园艺学报 ›› 2025, Vol. 52 ›› Issue (1): 213-228.doi: 10.16420/j.issn.0513-353x.2023-1029
张诗琦1, 黄璐2, 程茜2, 张晓燕2, 袁宇婷2, 侯轶晨2, 戴冬青2, 夏秀东4, 袁星星2, 陈新2,3, 朱月林1,*(
), 薛晨晨2,3,*(
)
收稿日期:2024-10-22
修回日期:2024-11-25
出版日期:2025-01-25
发布日期:2025-01-19
通讯作者:
基金资助:
ZHANG Shiqi1, HUANG Lu2, CHENG Xi2, ZHANG Xiaoyan2, YUAN Yuting2, HOU Yichen2, DAI Dongqing2, XIA Xiudong4, YUAN Xingxing2, CHEN Xin2,3, ZHU Yuelin1,*(
), XUE Chenchen2,3,*(
)
Received:2024-10-22
Revised:2024-11-25
Published:2025-01-25
Online:2025-01-19
Contact:
* E-mail:ylzhu@njau.edu.cn,xuecc@jaas.ac.cn
摘要:
为探究不同播期对鲜食大豆主要品质的影响,以近年来江苏省大面积推广的鲜食大豆品种‘苏成4号’‘苏新6号’和‘新3号’为供试材料,通过电子舌、电子鼻和气相色谱—质谱联用(GC-MS)等方法分析了不同播期(4月15日、5月15日、6月15日)对其营养成分(粗蛋白、粗脂肪、10 kD以下肽、游离氨基酸含量、糖组分)和食用品质(滋味响应值、气味响应值、挥发性成分)的影响。结果表明:在营养成分的变化上,随着播期的延迟,鲜食大豆中粗蛋白和蔗糖含量呈先升后降趋势,粗脂肪含量呈先降后升趋势,且均在5月15日、播期下达到极值。在食用品质方面,通过电子舌分析可知不同播期处理下各品种的甜味和鲜味响应值差异显著。电子鼻检测出酮类、醛类、含氮物质等含量较多。此外,GC-MS结果显示,己醛、1-己醇、1-辛烯-3-醇等是鲜食大豆风味的主要构成因子。隶属函数分析发现3个品种在5月15日、播期下的主要品质性状综合表现最佳。相关性分析表明,蔗糖和游离氨基酸含量分别与电子舌甜味响应值和鲜味响应值正相关。综上,在5月中旬播种,鲜食大豆品种的品质表现最佳,口感鲜甜味最高,且‘苏新6号’的营养品质、‘苏成4号’的食用品质优于其他品种。
张诗琦, 黄璐, 程茜, 张晓燕, 袁宇婷, 侯轶晨, 戴冬青, 夏秀东, 袁星星, 陈新, 朱月林, 薛晨晨. 不同播期对鲜食大豆品质的影响[J]. 园艺学报, 2025, 52(1): 213-228.
ZHANG Shiqi, HUANG Lu, CHENG Xi, ZHANG Xiaoyan, YUAN Yuting, HOU Yichen, DAI Dongqing, XIA Xiudong, YUAN Xingxing, CHEN Xin, ZHU Yuelin, XUE Chenchen. Influence of Different Sowing Dates on the Quality of Vegetable Soybeans[J]. Acta Horticulturae Sinica, 2025, 52(1): 213-228.
| 编号 No. | 传感器名称 Sensor name | 检测范围 Detection range |
|---|---|---|
| 1 | LY2/LG | 氯、氮氧化合物、氧化分子Chlorine,nitrogen oxides,oxidized molecules |
| 2 | LY2/G | 氨、胺、醇类和酮类Ammonia,amines,alcohols and ketones |
| 3 | LY2/AA | 氨和酮类Ammonia and ketones |
| 4 | LY2/GH | 氨和有机胺类Ammonia and organic amines |
| 5 | LY2/gCTL | 硫化氢Hydrogen sulfide |
| 6 | LY2/gCT | 丙烷、丁烷、醇类Propane,butane,alcohols |
| 7 | T30/1 | 有机化合物、极性化合物、酸类Organic compounds,polar compounds,acids |
| 8 | P10/1 | 烃类、甲烷Hydrocarbons,methane |
| 9 | P10/2 | 甲烷、丙烷、脂肪酸Methane,propane,fatty acids |
| 10 | P40/1 | 氟利昂、氧化分子Freon,oxidizing molecules |
| 11 | T70/2 | 芳香族化合物Aromatic compound |
| 12 | PA/2 | 酮类、醇类、有机胺类、含氮化合物Ketones,alcohols,organic amines,nitrogen-containing compounds |
表1 Fox 3000型电子鼻12根传感器的性能
Table 1 Fox 3000 electronic nose 12 sensor performance
| 编号 No. | 传感器名称 Sensor name | 检测范围 Detection range |
|---|---|---|
| 1 | LY2/LG | 氯、氮氧化合物、氧化分子Chlorine,nitrogen oxides,oxidized molecules |
| 2 | LY2/G | 氨、胺、醇类和酮类Ammonia,amines,alcohols and ketones |
| 3 | LY2/AA | 氨和酮类Ammonia and ketones |
| 4 | LY2/GH | 氨和有机胺类Ammonia and organic amines |
| 5 | LY2/gCTL | 硫化氢Hydrogen sulfide |
| 6 | LY2/gCT | 丙烷、丁烷、醇类Propane,butane,alcohols |
| 7 | T30/1 | 有机化合物、极性化合物、酸类Organic compounds,polar compounds,acids |
| 8 | P10/1 | 烃类、甲烷Hydrocarbons,methane |
| 9 | P10/2 | 甲烷、丙烷、脂肪酸Methane,propane,fatty acids |
| 10 | P40/1 | 氟利昂、氧化分子Freon,oxidizing molecules |
| 11 | T70/2 | 芳香族化合物Aromatic compound |
