plants
| 样品 Material | 叶长/mm Length of leaf | 叶宽/mm Width of leaf | 分枝长/mm Branch length | 节间数 Number of internodes | 节间长/mm Length of internode | 茎粗/mm Circumference of stem |
|---|---|---|---|---|---|---|
| WT | 33.89 ± 2.07 | 9.39 ± 0.96 | 114.81 ± 0.51 | 7 | 21.80 ± 4.80 | 2.74 ± 0.43 |
| OE1 | 34.10 ± 3.60 | 10.40 ± 1.22 | 49.01 ± 0.49** | 6 | 12.25 ± 2.35* | 2.18 ± 0.33* |
| OE2 | 39.98 ± 0.68* | 11.17 ± 0.93* | 141.46 ± 0.60** | 9 | 20.68 ± 4.46 | 2.69 ± 0.41 |
| OE3 | 34.25 ± 4.39 | 9.23 ± 1.96 | 139.10 ± 0.61** | 9 | 21.19 ± 10.45 | 2.49 ± 0.23 |
| OE4 | 33.35 ± 5.16 | 8.85 ± 0.88 | 111.51 ± 0.34 | 7 | 18.62 ± 3.30 | 2.45 ± 1.16 |
| OE5 | 34.54 ± 4.47 | 9.54 ± 0.84 | 107.63 ± 0.37** | 8 | 16.81 ± 6.68 | 2.40 ± 0.13 |
| OE6 | 33.43 ± 3.99 | 8.63 ± 1.07 | 93.87 ± 0.39** | 7 | 13.22 ± 2.47* | 1.83 ± 0.25** |
| Ri1 | 33.39 ± 6.14 | 9.33 ± 0.91 | 87.31 ± 0.24** | 8 | 11.78 ± 1.79* | 2.12 ± 0.47** |
| Ri2 | 32.19 ± 6.48 | 9.63 ± 0.57 | 61.06 ± 0.33** | 6 | 10.42 ± 0.55* | 2.13 ± 0.18* |
表2 柑橘CclSAUR49过量表达(OE)和干扰表达(Ri)及野生型(WT)植株的形态分析
Table 2 Morphological analysis of citrus CclSAUR49 overexpression(OE)and RNA interference expression(Ri)and wild type(WT)plants
| 样品 Material | 叶长/mm Length of leaf | 叶宽/mm Width of leaf | 分枝长/mm Branch length | 节间数 Number of internodes | 节间长/mm Length of internode | 茎粗/mm Circumference of stem |
|---|---|---|---|---|---|---|
| WT | 33.89 ± 2.07 | 9.39 ± 0.96 | 114.81 ± 0.51 | 7 | 21.80 ± 4.80 | 2.74 ± 0.43 |
| OE1 | 34.10 ± 3.60 | 10.40 ± 1.22 | 49.01 ± 0.49** | 6 | 12.25 ± 2.35* | 2.18 ± 0.33* |
| OE2 | 39.98 ± 0.68* | 11.17 ± 0.93* | 141.46 ± 0.60** | 9 | 20.68 ± 4.46 | 2.69 ± 0.41 |
| OE3 | 34.25 ± 4.39 | 9.23 ± 1.96 | 139.10 ± 0.61** | 9 | 21.19 ± 10.45 | 2.49 ± 0.23 |
| OE4 | 33.35 ± 5.16 | 8.85 ± 0.88 | 111.51 ± 0.34 | 7 | 18.62 ± 3.30 | 2.45 ± 1.16 |
| OE5 | 34.54 ± 4.47 | 9.54 ± 0.84 | 107.63 ± 0.37** | 8 | 16.81 ± 6.68 | 2.40 ± 0.13 |
| OE6 | 33.43 ± 3.99 | 8.63 ± 1.07 | 93.87 ± 0.39** | 7 | 13.22 ± 2.47* | 1.83 ± 0.25** |
