Acta Horticulturae Sinica ›› 2026, Vol. 53 ›› Issue (4): 1013-1024.doi: 10.16420/j.issn.0513-353x.2025-0960
• Research on Arbuscular Mycorrhizal Fungi in Horticultural Plants • Previous Articles Next Articles
ZHANG Wei1, YIN Xilong1, FENG Zengwei2, LIU Xiaodi2, ZHOU Yang2, ZHU Honghui2, YAO Qing1,*(
)
Received:2025-10-14
Revised:2026-03-10
Online:2026-04-25
Published:2026-04-20
Contact:
YAO Qing
ZHANG Wei, YIN Xilong, FENG Zengwei, LIU Xiaodi, ZHOU Yang, ZHU Honghui, YAO Qing. Arbuscular Mycorrhizal Fungi-Specific Lipid Allocation Patterns in Citrus Mycorrhizae in Response to Drought Stress[J]. Acta Horticulturae Sinica, 2026, 53(4): 1013-1024.
Add to citation manager EndNote|Ris|BibTeX
URL: https://www.ahs.ac.cn/EN/10.16420/j.issn.0513-353x.2025-0960
| 基因 Gene | 引物序列(5′-3′) Primer sequence | 扩增片段大小/bp Amplification fragment size |
|---|---|---|
| Actin | F:CCGACCGTATGAGCAAGGAAA R:TTCCTGTGGACAATGGATGGA | 190 |
| PtFatM | F:CCGGTCTTCTCAGCAATGGT R:TTCAACAACCTCTCCCCAGA | 122 |
| PtRAM2 | F:GCTGATTTGGTTCTGGGCAC R:ACCAAGTAACCCTCCTTGCAC | 145 |
| PtSTR | F:ACTGGGTTTACGGAGTGCAA R:TCAAGGAACAACAGCGACGG | 76 |
| PtSTR2 | F:TCGCCGCTGATTTTCGTTTG R:TACGTGTTCCGAGTTGTCGTC | 103 |
| PtPT4 | F:TCGCTGCAAGTACAGGAAAGA R:ACTGTCAGTTGATCTCCAGCC | 73 |
| PtSWEET2 | F:TATGGCACGCCCCTTGTATC R:CCAAGCATCCGCACCTTTTT | 134 |
Table 1 Primer sequences of Poncirus trifoliate genes related to mycorrhizeal symbiosis
| 基因 Gene | 引物序列(5′-3′) Primer sequence | 扩增片段大小/bp Amplification fragment size |
|---|---|---|
| Actin | F:CCGACCGTATGAGCAAGGAAA R:TTCCTGTGGACAATGGATGGA | 190 |
| PtFatM | F:CCGGTCTTCTCAGCAATGGT R:TTCAACAACCTCTCCCCAGA | 122 |
| PtRAM2 | F:GCTGATTTGGTTCTGGGCAC R:ACCAAGTAACCCTCCTTGCAC | 145 |
| PtSTR | F:ACTGGGTTTACGGAGTGCAA R:TCAAGGAACAACAGCGACGG | 76 |
| PtSTR2 | F:TCGCCGCTGATTTTCGTTTG R:TACGTGTTCCGAGTTGTCGTC | 103 |
| PtPT4 | F:TCGCTGCAAGTACAGGAAAGA R:ACTGTCAGTTGATCTCCAGCC | 73 |
| PtSWEET2 | F:TATGGCACGCCCCTTGTATC R:CCAAGCATCCGCACCTTTTT | 134 |
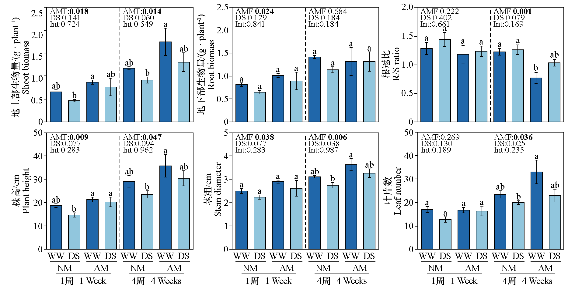
Fig. 1 The effect of drought stress and AMF inoculation on plant growth of Poncirus trifoliate WW:Well watered;DS:Drought stress;NM:Non-inoculation AMF;AM:Inoculation AMF. Different lowercase letters indicate significant differences at 0.05 levels. The bold values mean significant differences. Int:Interaction between AMF and drought stress(Two-way ANOVA). The same as below
| 处理 Treatment | 1周 1 Week | 4周 4 Weeks | ||||
|---|---|---|---|---|---|---|
| NLFA-C16:1ω5/ (nmol · g-1) | PLFA-C16:1ω5/ (nmol · g-1) | NLFA-C16:1ω5/ PLFA-C16:1ω5 | NLFA-C16:1ω5/ (nmol · g-1) | PLFA-C16:1ω5/ (nmol · g-1) | NLFA-C16:1ω5/ PLFA-C16:1ω5 | |