| 12 | PA/2 | 酮类、醇类、有机胺类、含氮化合物Ketones,alcohols,organic amines,nitrogen-containing compounds |
| 品种 Cultivar | 播期/(M-D) Sowing date | 粗蛋白/% Crude protein | 粗脂肪/% Crude fat | 游离氨基酸/(mg · g-1) Free amino acid | 10 kD以下肽/(mg · g-1) Peptide below 10 kD |
|---|---|---|---|---|---|
| 苏成4号 Sucheng 4 | 04-15 | 38.84 ± 0.57 d | 21.51 ± 0.09 a | 8.39 ± 0.03 a | 1 111.26 ± 3.91 cd |
| 05-15 | 42.27 ± 0.70 b | 15.10 ± 0.07 h | 8.40 ± 0.05 a | 1 144.63 ± 7.62 c | |
| 06-15 | 40.96 ± 0.61 bcd | 15.73 ± 0.07 g | 7.93 ± 0.04 c | 1 143.04 ± 41.29 c | |
| 苏新6号 Suxin 6 | 04-15 | 39.69 ± 0.72 bcd | 20.71 ± 0.07 b | 8.34 ± 0.02 a | 1 085.36 ± 21.27 cd |
| 05-15 | 42.75 ± 1.17 a | 17.66 ± 0.08 f | 8.41 ± 0.10 a | 1 052.31 ± 23.22 de | |
| 06-15 | 41.19 ± 0.82 bcd | 18.81 ± 0.06 e | 8.17 ± 0.04 b | 1 282.07 ± 12.46 a | |
| 新3号 Xin 3 | 04-15 | 41.63 ± 1.15 bc | 19.30 ± 0.02 d | 7.96 ± 0.03 c | 1 109.83 ± 6.19 cd |
| 05-15 | 41.64 ± 0.57 bc | 18.99 ± 0.02 e | 8.08 ± 0.03 bc | 1 007.67 ± 11.18 e | |
| 06-15 | 39.03 ± 0.65 cd | 20.29 ± 0.06 c | 7.78 ± 0.07 d | 1 204.05 ± 13.29 b |
表2 不同播期处理的不同品种鲜食大豆主要营养成分含量
Table 2 Main nutrient contents of different vegetable soybean cultivars at different sowing dates
| 品种 Cultivar | 播期/(M-D) Sowing date | 粗蛋白/% Crude protein | 粗脂肪/% Crude fat | 游离氨基酸/(mg · g-1) Free amino acid | 10 kD以下肽/(mg · g-1) Peptide below 10 kD |
|---|---|---|---|---|---|
| 苏成4号 Sucheng 4 | 04-15 | 38.84 ± 0.57 d | 21.51 ± 0.09 a | 8.39 ± 0.03 a | 1 111.26 ± 3.91 cd |
| 05-15 | 42.27 ± 0.70 b | 15.10 ± 0.07 h | 8.40 ± 0.05 a | 1 144.63 ± 7.62 c | |
| 06-15 | 40.96 ± 0.61 bcd | 15.73 ± 0.07 g | 7.93 ± 0.04 c | 1 143.04 ± 41.29 c | |
| 苏新6号 Suxin 6 | 04-15 | 39.69 ± 0.72 bcd | 20.71 ± 0.07 b | 8.34 ± 0.02 a | 1 085.36 ± 21.27 cd |
| 05-15 | 42.75 ± 1.17 a | 17.66 ± 0.08 f | 8.41 ± 0.10 a | 1 052.31 ± 23.22 de | |
| 06-15 | 41.19 ± 0.82 bcd | 18.81 ± 0.06 e | 8.17 ± 0.04 b | 1 282.07 ± 12.46 a | |
| 新3号 Xin 3 | 04-15 | 41.63 ± 1.15 bc | 19.30 ± 0.02 d | 7.96 ± 0.03 c | 1 109.83 ± 6.19 cd |
| 05-15 | 41.64 ± 0.57 bc | 18.99 ± 0.02 e | 8.08 ± 0.03 bc | 1 007.67 ± 11.18 e | |
| 06-15 | 39.03 ± 0.65 cd | 20.29 ± 0.06 c | 7.78 ± 0.07 d | 1 204.05 ± 13.29 b |
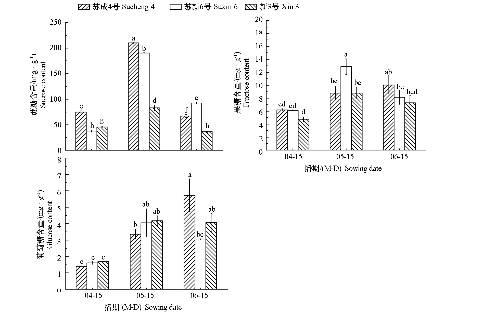
图2 不同播期下不同鲜食大豆品种糖组分含量 显著性分析方法为方差分析。不同小写字母表示不同处理之间在0.05水平上存在显著差异。下同
Fig. 2 Sugar content of different vegetable soybean cultivars at different sowing dates Significance was analyzed by ANOVA. Different lowercase letters indicate significant differences among treatments at 0.05 level. The same below
图3 不同播期下不同鲜食大豆品种总酚、总黄酮及异黄酮含量
Fig. 3 Total phenols,total flavonoids and isoflavonoids in different vegetable soybean cultivars at different sowing dates
| 品种 Cultivar | 播期/(M-D) Sowing date | 甜味 Sweetness | 鲜味 Umami | 酸味 Sourness | 咸味 Saltiness | 苦味 Bitterness |
|---|---|---|---|---|---|---|
| 苏成4号 Sucheng 4 | 04-15 | 2 658.43 ± 5.24 a | 2 155.77 ± 4.83 a | 570.62 ± 4.67 a | 2 929.68 ± 48.15 a | 834.76 ± 3.97 a |