| Ri1 | 33.39 ± 6.14 | 9.33 ± 0.91 | 87.31 ± 0.24** | 8 | 11.78 ± 1.79* | 2.12 ± 0.47** |
| Ri2 | 32.19 ± 6.48 | 9.63 ± 0.57 | 61.06 ± 0.33** | 6 | 10.42 ± 0.55* | 2.13 ± 0.18* |
图2 柑橘CclSAUR49过量表达(OE1)和干扰表达(Ri2)及野生型(WT)植株叶片形态电镜扫描观察
Fig. 2 Electron microscope scanning of leaf morphology in citrus CclSAUR49 overexpression(OE1),RNA interference expression(Ri2)and wild type(WT)plants
| 材料 Material | 气孔密度/(个 · mm-2) Stomatal density | 气孔长/μm Stomatal length | 气孔宽/μm Stomatal width | 长/宽 Length/width |
|---|---|---|---|---|
| WT | 513.48 ± 67.48 | 6.89 ± 0.79 | 2.84 ± 0.47 | 2.48 ± 0.45 |
| OE1 | 795.27 ± 172.92* | 8.90 ± 1.73** | 3.85 ± 0.97* | 2.47 ± 0.87 |
| OE4 | 633.16 ± 43.43 | 9.08 ± 2.18** | 3.36 ± 0.50* | 2.80 ± 1.00 |
| OE6 | 590.32 ± 197.93 | 8.70 ± 1.84* | 3.49 ± 0.33* | 2.51 ± 0.55 |
| Ri1 | 451.17 ± 78.43 | 7.45 ± 0.89 | 3.75 ± 0.53** | 2.03 ± 0.43* |
| Ri2 | 450.78 ± 77.64 | 7.50 ± 1.03 | 3.80 ± 0.51** | 2.01 ± 0.42* |
表3 柑橘CclSAUR49过量表达(OE)和干扰表达(Ri)及野生型(WT)植株叶片气孔密度和气孔大小
Table 3 Leaf stomatal density and stomatal size of citrus CclSAUR49 overexpression(OE),RNA interference expression(Ri)and wild type(WT)plants
| 材料 Material | 气孔密度/(个 · mm-2) Stomatal density | 气孔长/μm Stomatal length | 气孔宽/μm Stomatal width | 长/宽 Length/width |
|---|---|---|---|---|
| WT | 513.48 ± 67.48 | 6.89 ± 0.79 | 2.84 ± 0.47 | 2.48 ± 0.45 |
| OE1 | 795.27 ± 172.92* | 8.90 ± 1.73** | 3.85 ± 0.97* | 2.47 ± 0.87 |
| OE4 | 633.16 ± 43.43 | 9.08 ± 2.18** | 3.36 ± 0.50* | 2.80 ± 1.00 |
| OE6 | 590.32 ± 197.93 | 8.70 ± 1.84* | 3.49 ± 0.33* | 2.51 ± 0.55 |
| Ri1 | 451.17 ± 78.43 | 7.45 ± 0.89 | 3.75 ± 0.53** | 2.03 ± 0.43* |
| Ri2 | 450.78 ± 77.64 | 7.50 ± 1.03 | 3.80 ± 0.51** | 2.01 ± 0.42* |
图3 柑橘CclSAUR49过量表达(OE1)和干扰表达(Ri2)及野生型(WT)植株叶片组织结构的半薄切片观察 Co:次生韧皮部,Fi:形成层,P:初生木质部,X:木质部。
Fig. 3 Semi-thin section observation of leaf tissue structure in citrus CclSAUR49 overexpression(OE1),RNA interference expression(Ri2)and wild type(WT)plants Co:Secondary phloem,Fi:Fascicular cambium,P:Primary xylem,X:Xylem.