| 正常Well-watered | 215.51 ± 15.25** | 106.16 ± 7.85NS | 2.03 ± 0.11* | 158.89 ± 12.55** | 185.09 ± 33.87** | 0.86 ± 0.15NS |
| 干旱Drought stress | 98.97 ± 17.65 | 86.42 ± 9.59 | 1.15 ± 0.29 | 85.72 ± 12.47 | 71.21 ± 6.71 | 1.20 ± 0.18 |
Table 2 Allocation of the AMF-specific fatty acid between NLFA-C16:1ω5 and PLFA-C16:1ω5 in roots
| 处理 Treatment | 1周 1 Week | 4周 4 Weeks | ||||
|---|---|---|---|---|---|---|
| NLFA-C16:1ω5/ (nmol · g-1) | PLFA-C16:1ω5/ (nmol · g-1) | NLFA-C16:1ω5/ PLFA-C16:1ω5 | NLFA-C16:1ω5/ (nmol · g-1) | PLFA-C16:1ω5/ (nmol · g-1) | NLFA-C16:1ω5/ PLFA-C16:1ω5 | |
| 正常Well-watered | 215.51 ± 15.25** | 106.16 ± 7.85NS | 2.03 ± 0.11* | 158.89 ± 12.55** | 185.09 ± 33.87** | 0.86 ± 0.15NS |
| 干旱Drought stress | 98.97 ± 17.65 | 86.42 ± 9.59 | 1.15 ± 0.29 | 85.72 ± 12.47 | 71.21 ± 6.71 | 1.20 ± 0.18 |
| 处理 Treatment | 1周 1 Week | 4周 4 Weeks | ||||||
|---|---|---|---|---|---|---|---|---|
| NLFA-C16:1ω5/ (nmol · g-1) | 占比/% Proprotion | PLFA-C16:1ω5/ (nmol · g-1) | 占比/% Proprotion | NLFA-C16:1ω5 (nmol · g-1) | 占比/% Proprotion | PLFA-C16:1ω5/ (nmol · g-1) | 占比/% Proprotion | |
| 正常Well-watered | — | — | 306.66 ± 33.74NS | 100.0 | 200.38 ± 6.22* | 31.4 | 437.61 ± 21.35** | 68.6 |
| 干旱Drought stress | 66.17 ± 41.46 | 17.7 | 307.97 ± 23.85 | 82.3 | 106.98 ± 41.24 | 27.3 | 285.57 ± 27.44 | 72.7 |
Table 3 Allocation of the AMF-specific fatty acid between NLFA-C16:1ω5 and PLFA-C16:1ω5 in soil
| 处理 Treatment | 1周 1 Week | 4周 4 Weeks | ||||||
|---|---|---|---|---|---|---|---|---|
| NLFA-C16:1ω5/ (nmol · g-1) | 占比/% Proprotion | PLFA-C16:1ω5/ (nmol · g-1) | 占比/% Proprotion | NLFA-C16:1ω5 (nmol · g-1) | 占比/% Proprotion | PLFA-C16:1ω5/ (nmol · g-1) | 占比/% Proprotion | |
| 正常Well-watered | — | — | 306.66 ± 33.74NS | 100.0 | 200.38 ± 6.22* | 31.4 | 437.61 ± 21.35** | 68.6 |
| 干旱Drought stress | 66.17 ± 41.46 | 17.7 | 307.97 ± 23.85 | 82.3 | 106.98 ± 41.24 | 27.3 | 285.57 ± 27.44 | 72.7 |
Fig. 3 Allocation of AMF-specific fatty acids in roots and soil under drought stress A:Proportional allocation of NLFA-C16:1ω5 and PLFA-C16:1ω5 between root and soil at 1 week and 4 weeks after treatment;B:Total content of C16:1ω5(NLFA + PLFA)in roots and soil NS indicate no significant difference;* P < 0.05;** P < 0.01;*** P < 0.001
Fig. 4 Effects of drought stress on the expression of genes involved in AMF-specific lipid synthesis and transport(PtFatM,PtRAM2,PtSTR,PtSTR2),phosphorus transport across symbiosis(PtPT4),and sugar transport(PtSWEET2)
| [1] |
|
| [2] |
doi: 10.1093/jxb/erad249 pmid: 37409696 |
| [3] |
|
| [4] |
doi: 10.16420/j.issn.0513-353x.2023-0655 |
|
陈鑫, 邬晓龙, 刘升锐, 胡贤春, 刘春艳. 2024. 干旱胁迫下AMF对茶树光合特性及其基因表达的影响. 园艺学报, 51 (10):2358-2370.