| 05-15 | 2 668.57 ± 3.82 a | 2 155.49 ± 10.26 a | 569.37 ± 4.56 a | 2 918.10 ± 42.08 a | 834.84 ± 3.94 a | |
| 06-15 | 2 566.87 ± 5.16 c | 2 114.09 ± 8.88 bc | 569.96 ± 4.71 a | 2 894.45 ± 40.58 a | 835.45 ± 4.05 a | |
| 苏新6号 Suxin 6 | 04-15 | 2 565.87 ± 1.55 c | 2 109.10 ± 2.88 bc | 572.87 ± 4.24 a | 2 965.55 ± 24.58 a | 836.73 ± 3.70 a |
| 05-15 | 2 663.76 ± 2.54 a | 2 129.93 ± 8.02 b | 573.19 ± 4.10 a | 2 951.66 ± 21.81 a | 837.58 ± 3.55 a | |
| 06-15 | 2 567.90 ± 3.43 c | 2 099.02 ± 5.36 c | 573.94 ± 4.09 a | 2 942.09 ± 21.77 a | 838.46 ± 3.64 a | |
| 新3号 Xin 3 | 04-15 | 2 610.11 ± 5.19 b | 2 061.33 ± 6.47 d | 570.12 ± 4.53 a | 2 939.83 ± 34.22 a | 835.41 ± 3.94 a |
| 05-15 | 2 536.31 ± 5.07 d | 2 119.59 ± 6.10 bc | 571.25 ± 4.24 a | 2 895.18 ± 30.73 a | 836.27 ± 3.82 a | |
| 06-15 | 2 482.57 ± 3.00 e | 2 051.10 ± 4.26 d | 571.02 ± 4.19 a | 2 899.31 ± 29.82 a | 836.29 ± 3.70 a |
表3 不同播期下不同鲜食大豆品种电子舌响应值结果
Table 3 Results of electronic tongue of different vegetable soybean cultivars at different sowing dates
| 品种 Cultivar | 播期/(M-D) Sowing date | 甜味 Sweetness | 鲜味 Umami | 酸味 Sourness | 咸味 Saltiness | 苦味 Bitterness |
|---|---|---|---|---|---|---|
| 苏成4号 Sucheng 4 | 04-15 | 2 658.43 ± 5.24 a | 2 155.77 ± 4.83 a | 570.62 ± 4.67 a | 2 929.68 ± 48.15 a | 834.76 ± 3.97 a |
| 05-15 | 2 668.57 ± 3.82 a | 2 155.49 ± 10.26 a | 569.37 ± 4.56 a | 2 918.10 ± 42.08 a | 834.84 ± 3.94 a | |
| 06-15 | 2 566.87 ± 5.16 c | 2 114.09 ± 8.88 bc | 569.96 ± 4.71 a | 2 894.45 ± 40.58 a | 835.45 ± 4.05 a | |
| 苏新6号 Suxin 6 | 04-15 | 2 565.87 ± 1.55 c | 2 109.10 ± 2.88 bc | 572.87 ± 4.24 a | 2 965.55 ± 24.58 a | 836.73 ± 3.70 a |
| 05-15 | 2 663.76 ± 2.54 a | 2 129.93 ± 8.02 b | 573.19 ± 4.10 a | 2 951.66 ± 21.81 a | 837.58 ± 3.55 a | |
| 06-15 | 2 567.90 ± 3.43 c | 2 099.02 ± 5.36 c | 573.94 ± 4.09 a | 2 942.09 ± 21.77 a | 838.46 ± 3.64 a | |
| 新3号 Xin 3 | 04-15 | 2 610.11 ± 5.19 b | 2 061.33 ± 6.47 d | 570.12 ± 4.53 a | 2 939.83 ± 34.22 a | 835.41 ± 3.94 a |
| 05-15 | 2 536.31 ± 5.07 d | 2 119.59 ± 6.10 bc | 571.25 ± 4.24 a | 2 895.18 ± 30.73 a | 836.27 ± 3.82 a | |
| 06-15 | 2 482.57 ± 3.00 e | 2 051.10 ± 4.26 d | 571.02 ± 4.19 a | 2 899.31 ± 29.82 a | 836.29 ± 3.70 a |
图4 不同播期下3个鲜食大豆品种电子鼻气味雷达图 PA2、T70/2、P40/1、P40/1、P10/2、P10/1、T30/1、LY2/gCT、LY2/gCTL、LY2/GH、LY2/AA、LY2/G为12根传感器,具体检测范围见表1
Fig. 4 Radar plot of electronic nose results of vegetable soybean cultivars at different sowing dates PA2,T70/2,P40/1,P40/1,P10/2,P10/1,T30/1,LY2/gCT,LY2/gCTL,LY2/GH,LY2/AA,LY2/G are 12 sensors with specific detection ranges showned in Table 1
| 分类Categorization | 名称Name | 苏成4号 Sucheng 4 | 苏新6号 Suxin 6 | 新3号 Xin 3 | ||||||
|---|---|---|---|---|---|---|---|---|---|---|
| 04-15 | 05-15 | 06-15 | 04-15 | 05-15 | 06-15 | 04-15 | 05-15 | 06-15 | ||
| 醛Aldehyde | 己醛Hexanal | 16.03 | 15.83 | 6.59 | 9.98 | 23.56 | 6.01 | 14.8 | 19.98 | 10.98 |
| 2-己醛2-Hexenal, (E)- | 0.71 | 3.30 | 2.38 | 0.48 | 1.39 | 2.13 | 2.54 | 2.96 | 4.32 | |