| 材料 Material | 上表皮厚度/μm Upper epidermis thickness | 栅栏组织厚度/μm Palisade tissue thickness | 海绵组织厚度/μm Spongy tissue thickness | 下表皮厚度/μm Lower epidermis thickness | 叶片厚度/μm Leaf thickness |
|---|---|---|---|---|---|
| WT | 109.93 ± 22.42 | 680.87 ± 121.61 | 1 466.00 ± 149.83 | 107.00 ± 11.25 | 2 338.95 ± 264.67 |
| OE1 | 114.15 ± 0.73 | 742.36 ± 53.01 | 1 892.14 ± 196.81** | 98.75 ± 5.11 | 2 829.78 ± 222.03** |
| OE2 | 130.01 ± 23.40 | 764.09 ± 13.95 | 1 644.52 ± 116.20* | 126.93 ± 23.11 | 2 683.47 ± 118.27* |
| OE3 | 144.51 ± 22.58 | 771.81 ± 77.53 | 1 608.60 ± 124.06 | 138.91 ± 7.88** | 2 615.85 ± 132.88 |
| OE4 | 117.77 ± 12.20 | 829.49 ± 60.36* | 1 469.14 ± 149.94 | 135.17 ± 7.50** | 2 514.08 ± 219.72* |
| OE5 | 136.67 ± 10.69 | 697.89 ± 83.04 | 1 702.15 ± 35.11* | 121.90 ± 9.18 | 2 624.05 ± 107.69 |
| OE6 | 150.89 ± 13.83** | 736.44 ± 21.08 | 1 793.58 ± 163.60** | 129.23 ± 11.49* | 2 760.68 ± 123.19** |
| Ri1 | 115.31 ± 1.07 | 823.56 ± 90.64 | 1 402.75 ± 223.99 | 102.54 ± 11.72 | 2 376.40 ± 179.23 |
| Ri2 | 111.86 ± 19.14 | 759.21 ± 67.45 | 1 386.99 ± 89.47 | 95.72 ± 9.63 | 2 344.54 ± 199.23 |
表4 柑橘CclSAUR49过量表达(OE)和干扰表达(Ri)及野生型(WT)植株叶片各层组织结构厚度
Table 4 The thickness of tissue structure in leaves of citrus CclSAUR49 overexpression(OE),RNA interference expression(Ri)and wild type(WT)plants
| 材料 Material | 上表皮厚度/μm Upper epidermis thickness | 栅栏组织厚度/μm Palisade tissue thickness | 海绵组织厚度/μm Spongy tissue thickness | 下表皮厚度/μm Lower epidermis thickness | 叶片厚度/μm Leaf thickness |
|---|---|---|---|---|---|
| WT | 109.93 ± 22.42 | 680.87 ± 121.61 | 1 466.00 ± 149.83 | 107.00 ± 11.25 | 2 338.95 ± 264.67 |
| OE1 | 114.15 ± 0.73 | 742.36 ± 53.01 | 1 892.14 ± 196.81** | 98.75 ± 5.11 | 2 829.78 ± 222.03** |
| OE2 | 130.01 ± 23.40 | 764.09 ± 13.95 | 1 644.52 ± 116.20* | 126.93 ± 23.11 | 2 683.47 ± 118.27* |
| OE3 | 144.51 ± 22.58 | 771.81 ± 77.53 | 1 608.60 ± 124.06 | 138.91 ± 7.88** | 2 615.85 ± 132.88 |
| OE4 | 117.77 ± 12.20 | 829.49 ± 60.36* | 1 469.14 ± 149.94 | 135.17 ± 7.50** | 2 514.08 ± 219.72* |
| OE5 | 136.67 ± 10.69 | 697.89 ± 83.04 | 1 702.15 ± 35.11* | 121.90 ± 9.18 | 2 624.05 ± 107.69 |
| OE6 | 150.89 ± 13.83** | 736.44 ± 21.08 | 1 793.58 ± 163.60** | 129.23 ± 11.49* | 2 760.68 ± 123.19** |
| Ri1 | 115.31 ± 1.07 | 823.56 ± 90.64 | 1 402.75 ± 223.99 | 102.54 ± 11.72 | 2 376.40 ± 179.23 |