|
|
| [5] |
doi: 10.1038/s41579-024-01073-7 |
| [6] |
doi: 10.1111/nph.v240.4 URL |
| [7] |
doi: 10.1111/emi.v22.3 URL |
| [8] |
|
| [9] |
|
| [10] |
doi: 10.1126/science.aam9970 pmid: 28596307 |
| [11] |
|
| [12] |
doi: 10.16420/j.issn.0513-353x.2022-1036 |
|
梁圣敏, 张菲, 吴强盛. 2023. 丛枝菌根真菌通过调节枳根系多胺提高抗旱性. 园艺学报, 50 (12):2680-2688.
doi: 10.16420/j.issn.0513-353x.2022-1036 |
|
| [13] |
doi: 10.13346/j.mycosystema.200370 |
|
刘娜, 赵泽宇, 姜喜铃, 邢晓科. 2021. 菌根真菌提高植物抗旱性机制的研究回顾与展望. 菌物学报, 40 (4):851-872.
doi: 10.13346/j.mycosystema.200370 |
|
| [14] |
doi: 10.1080/00380768.2020.1721320 URL |
| [15] |
|
| [16] |
|
| [17] |
|
| [18] |
|
|
裴琳婧, 张思颖, 朱叶琳, 叶靓, 陈家斌, 刘芳, 谭静. 2024. 干旱胁迫下丛枝菌根真菌对玉米生长和抗旱性的影响. 西南农业学报, 37 (8):1731-1742.
|
|
| [19] |
|
| [20] |
doi: 10.1007/BF02374780 URL |
| [21] |
doi: 10.1111/ppl.v175.1 URL |
| [22] |
doi: 10.1146/arplant.2023.74.issue-1 URL |
| [23] |
doi: 10.1111/gcb.v30.7 URL |
| [24] |
|
| [25] |
doi: 10.1007/s11104-022-05621-z |
| [26] |
|
| [27] |
|
| [28] |
doi: 10.1093/treephys/tpz039 URL |
| [29] |
|
|
张斌, 张浩成, 乔天, 吕治兵, 许亚男, 李雪芹, 原向阳, 冯美臣, 张美俊. 2025. 接种丛枝菌根真菌对干旱胁迫燕麦非结构性碳水化合物及碳氮磷化学计量特征的影响. 植物生态学报,49:1082-1095.
|
|
| [30] |
|
| [31] |
|
| [32] |
doi: 10.1021/acs.jafc.4c04769 URL |
| [33] |
|
| [1] | YU Miao, HUANG Shengyu, PAN Zhiyong. Functional Identification of a Nitrate Transport Gene PtNPF5.2 Related to Arbuscular Mycorrhizal Symbiosis in Poncirus trifoliata [J]. Acta Horticulturae Sinica, 2026, 53(4): 1025-1037. |
| [2] | GAO Yawen, SUN Linjiao, LIU Yusong, SUN Wentai, XU Mingna, SONG Lefen, WANG Xuemei, WANG Gongshuai, WANG Mei, YIN Chengmiao, MAO Zhiquan. Mechanism of Synergistic Alleviation of Apple Replant Disease by Arbuscular Mycorrhizal Fungi and Talaromyces pinophilus LZ1 [J]. Acta Horticulturae Sinica, 2026, 53(4): 1038-1056. |
| [3] | RUI Wenjing, LI Jing, ZHANG Jing, ZHANG Xiaodan, WANG Cheng, XIE Jianming. Mechanisms and Regulation of the Synergistic Interactions Among Plants,Arbuscular Mycorrhizal Fungi,and Rhizosphere Microorganisms [J]. Acta Horticulturae Sinica, 2026, 53(4): 923-937. |
| [4] | LI Feng, YAN Wenhui, LENG Hao, XIANG Dan, LIANG Bin, LI Min, LI Baoshen, ZHANG Lin. Progress of the Application of Arbuscular Mycorrhizal Fungi in Horticultural Crops [J]. Acta Horticulturae Sinica, 2026, 53(4): 938-954. |
| [5] | YE Guojian, FENG Zengwei, LIU Xiaodi, CHEN Meng, XIE Xiaolin, YAO Qing, DENG Mingrong, ZHU Honghui. Arbuscular Mycorrhizal Fungi in Orchard Ecosystems:Diversity,Environmental Responses,and Mechanisms in Enhancing Fruit Tree Stress Resistance [J]. Acta Horticulturae Sinica, 2026, 53(4): 955-971. |
| [6] | XIAO Wang, ZHANG Fei, ZHENG Fengling, ZOU Yingning, WU Qiangsheng. Mechanisms and Challenges in the Application of Arbuscular Mycorrhizal Fungi in Enhancing Drought Tolerance in Fruit Trees [J]. Acta Horticulturae Sinica, 2026, 53(4): 972-984. |