| 庚醛Heptanal | 0.35 | ND | ND | 1.08 | ND | ND | ND | ND | ND | |
| 2-庚烯醛2-Heptenal, (Z)- | 0.81 | 0.69 | 0.38 | 0.91 | ND | 0.31 | 1.06 | 0.64 | 0.72 | |
| 2-辛烯醛2-Octenal, (E)- | 0.85 | 0.62 | 0.30 | 1.40 | 0.99 | 0.74 | 0.82 | 0.73 | 0.64 | |
| 壬醛Nonanal | 14.08 | 3.53 | 2.68 | 26.25 | 5.96 | 3.25 | 9.42 | 3.45 | 2.42 | |
| 2-壬烯醛2-Nonenal, (E)- | ND | 0.62 | 0.36 | ND | 0.31 | ND | ND | 0.01 | ND | |
| 癸醛Decanal | 0.41 | ND | ND | 0.47 | ND | ND | ND | ND | ND | |
| 2-癸烯醛(E)- 2-Decenal,(E)- | ND | ND | ND | 1.71 | 0.47 | ND | ND | ND | ND | |
| 7-十六烯醛(Z)- 7-Hexadecenal,(Z)- | ND | ND | ND | 0.74 | ND | ND | ND | 0.03 | ND | |
| 醇Alcohol | 1-戊醇1-Pentanol | 0.94 | ND | ND | 0.52 | ND | ND | 0.47 | ND | ND |
| 3-己烯-1-醇 3-Hexen-1-ol | 0.60 | ND | ND | 2.10 | 0.12 | ND | 0.02 | ND | ND | |
| 1-己醇 1-Hexanol | 18.08 | 29.61 | 34.65 | 16.49 | 42.87 | 40.01 | 33.54 | 28.70 | 20.74 | |
| 1-庚醇 1-Heptanol | 0.69 | ND | ND | 1.41 | ND | ND | ND | ND | ND | |
| 1-辛烯-3-醇 1-Octen-3-ol | 42.06 | 17.96 | 18.94 | 33.20 | 9.89 | 27.67 | 14.77 | 26.45 | 37.05 | |
| 3-辛醇 3-Octanol | ND | ND | 2.08 | ND | 0.09 | ND | ND | ND | ND | |
| 3-甲基-5-庚醇 -Heptanol,5-methyl- | 0.25 | 1.16 | ND | 0.22 | ND | 0.51 | 0.26 | 0.6 | 0.93 | |
| 1-辛醇 1-Octanol | 4.12 | ND | ND | 3.03 | ND | ND | 1.55 | ND | ND | |
| 1-壬烯-4-醇1-Nonen-4-ol | ND | ND | ND | ND | 5.56 | 2.88 | ND | ND | ND | |
| 2-癸-1-醇 2-Decen-1-ol,(E)- | ND | 0.33 | 0.12 | 0.01 | 0.24 | ND | 0.47 | 1.01 | 0.69 | |
| 酮Ketone | 3-甲基-6-庚酮 3-Heptanone,6-methyl- | ND | ND | 0.03 | ND | ND | ND | 0.04 | ND | ND |
| 3-辛酮 3-Octanone | ND | 26.00 | 30.72 | ND | 8.55 | 15.84 | 19.70 | 15.28 | 21.30 | |
| 酯Ester | 甲酸己酯 Formic acid, hexyl ester | 0.01 | 0.02 | 0.57 | ND | ND | ND | 0.17 | ND | ND |
| 乙酸己酯 Acetic acid, hexyl ester | ND | ND | ND | ND | ND | 0.40 | ND | ND | ND | |
| 1,2-苯二甲酸丁辛酯 1,2-Benzenedicarboxylic acid, butyl octyl ester | ND | 0.09 | 0.04 | ND | ND | 0.07 | ND | 0.04 | 0.10 | |
| 烯烃Alkene | 1,3-二甲基-5-己烯 1-Hexene,3,5-dimethyl- | ND | 0.08 | 0.13 | ND | ND | 0.18 | 0.19 | 0.12 | 0.10 |
| 1-甲基-6-辛烯 1-Methyl-6-octene | ND | ND | ND | ND | ND | ND | 0.18 | ND | ND | |
表4 不同播期下3个鲜食大豆品种挥发性化合物的组成和相对含量
Table 4 Composition and relative content of volatile compounds in three vegetable soybean cultivars under different sowing dates %
| 分类Categorization | 名称Name | 苏成4号 Sucheng 4 | 苏新6号 Suxin 6 | 新3号 Xin 3 | ||||||
|---|---|---|---|---|---|---|---|---|---|---|
| 04-15 | 05-15 | 06-15 | 04-15 | 05-15 | 06-15 | 04-15 | 05-15 | 06-15 | ||
| 醛Aldehyde | 己醛Hexanal | 16.03 | 15.83 | 6.59 | 9.98 | 23.56 | 6.01 | 14.8 | 19.98 | 10.98 |
| 2-己醛2-Hexenal, (E)- | 0.71 | 3.30 | 2.38 | 0.48 | 1.39 | 2.13 | 2.54 | 2.96 | 4.32 | |
| 庚醛Heptanal | 0.35 | ND | ND | 1.08 | ND | ND | ND | ND | ND | |
| 2-庚烯醛2-Heptenal, (Z)- | 0.81 | 0.69 | 0.38 | 0.91 | ND | 0.31 | 1.06 | 0.64 | 0.72 | |
| 2-辛烯醛2-Octenal, (E)- | 0.85 | 0.62 | 0.30 | 1.40 | 0.99 | 0.74 | 0.82 | 0.73 | 0.64 | |