| Ri2 | 111.86 ± 19.14 | 759.21 ± 67.45 | 1 386.99 ± 89.47 | 95.72 ± 9.63 | 2 344.54 ± 199.23 |
| 材料 Material | 叶脉直径/μm Leaf vein diameter | 栅栏组织层数 Layers | 栅/海比 P/S | 叶组织结构紧密度/% CTR | 叶组织结构疏松度/% SR |
|---|---|---|---|---|---|
| WT | 5 273.96 ± 592.91 | 2 ~ 3 | 0.47 ± 0.08 | 28.83 ± 0.04 | 62.33 ± 0.03 |
| OE1 | 5 746.06 ± 850.10 | 2 ~ 3 | 0.40 ± 0.07 | 26.67 ± 0.04 | 67.00 ± 0.02* |
| OE2 | 6 603.56 ± 222.93** | 2 ~ 3 | 0.47 ± 0.04 | 28.67 ± 0.01 | 61.33 ± 0.02 |
| OE3 | 6 610.38 ± 314.27** | 2 ~ 3 | 0.49 ± 0.08 | 29.33 ± 0.03 | 61.33 ± 0.04 |
| OE4 | 6 533.15 ± 150.19** | 2 ~ 3 | 0.57 ± 0.03* | 33.00 ± 0.02* | 58.33 ± 0.01* |
| OE5 | 5 865.42 ± 590.89 | 2 ~ 3 | 0.41 ± 0.04 | 26.33 ± 0.02 | 65.00 ± 0.02 |
| OE6 | 6 327.06 ± 397.70* | 2 ~ 3 | 0.41 ± 0.03 | 26.67 ± 0.01 | 65.00 ± 0.03 |
| Ri1 | 5 388.89 ± 107.31 | 2 ~ 3 | 0.60 ± 0.15 | 35.00 ± 0.06 | 58.67 ± 0.05 |
| Ri2 | 4 484.16 ± 32.01* | 2 ~ 3 | 0.54 ± 0.03 | 32.33 ± 0.01 | 59.33 ± 0.01 |
表5 柑橘CclSAUR49过量表达(OE)和干扰表达(Ri)及野生型(WT)植株叶片叶肉组织结构
Table 5 Leaf mesophyll tissue structure of citrus CclSAUR49 overexpression(OE),RNA interference expression(Ri)and wild type(WT)plants
| 材料 Material | 叶脉直径/μm Leaf vein diameter | 栅栏组织层数 Layers | 栅/海比 P/S | 叶组织结构紧密度/% CTR | 叶组织结构疏松度/% SR |
|---|---|---|---|---|---|
| WT | 5 273.96 ± 592.91 | 2 ~ 3 | 0.47 ± 0.08 | 28.83 ± 0.04 | 62.33 ± 0.03 |
| OE1 | 5 746.06 ± 850.10 | 2 ~ 3 | 0.40 ± 0.07 | 26.67 ± 0.04 | 67.00 ± 0.02* |
| OE2 | 6 603.56 ± 222.93** | 2 ~ 3 | 0.47 ± 0.04 | 28.67 ± 0.01 | 61.33 ± 0.02 |
| OE3 | 6 610.38 ± 314.27** | 2 ~ 3 | 0.49 ± 0.08 | 29.33 ± 0.03 | 61.33 ± 0.04 |
| OE4 | 6 533.15 ± 150.19** | 2 ~ 3 | 0.57 ± 0.03* | 33.00 ± 0.02* | 58.33 ± 0.01* |
| OE5 | 5 865.42 ± 590.89 | 2 ~ 3 | 0.41 ± 0.04 | 26.33 ± 0.02 | 65.00 ± 0.02 |
| OE6 | 6 327.06 ± 397.70* | 2 ~ 3 | 0.41 ± 0.03 | 26.67 ± 0.01 | 65.00 ± 0.03 |
| Ri1 | 5 388.89 ± 107.31 | 2 ~ 3 | 0.60 ± 0.15 | 35.00 ± 0.06 | 58.67 ± 0.05 |
| Ri2 | 4 484.16 ± 32.01* | 2 ~ 3 | 0.54 ± 0.03 | 32.33 ± 0.01 | 59.33 ± 0.01 |
图4 柑橘CclSAUR49过量表达(OE)和干扰表达(Ri)及野生型(WT)植株叶片中的IAA含量 *和**表示转基因植株与野生型存在显著或极显著差异,* P < 0.05,** P < 0.01。下同。
Fig. 4 Analysis of IAA contents in leaves of citrus CclSAUR49 overexpression(OE),RNA interference expression(Ri)and wild type(WT)plants Asterisks indicate significant difference between wild type and transgenic plants,* P < 0.05,** P < 0.01. The same below.