| [7] | ZANG Jiaojiao, SHI Zhaoyong, ZHANG Shanglong, SUN Yajie, XIAO Jingyi, WU Shanwei, GAO Jiakai, ZHANG Xin, DUO Yonghao. Research Progress,Existing Problems and Prospects on the Diversity and Function of Arbuscular Mycorrhizal Fungi in Tree Peony [J]. Acta Horticulturae Sinica, 2026, 53(4): 985-996. |
| [8] | WANG Yanqiu, BAN Jingjie, ZENG Yuhan, LAI Chunwang, HUANG Xiaoling, ZHOU Jianjin, WAN Kui, LAI Zhongxiong, LIN Yuling. Identification of the DREB Gene Family in Polygonatum cyrtonema and Analysis of Its Response to Salt Stress [J]. Acta Horticulturae Sinica, 2026, 53(1): 159-173. |
| [9] | ZHU Cunlan, FAN Junliang, WANG Kaitong, WEI Meng, YANG Liang, LIU Haotian, SI Huaijun, ZHANG Ning. Function Analysis ofStRGLG1in Regulating Potato to Drought Stress Response [J]. Acta Horticulturae Sinica, 2025, 52(9): 2329-2342. |
| [10] | DU Lijun, LIU Yingcai, SHI Yanyan, WANG Yang, LI Chunhui, HE Yintao, WANG Xu, BIAN Chuanjie, ZHANG Manrang. Effect of Arbuscular Mycorrhizal Fungi on the Growth and Mechanism of Different Apple Cultivar Under Salt-Alkali Stress [J]. Acta Horticulturae Sinica, 2025, 52(9): 2410-2424. |
| [11] | ZHAO Yupu, BAI Yihan, HOU Saisai, PU Zitian, NIE Lanchun, LI Qingyun, and WANG Xinxin. Research Progress of Alleviating Continuous Cropping Obstacles in Facilities Vegetables Soil Using Arbuscular Mycorrhizal Fungi [J]. Acta Horticulturae Sinica, 2025, 52(8): 2166-2186. |
| [12] | ZHOU Tian, LÜ Shuaili, HAN Han, LI Yujia, LIU Haiqiang, and LIU Yongzhong. Effect of Exogenous Strigolactones on the Secondary Growth of Poncirus trifoliata Seedlings Stem [J]. Acta Horticulturae Sinica, 2025, 52(7): 1843-1854. |
| [13] | XIAO Zhihao, ZHENG Hankai, ZHANG Mannan, TANG Huaiqian, WANG Jiaying, ZHANG Yuyang, ZHANG Junhong, YE Zhibiao, and YE Jie. Effects of Potassium on Growth and Development of Tomato Seedlings Under Abiotic Stress [J]. Acta Horticulturae Sinica, 2025, 52(6): 1599-1618. |
| [14] | LI Ao, ZHENG Xu, WU Chengxu, NIE Ruining, JI Xinying, TANG Jiali, ZHANG Junpei. The Effect of Arbuscular Mycorrhizal Fungi on the Growth and Physiological Characteristics of Walnut Seedlings Under Salt Stress [J]. Acta Horticulturae Sinica, 2025, 52(2): 423-438. |
| [15] | LI Chaonan, LI Lu, GAO Danlei, QIAO Hongyong, YUAN Tao. Differences in Arbuscular Mycorrhizal Fungi Community in the Roots and Rhizosphere Soil of Paeonia ludlowii Between Original Site and Introduction Site [J]. Acta Horticulturae Sinica, 2025, 52(2): 467-480. |
| Viewed | ||||||
|
Full text |
|
|||||
|
Abstract |
|
|||||
Copyright © 2012 Acta Horticulturae Sinica 京ICP备10030308号-2 国际联网备案号 11010802023439
Tel: 010-82109523 E-Mail: yuanyixuebao@126.com
Support by: Beijing Magtech Co.Ltd