| 壬醛Nonanal | 14.08 | 3.53 | 2.68 | 26.25 | 5.96 | 3.25 | 9.42 | 3.45 | 2.42 | |
| 2-壬烯醛2-Nonenal, (E)- | ND | 0.62 | 0.36 | ND | 0.31 | ND | ND | 0.01 | ND | |
| 癸醛Decanal | 0.41 | ND | ND | 0.47 | ND | ND | ND | ND | ND | |
| 2-癸烯醛(E)- 2-Decenal,(E)- | ND | ND | ND | 1.71 | 0.47 | ND | ND | ND | ND | |
| 7-十六烯醛(Z)- 7-Hexadecenal,(Z)- | ND | ND | ND | 0.74 | ND | ND | ND | 0.03 | ND | |
| 醇Alcohol | 1-戊醇1-Pentanol | 0.94 | ND | ND | 0.52 | ND | ND | 0.47 | ND | ND |
| 3-己烯-1-醇 3-Hexen-1-ol | 0.60 | ND | ND | 2.10 | 0.12 | ND | 0.02 | ND | ND | |
| 1-己醇 1-Hexanol | 18.08 | 29.61 | 34.65 | 16.49 | 42.87 | 40.01 | 33.54 | 28.70 | 20.74 | |
| 1-庚醇 1-Heptanol | 0.69 | ND | ND | 1.41 | ND | ND | ND | ND | ND | |
| 1-辛烯-3-醇 1-Octen-3-ol | 42.06 | 17.96 | 18.94 | 33.20 | 9.89 | 27.67 | 14.77 | 26.45 | 37.05 | |
| 3-辛醇 3-Octanol | ND | ND | 2.08 | ND | 0.09 | ND | ND | ND | ND | |
| 3-甲基-5-庚醇 -Heptanol,5-methyl- | 0.25 | 1.16 | ND | 0.22 | ND | 0.51 | 0.26 | 0.6 | 0.93 | |
| 1-辛醇 1-Octanol | 4.12 | ND | ND | 3.03 | ND | ND | 1.55 | ND | ND | |
| 1-壬烯-4-醇1-Nonen-4-ol | ND | ND | ND | ND | 5.56 | 2.88 | ND | ND | ND | |
| 2-癸-1-醇 2-Decen-1-ol,(E)- | ND | 0.33 | 0.12 | 0.01 | 0.24 | ND | 0.47 | 1.01 | 0.69 | |
| 酮Ketone | 3-甲基-6-庚酮 3-Heptanone,6-methyl- | ND | ND | 0.03 | ND | ND | ND | 0.04 | ND | ND |
| 3-辛酮 3-Octanone | ND | 26.00 | 30.72 | ND | 8.55 | 15.84 | 19.70 | 15.28 | 21.30 | |
| 酯Ester | 甲酸己酯 Formic acid, hexyl ester | 0.01 | 0.02 | 0.57 | ND | ND | ND | 0.17 | ND | ND |
| 乙酸己酯 Acetic acid, hexyl ester | ND | ND | ND | ND | ND | 0.40 | ND | ND | ND | |
| 1,2-苯二甲酸丁辛酯 1,2-Benzenedicarboxylic acid, butyl octyl ester | ND | 0.09 | 0.04 | ND | ND | 0.07 | ND | 0.04 | 0.10 | |
| 烯烃Alkene | 1,3-二甲基-5-己烯 1-Hexene,3,5-dimethyl- | ND | 0.08 | 0.13 | ND | ND | 0.18 | 0.19 | 0.12 | 0.10 |
| 1-甲基-6-辛烯 1-Methyl-6-octene | ND | ND | ND | ND | ND | ND | 0.18 | ND | ND | |
| 品种 Cultivar | 播期/ (M-D) Sowing date | 综合指标值Comprehensive index value | 隶属函数值Membership function | 综合评价值 Comprehensive evaluation value | ||||||
|---|---|---|---|---|---|---|---|---|---|---|
| x1 | x2 | x3 | x4 | μ1 | μ2 | μ3 | μ4 | |||
| 苏成4号 Sucheng 4 | 04-15 | -1.010 | 0.893 | -0.607 | 0.689 | 0.081 | 0.807 | 0.298 | 0.869 | 0.368 |
| 05-15 | 1.224 | 1.027 | 1.099 | -0.592 | 0.902 | 0.857 | 0.850 | 0.414 | 0.838 | |
| 06-15 | 0.771 | -1.268 | 0.279 | -1.112 | 0.736 | 0.000 | 0.585 | 0.229 | 0.482 | |
| 苏新6号 Suxin 6 | 04-15 | -0.867 | 1.411 | -0.035 | -0.288 | 0.134 | 1.000 | 0.484 | 0.522 | 0.439 |
| 05-15 | 1.490 | 0.361 | -0.471 | 1.058 | 1.000 | 0.608 | 0.343 | 1.000 | 0.805 | |
| 06-15 | -0.336 | -0.332 | 1.561 | 0.902 | 0.329 | 0.349 | 1.000 | 0.944 | 0.488 | |
| 新3号 Xin 3 | 04-15 | -0.398 | 0.029 | -0.955 | -1.757 | 0.306 | 0.484 | 0.186 | 0.000 | 0.305 |
| 05-15 | 0.358 | -0.881 | -1.529 | 0.888 | 0.584 | 0.145 | 0.000 | 0.940 | 0.421 | |