图5 柑橘CclSAUR49过量表达(OE)和干扰表达(Ri)及野生型(WT)植株叶片中CclSAUR49的表达量
Fig. 5 Analysis of CclSAUR49 expression levels in the leaves of citrus CclSAUR49 overexpression(OE),RNA interference expression(Ri)and wild type(WT)plants
| 基因Gene | CclSAUR49 | IAA |
|---|---|---|
| CclSAUR49 | 1 | 0.623** |
| YUC6 | 0.649** | 0.431* |
| YUC10 | 0.451** | 0.249 |
| PIN3 | 0.873** | 0.487** |
| CiARF7 | 0.687** | 0.618** |
| CiARF9 | 0.529** | 0.533** |
表6 生长素相关基因与生长素含量、CclSAUR49的表达水平相关性分析
Table 6 Correlation analysis of auxin related genes with auxin content and expression level of CclSAUR49
| 基因Gene | CclSAUR49 | IAA |
|---|---|---|
| CclSAUR49 | 1 | 0.623** |
| YUC6 | 0.649** | 0.431* |
| YUC10 | 0.451** | 0.249 |
| PIN3 | 0.873** | 0.487** |
| CiARF7 | 0.687** | 0.618** |
| CiARF9 | 0.529** | 0.533** |
图6 柑橘CclSAUR49过量表达(OE)和干扰表达(Ri)及野生型(WT)植株叶片中生长素相关基因的表达量
Fig. 6 Relative expression levels of auxin related genes in the leaves of citrus CclSAUR49 overexpression(OE),RNA interference expression(Ri)and wild type(WT)plants
图7 柑橘CclSAUR49过量表达(OE)和干扰表达(Ri)及野生型(WT)植株叶片中类柠檬苦素的含量
Fig. 7 Limonoids contents in the leaves of citrus CclSAUR49 overexpression(OE),RNA interference expression(Ri)and wild type(WT)plants
| 材料 Material | 指标 | 类柠檬苦素含量 Limonoids content | CiOSC | CiMYB42 |
|---|---|---|---|---|
| 转基因植株Transgenic plant | CclSAUR49 | -0.452 | -0.118 | 0.062 |
| 类柠檬苦素含量Limonoids content | 1 | 0.452 | 0.267 | |
| 生长素含量Auxin content | -0.661** | / | / | |
| 过量表达植株 | CclSAUR49 | -0.533* | 0.049 | -0.028 |
| Overexpression transgenic plant | 类柠檬苦素含量Limonoids content | 1 | 0.077 | 0.680** |
| 生长素含量Auxin content | -0.287 | / | / | |
| 干扰表达植株RNAi transgenic plant | CclSAUR49 | -0.068 | -0.667* | 0.774* |
| 类柠檬苦素含量Limonoids content | 1 | 0.753 | 0.413 | |
| 生长素含量Auxin content | -0.775* | / | / |
表7 柑橘转基因植株中CiOSC、CiMYB42与CclSAUR49的表达水平与类柠檬苦素含量、生长素含量的相关性分析
Table 7 Correlation analysis of expression of CiOSC,CiMYB42 and CclSAUR49 with limonoids content and auxin content in transgenic plants
| 材料 Material | 指标 | 类柠檬苦素含量 Limonoids content | CiOSC | CiMYB42 |
|---|---|---|---|---|
| 转基因植株Transgenic plant | CclSAUR49 | -0.452 | -0.118 | 0.062 |
| 类柠檬苦素含量Limonoids content | 1 | 0.452 | 0.267 | |
| 生长素含量Auxin content | -0.661** | / | / | |
| 过量表达植株 | CclSAUR49 | -0.533* | 0.049 | -0.028 |
| Overexpression transgenic plant | 类柠檬苦素含量Limonoids content | 1 | 0.077 | 0.680** |
| 生长素含量Auxin content | -0.287 | / | / | |
| 干扰表达植株RNAi transgenic plant | CclSAUR49 | -0.068 | -0.667* | 0.774* |
| 类柠檬苦素含量Limonoids content | 1 | 0.753 | 0.413 | |
| 生长素含量Auxin content | -0.775* | / | / |
图8 柑橘CclSAUR49过量表达(OE)和干扰表达(Ri)及野生型(WT)植株叶片中类柠檬苦素相关基因的表达量
Fig. 8 Analysis of the expression of limonoid-related genes in the leaves of citrus CclSAUR49 overexpression(OE),RNA interference expression(Ri)and wild type(WT)plants
| [1] |
|
| [2] |
|
| [3] |
|
| [4] |
|
| [5] |
|
| [6] |
|
| [7] |
|
| [8] |
|
| [9] |
|
| [10] |
|
| [11] |
|
| [12] |
|
| [13] |
|
| [14] |
|
| [15] |
|
|
李韶静, 汤建华. 2022. 木果楝属柠檬苦素类似物及其生物活性的研究进展. 中草药,10:3178-3194.
|
|
| [16] |
|
| [17] |
|
| [18] |
|
| [19] |
|
|
刘小丰, 彭爱红, 许兰珍, 邹修平, 朱世平, 赵晓春, 陈善春. 2013. nptⅡ::mgfp5融合基因的构建及其在柑橘遗传转化中的应用. 热带作物学报, 34 (7):1282-1287.
|
|
| [20] |
|
|
刘嫣. 2016. OsSAUR45基因在水稻生长发育中的功能探索[硕士论文]. 杭州: 浙江大学.
|
|
| [21] |
|
| [22] |
doi: 10.1016/j.molp.2015.05.003 pmid: 25983207 |
| [23] |
|
|
单提波, 姚文钧, 徐正进, 樊金娟, 武静莲. 2015. 不同气孔密度水稻剑叶光合特性及蔗糖代谢研究. 中国水稻科学, 29 (6):648-652.
doi: 10.3969/j.issn.1001G7216.2015.06.011 |
|
| [24] |
|
|
邵长芬, 李得发, 关文灵, 李世峰. 2018. 光胁迫对滇海水仙花生长发育的影响. 江苏农业科学, 46 (14):121-124.
|
|
| [25] |
|
| [26] |
|
| [27] |
|
| [28] |
|
| [29] |
|
|
滕红梅, 肖兵, 崔克勇, 王玲丽. 2016. 8种野生观赏树木叶的解剖结构及抗逆性比较. 安徽农业科学, 44 (29):3-6.
|
|
| [30] |
|
| [31] |
|
|
王福生, 余洪, 胡洲, 管德龙, 张盼, 朱世平, 赵晓春. 2020. 柑橘属SAUR基因家族的全基因组鉴定及表达分析. 园艺学报, 47 (1):23-40.
doi: 10.16420/j.issn.0513-353x.2019-0581 |
|
| [32] |
|
|
王红飞, 尚庆茂. 2019. 黄瓜SAUR基因家族的鉴定与表达分析. 园艺学报, 46 (6):1093-1111.
|
|
| [33] |
|
|
杨翼飞. 2017. 古巴柳叶橙叶形变异机理的初步研究[硕士论文]. 重庆: 西南大学.
|
|
| [34] |
|
|
杨振, 李疆, 白羽嘉, 覃伟铭. 2012. 库尔勒香梨及其芽变的比较鉴定. 西北农业学报, 21 (7):142-148.
|
|
| [35] |
|
| [36] |
|
|
于宗霞. 2018. 激素和光照对青蒿素合成途径酶基因表达的调控研究. 大连大学学报, 39 (6):53-57.
|
|
| [37] |
doi: 10.16420/j.issn.0513-353x.2021-0932 |
|
翟含含, 翟宇杰, 田义, 张叶, 杨丽, 温陟良, 陈海江. 2023. 桃SAUR家族基因分析及PpSAUR5功能鉴定. 园艺学报, 50 (1):1-14.
doi: 10.16420/j.issn.0513-353x.2021-0932 |
|
| [38] |
|
| [39] |
doi: 10.1186/s12870-020-02475-4 pmid: 32493275 |
| [40] |
doi: 10.19540/j.cnki.cjcmm.20190129.007 pmid: 33164405 |
|
张睿, 王秀娟, 高伟. 2020. 植物激素对次生代谢产物的调控研究. 中国中药杂志, 45 (17):4205-4210.