| 06-15 | -1.231 | -1.238 | 0.658 | 0.212 | 0.000 | 0.011 | 0.708 | 0.699 | 0.170 | |
表 5 不同播期对鲜食大豆主要品质性状的综合评价
Table 5 Comprehensive evaluation of the main quality traits of vegetable soybean under different sowing dates
| 品种 Cultivar | 播期/ (M-D) Sowing date | 综合指标值Comprehensive index value | 隶属函数值Membership function | 综合评价值 Comprehensive evaluation value | ||||||
|---|---|---|---|---|---|---|---|---|---|---|
| x1 | x2 | x3 | x4 | μ1 | μ2 | μ3 | μ4 | |||
| 苏成4号 Sucheng 4 | 04-15 | -1.010 | 0.893 | -0.607 | 0.689 | 0.081 | 0.807 | 0.298 | 0.869 | 0.368 |
| 05-15 | 1.224 | 1.027 | 1.099 | -0.592 | 0.902 | 0.857 | 0.850 | 0.414 | 0.838 | |
| 06-15 | 0.771 | -1.268 | 0.279 | -1.112 | 0.736 | 0.000 | 0.585 | 0.229 | 0.482 | |
| 苏新6号 Suxin 6 | 04-15 | -0.867 | 1.411 | -0.035 | -0.288 | 0.134 | 1.000 | 0.484 | 0.522 | 0.439 |
| 05-15 | 1.490 | 0.361 | -0.471 | 1.058 | 1.000 | 0.608 | 0.343 | 1.000 | 0.805 | |
| 06-15 | -0.336 | -0.332 | 1.561 | 0.902 | 0.329 | 0.349 | 1.000 | 0.944 | 0.488 | |
| 新3号 Xin 3 | 04-15 | -0.398 | 0.029 | -0.955 | -1.757 | 0.306 | 0.484 | 0.186 | 0.000 | 0.305 |
| 05-15 | 0.358 | -0.881 | -1.529 | 0.888 | 0.584 | 0.145 | 0.000 | 0.940 | 0.421 | |
| 06-15 | -1.231 | -1.238 | 0.658 | 0.212 | 0.000 | 0.011 | 0.708 | 0.699 | 0.170 | |
| 相关指标 Relevant indicator | 甜味 Sweetness | 鲜味 Umami | 蔗糖 Sucrose | 果糖 Fructose | 葡萄糖 Glucose | 游离氨基酸 Free amino acid |
|---|---|---|---|---|---|---|
| 甜味Sweetness | 1 | |||||
| 鲜味Umami | 0.937** | 1 | ||||
| 蔗糖Sucrose | 0.653 | 0.525 | 1 | |||
| 果糖Fructose | 0.210 | 0.042 | 0.391 | 1 | ||
| 葡萄糖Glucose | -0.326 | -0.375 | -0.128 | 0.734* | 1 | |
| 游离氨基酸Free amino acid | 0.782* | 0.717* | 0.627 | 0.220 | -0.422 | 1 |
表6 鲜食大豆主要食用品质指标与电子舌响应值的相关性分析
Table 6 Analysis of the correlation between the main edible quality indexes of vegetable soybeans and electronic tongues
| 相关指标 Relevant indicator | 甜味 Sweetness | 鲜味 Umami | 蔗糖 Sucrose | 果糖 Fructose | 葡萄糖 Glucose | 游离氨基酸 Free amino acid |
|---|---|---|---|---|---|---|
| 甜味Sweetness | 1 | |||||
| 鲜味Umami | 0.937** | 1 | ||||
| 蔗糖Sucrose | 0.653 | 0.525 | 1 | |||
| 果糖Fructose | 0.210 | 0.042 | 0.391 | 1 | ||
| 葡萄糖Glucose | -0.326 | -0.375 | -0.128 | 0.734* | 1 | |
| 游离氨基酸Free amino acid | 0.782* | 0.717* | 0.627 | 0.220 | -0.422 | 1 |
| [1] |
|
| [2] |
|
|
步营, 韩梦琳, 祝伦伟, 朱文慧, 李学鹏, 位正鹏, 励建荣. 2022. 蓝蛤酶解液美拉德反应工艺优化及其对挥发性风味物质的影响. 中国调味品, 47 (6):10-17.
|
|
| [3] |
|
|
蔡润, 孙正梁, 胡京昂, 宫海军, 张颜. 2023. 不同口感型番茄品种的品质鉴定及多元统计分析. 中国蔬菜,(11):87-97.
|
|
| [4] |
|
|
陈志杰, 杨振东, 顾振新. 2010. 顶空固相微萃取气质联用检测灵芝菌丝体挥发性风味物质. 食品研究与开发, 31 (2):132-135.
|
|
| [5] |
|
|
程茜, 黄璐, 沈旭, 张晓燕, 袁星星, 薛晨晨, 陈新. 2023. 基于电子舌和人工感官评价的菜用大豆食用品质特性分析. 江苏农业科学, 51 (7):161-167.
|
|
| [6] |
|
| [7] |
doi: 10.1016/j.jpba.2014.08.030 pmid: 25244512 |
| [8] |
|
|
杜锋, 雷鸣. 2003. 电子鼻及其在食品工业中的应用. 食品科学, 24 (5):161-163.
|
|
| [9] |
doi: 10.11924/j.issn.1000-6850.casb19010074 |
|
杜佳兴, 刘婧琦, 盖志佳, 蔡丽君, 顿国强, 张敬涛. 2019. 播期对高蛋白大豆籽粒品质及产量的影响. 中国农学通报, 35 (35):31-34.
doi: 10.11924/j.issn.1000-6850.casb19010074 |
|
| [10] |
doi: 10.11882/j.issn.0254-5071.2021.11.009 |
|
冯廷闯, 符漫, 熊英梅, 胡事成, 侯强川, 赵慧君. 2021. 基于电子舌、电子鼻和GC-MS分析襄阳大头菜新、老卤水滋味和挥发性物质. 中国酿造, 40 (11):49-54.
doi: 10.11882/j.issn.0254-5071.2021.11.009 |
|
| [11] |
doi: 10.16420/j.issn.0513-353x.2023-0934 URL |
|
冯志娟, 刘娜, 张古文, 卜远鹏, 王斌, 龚亚明. 2024. 菜用大豆GmDi19-3启动子对盐胁迫和外源ABA、MeJA的响应. 园艺学报, 51 (12):2791-2799.
doi: 10.16420/j.issn.0513-353x.2023-0934 URL |
|
| [12] |
|
|
高源, 程茜, 袁宇婷, 郭鲁平, 黄璐, 张晓燕, 袁星星, 陈新, 朱月林, 薛晨晨. 2023. 氮磷钾施肥对温室菜用大豆生长与糖类含量的影响. 江苏农业科学, 51 (3):133-139.
|
|
| [13] |
|
|
盖钧镒, 王明军, 陈长之. 2002. 中国毛豆生产的历史渊源与发展. 大豆科学, 21 (1):7-13.
|
|
| [14] |
|
|
顾卫红, 郑洪建, 张燕, 张国荣. 2002. 菜用大豆的国际需求及科研生产动态(综述). 上海农业学报, 18 (2):45-48.
|
|
| [15] |
|
|
桂海佳, 任丽蓉, 王晓华, 李泽林, 谷大海, 王雪峰, 肖智超, 王桂瑛, 范江平. 2023. 基于SPME-GC-MS和电子鼻技术对牛肉蛋白肽美拉德反应产物风味成分分析. 中国调味品, 48 (5):160-166.
|
|
| [16] |
|
|
郭鲁平, 黄璐, 程茜, 张晓燕, 袁星星, 陈新, 薛晨晨. 2023. 江苏省春播鲜食大豆主栽品种营养和功能品质研究. 大豆科学, 42 (1):91-98.
|
|
| [17] |
|
| [18] |
|
|
何恩铭, 沈瑞池, 王伟, 常强, 管齐扬. 2013. 紫外分光光度法测定豆渣提取物中大豆异黄酮含量的研究. 大豆科学, 32 (6):818-820,824.
|
|
| [19] |
|
| [20] |
|
|
李金花, 杨青春, 舒文涛, 李琼, 张保亮, 张东辉, 耿臻. 2019. 播期对高油大豆周豆18号产量及品质的影响. 大豆科技,(2):26-29.
|
|
| [21] |
|
| [22] |
|
|
李祥祥. 2022. 野生大豆盐碱耐性综合评价及生理机制研究[硕士论文]. 秦皇岛: 河北科技师范学院.
|
|
| [23] |
|
|
李雪, 王督, 白艺珍, 喻理, 岳晓凤, 张文, 张良晓, 李培武. 2020. 我国油料产品品质的近红外光谱快速检测技术研究进展. 分析测试学报, 39 (10):1189-1195.
|
|
| [24] |
|
|
李彦生. 2013. 菜用大豆食用品质形成及调控研究[博士论文]. 北京: 中国科学院大学.
|
|
| [25] |
|
|
李彦生, 杜明, 刘长锴, 张秋英, 刘晓冰. 2015. 播期对调控菜用大豆籽粒蔗糖形成关键酶活力的影响. 大豆科学, 34 (4):606-610.
|
|
| [26] |
|
|
刘珮君, 王晓敏, 李国花, 郑福顺, 赵宇飞, 胡新华, 付金军, 高艳明, 李建设. 2020. 166份番茄种质资源的综合评价. 云南大学学报(自然科学版), 42 (4):792-803.
|
|
| [27] |
|
|
鹿文成. 2010. 浅析黑河市大豆生产形势. 黑龙江农业科学,(12):155-157.
|
|
| [28] |
doi: 10.1128/AEM.00572-12 pmid: 22635989 |
| [29] |
|
|
马丽萍, 张彩英, 张丽娟. 2001. 菜用大豆的研究进展. 河北农业科学, 5 (3):53-57.
|
|
| [30] |
|
|
马磊, 孙君明, 韩粉霞. 2012. 大豆豆奶风味品质研究进展. 大豆科学, 31 (3):478-482.
|
|
| [31] |
|
|
屈洋, 马雯, 王可珍, 朱发, 张华锋, 杨浩, 梁福琴. 2022. 关中西部播期对大豆农艺特性、产量和品质的影响. 大豆科学, 41 (6):696-702.
|
|
| [32] |
|
|
邵广忠, 任海祥, 宗春美, 岳岩磊. 2010. 大豆蛋白质和脂肪含量积累规律. 黑龙江农业科学,(8):166-168.
|
|
| [33] |
|
|
邵佩兰, 徐明, 郭晓丹, 李宛陶, 周华佩, 郑安然. 2016. 红枣色素中活性成分含量与抗氧化活性的相关性. 食品工业科技, 37 (17):171-174.
|
|
| [34] |
|
|
史金枫, 李敏敏, 黄亚涛, 孙玉凤, 王凤忠, 张景俭. 2023. 不同产地与品种大豆籽粒的感官与挥发性风味物质差异鉴别. 中国调味品, 48 (2):169-177,182.
|
|
| [35] |
doi: 10.11869/j.issn.100-8551.2021.08.1900 |
|
田艺心, 高凤菊, 曹鹏鹏, 高祺, 夏文荣. 2021. 播期对高蛋白大豆新品种(系)农艺性状、品质及产量的影响. 核农学报, 35 (8):1900-1907.