pmid: 33164405 |
|
| [41] |
|
| [1] | 董丽婷, 屈荣荣, 庞淑炜, 莫凯琴, 陈 爽, 商兰月, 邹修平. 柑橘CsMEKK1-1响应黄龙病菌侵染的表达特征与功能探究[J]. 园艺学报, 2024, 51(9): 2168-2182. |
| [2] | 张文龙, 万润楚, 郑 妮, 陈 焱, 赖恒鑫, 余 歆, 钱 春, , 曹 立, . 柑橘不育系新品种‘阳光1号’[J]. 园艺学报, 2024, 51(9): 2221-2222. |
| [3] | 杜美霞, 庞淑玮, 董丽婷, 莫凯琴, 候梦圆, 王 帅, 邹修平. 柑橘黄龙病菌与寄主互作的分子机制研究进展[J]. 园艺学报, 2024, 51(7): 1623-1638. |
| [4] | 赵泽阳, 周雨晴, 林德书, 任慧波, . 花瓣锥形表皮细胞形态建成研究进展[J]. 园艺学报, 2024, 51(7): 1695-1706. |
| [5] | 曹惠祥, 罗 鑫, 刘婉荣, 管书萍, 王婷婷, 伍小萌, 郭文武, 解凯东, . 柑橘2个三倍体果实囊衣发育与化渣性评价[J]. 园艺学报, 2024, 51(6): 1179-1188. |
| [6] | 周慧珍, 张嘉, 胡军华, 李白雪, 曹立, 余歆, 王福生, 邹修平, 周彦. 柑橘感染褐斑病过程中BAG1的作用[J]. 园艺学报, 2024, 51(5): 956-970. |
| [7] | 彭爱红, 张婧芸, 陈志毅, 苏娟, 何永睿, 姚利晓. CsEXPA8过表达对‘晚锦橙’生长及溃疡病抗性的影响[J]. 园艺学报, 2024, 51(5): 971-981. |
| [8] | 游 平, 杨 进, 周 俊, 黄爱军, 鲍敏丽, 易 龙, . 柑橘黄龙病菌原噬菌体的遗传多样性分析[J]. 园艺学报, 2024, 51(4): 727-736. |
| [9] | 熊志伟, 李智龙, 尹 晖, 高玉霞, . 柑橘黄龙病菌亚洲种的泛基因组分析[J]. 园艺学报, 2024, 51(4): 737-747. |
| [10] | 孙权, 何政辰, 叶俊丽, 魏冉冉, 尹映紫, 柴利军, 谢宗周, 徐强, 徐娟, 郭文武, 程运江, 邓秀新. 与呼吸跃变型果实共贮藏改善柑橘果实色泽和品质[J]. 园艺学报, 2024, 51(3): 601-615. |
| [11] | 赵晓冰, 孙可一, 樊俊苗, 丁静. 番茄细胞分裂素与生长素响应信号可视化荧光分析[J]. 园艺学报, 2024, 51(2): 372-384. |
| [12] | 吴卓群, 陈鹏旭, 陈思怡, 张福琼, 方红, 祝建, 谢宗周, 李春龙, 刘继红. 温州蜜柑与椪柑果实日灼发生差异及机制[J]. 园艺学报, 2024, 51(12): 2743-2757. |
| [13] | 蒋政华, 刘胜军, 刘文洁, 魏冉冉, 何政辰, 程超, 唐政, 刘保艳, 谢宗周, 叶俊丽, 柴利军, 岳鹏涛, 邓秀新. 基于Pull-Down/MS技术筛选柑橘CsMYC2和CsMPK6的互作蛋白[J]. 园艺学报, 2024, 51(12): 2913-2927. |
| [14] | 姜波, 吕远达, 刘淑梅, 闫化学. 植物激素调控柑橘果实成熟的研究进展[J]. 园艺学报, 2024, 51(12): 2928-2944. |
| [15] | 聂睿涵, 孙曼丽, 冯迪, 宋谢天, 高俊燕, 郭莉娜, 邓秀新, 柴利军, 谢宗周, 叶俊丽. 云南柑橘5种常见病害发生分布调查及其规律分析[J]. 园艺学报, 2024, 51(11): 2685-2700. |
| 阅读次数 | ||||||
|
全文 |
|
|||||
|
摘要 |
|
|||||
版权所有 © 2012 《园艺学报》编辑部 京ICP备10030308号-2 国际联网备案号 11010802023439
编辑部地址: 北京市海淀区中关村南大街12号中国农业科学院蔬菜花卉研究所 邮编: 100081
电话: 010-82109523 E-Mail: yuanyixuebao@126.com
技术支持:北京玛格泰克科技发展有限公司