doi: 10.11869/j.issn.100-8551.2021.08.1900 |
|
| [36] |
|
| [37] |
|
|
吴思雨, 谢萱, 刘雨雯, 孙树坤, 陈昊. 2024. 基于电子鼻、HS-SPME-GC-MS和HS-GC-IMS评价不同制油工艺对大豆油品质及风味的影响. 食品科学, 45 (4):183-196.
|
|
| [38] |
|
|
徐文, 余小贞, 张雪儿, 杜沁岭, 何贵萍, 贾冬英. 2022. 基于电子鼻和GC-MS分析3种市售大豆组织蛋白中挥发性豆腥味物质. 中国调味品, 47 (8):145-149.
|
|
| [39] |
|
|
许竹溦, 雷俊, 邵晓伟, 汪寿根, 陈润兴. 2021. 播期对鲜食春大豆衢春豆1号农艺性状和可溶性糖含量的影响. 大豆科学, 40 (4):490-496.
|
|
| [40] |
|
|
于凤瑶, 刘锦江, 辛秀君, 张代军, 周顺启. 2008. 播期对高蛋白大豆产量及品质的影响. 大豆科学, 27 (4):620-623.
|
|
| [41] |
doi: 10.3724/SP.J.1006.2015.01692 |
|
张秋英, 李彦生, 刘长锴, 田博文, 涂冰洁, 毛健伟. 2015. 菜用大豆食用品质关键组分及其积累动态研究. 作物学报, 41 (11):1692-1700.
doi: 10.3724/SP.J.1006.2015.01692 |
|
| [42] |
|
|
张林, 杨洋, 罗友明, 周俊辉, 殷勇, 刘静云, 徐烨枫, 佘跃辉. 2015. 播期对春大豆种子品质形成及产量的影响. 作物杂志,(2):118-123.
|
|
| [43] |
doi: 10.11924/j.issn.1000-6850.casb16050021 |
|
张志国, 高峰, 高永刚, 杨晓强, 刘丹, 王晾晾, 孙守军, 朱建华. 2017. 播期对大豆生长状况及产量的影响. 中国农学通报, 33 (7): 22-26.
doi: 10.11924/j.issn.1000-6850.casb16050021 |
|
| [44] |
|
|
宗冬琳, 周也富, 周静, 唐千鸿, 胡小康, 王弢. 2023. 夏季不同播期对鲜食玉米产量性状的影响及其评价. 农学学报, 13 (12):8-12.
doi: 10.11923/j.issn.2095-4050.cjas2023-0004 |
| [1] | 焦芳, 孙国峰, 李丽芳, 张金政. 萱草杂交后代及其亲本香气成分分析[J]. 园艺学报, 2023, 50(7): 1495-1504. |
| [2] | 强文彦, 孟庆然, 张志国, 高文杰. 萱草不同品种花瓣挥发性物质的HS-SPME-GC-MS分析[J]. 园艺学报, 2023, 50(1): 116-130. |
| [3] | 王晋, 王新宇, 沈渊博, 张清花, 娄茜棋, 张世杰, 赵攀, 梁燕. 番茄果实叶绿体发育调控及其应用的研究进展[J]. 园艺学报, 2022, 49(12): 2669-2682. |
| [4] | 朱琳琳, 周婉飞, 宁璇, 朱君, 席婉, 曾旭梅, 熊康舜, 王彩云, 罗靖, 郑日如. 不同桂花品种游离态香气物质分析[J]. 园艺学报, 2022, 49(11): 2395-2406. |
| [5] | 王忠红1,朗 杰1,申国艳1,王陆州1,陈双臣1,2,关志华1,*. 西藏3个野生韭居群主要营养品质评价[J]. 园艺学报, 2017, 44(6): 1189-1197. |
| [6] | 刘同金, 程智慧, 赵慧玲, 常 立, 余 婷, Imran Ahmad . 适宜与大棚基质栽培番茄套作的大蒜品种及其套播期研究[J]. 园艺学报, 2013, 40(3): 555-561. |
| [7] | 刘中良;刘世琦;张自坤;杨 茹;陈 坤. 硫对设施水培大蒜光合特性和鳞茎品质的影响[J]. 园艺学报, 2010, 37(4): 581-588. |
| [8] | 王锐竹;贺超兴;王怀松;张志斌. 丛枝菌根真菌对不同甜瓜品种产量及营养品质的影响[J]. 园艺学报, 2010, 37(11): 1767-1774. |
| [9] | 卢凤刚;陈贵林;吕桂云;任良玉. 不同供氮水平对韭菜产量和品质的影响[J]. 园艺学报, 2005, 32(1): 131-133. |
| [10] | 于占东;;;何启伟;王翠花;牟晋华;刘春香;刘继保. 大白菜主要营养品质性状的遗传效应研究[J]. 园艺学报, 2005, 32(02): 244-248. |
| [11] | 谢建治;刘树庆;李博文;张书廷;赵新华;薛宝民. 锌处理对白菜营养品质的影响[J]. 园艺学报, 2004, 31(5): 668-669. |
| 阅读次数 | ||||||
|
全文 |
|
|||||
|
摘要 |
|
|||||
版权所有 © 2012 《园艺学报》编辑部 京ICP备10030308号-2 国际联网备案号 11010802023439
编辑部地址: 北京市海淀区中关村南大街12号中国农业科学院蔬菜花卉研究所 邮编: 100081
电话: 010-82109523 E-Mail: yuanyixuebao@126.com
技术支持:北京玛格泰克科技发展有限公司