Acta Horticulturae Sinica ›› 2026, Vol. 53 ›› Issue (3): 653-670.doi: 10.16420/j.issn.0513-353x.2025-0133
• Genetic & Breeding·Germplasm Resources·Molecular Biology • Previous Articles Next Articles
ZHU Chunmei, CHEN Yao, LIU Zhiyu, ZHAO Baolong, SUN Junli*(
)
Received:2025-04-10
Revised:2025-11-19
Online:2026-03-25
Published:2026-03-20
Contact:
SUN Junli
ZHU Chunmei, CHEN Yao, LIU Zhiyu, ZHAO Baolong, SUN Junli. Effects of Saline-Alkali Treatment on Leaf Morphology,Physiology and Expression of Genes Related to Stress Signal in 16 Grapevine Cultivars[J]. Acta Horticulturae Sinica, 2026, 53(3): 653-670.
Add to citation manager EndNote|Ris|BibTeX
URL: https://www.ahs.ac.cn/EN/10.16420/j.issn.0513-353x.2025-0133
| 种 Species | 品种 Cultivar | 亲本 Parent | 来源 Origin |
|---|---|---|---|
| 欧亚种 Vitis vinifera L. | 和田红 Hotan Red | 未知 Unknown | 新疆地方品种 Xinjiang native cultivar |
| 马奶子 Manaizi | 未知 Unknown | 新疆地方品种 Xinjiang native cultivar | |
| 木纳格 Munage | 未知 Unknown | 新疆地方品种 Xinjiang native cultivar | |
| 喀什哈尔 Kashihare | 未知 Unknown | 新疆地方品种 Xinjiang native cultivar | |
| 甜蜜蓝宝石 Sweet Sapphire | 未知 Unknown | 美国 America | |
| 新郁 Xinyu | E42-6(红地球实生)× 里扎马特E42-6(Red Earth natural cultivars)× Rizamat | 新疆葡萄瓜果开发研究中心 Research Center of Xinjiang Grape,Melon and Fruit | |
| 里扎马特 Rizamat | 可口甘 × 帕尔肯特 Katta-Kurgan × Parkent | 前苏联 The former Soviet Union | |
| . | 克瑞森无核 Crimson Seedless | 皇帝 × C33-199 Emperor × C33-199 | 美国加州戴维斯农学院果树遗传和育种研究室 The Fruit Genetics and Breeding Research Laboratory of Davis Agricultural College in California,USA |
| 阳光玫瑰 Shine Muscat | 安芸津21号 × 白南 Akitsu 21 × Hakunan | 日本农业食品产业技术综合研究机构 Japan Agricultural Food Industry Technology Comprehensive Research Institute | |
| 弗雷无核 Flame Seedless | 未知 Unknown | 美国America | |
| 香妃 Xiangfei | (玫瑰香 × 莎芭珍珠)× 绯红 (Muscat Hamburg × Pearl of Csaba)× Cardinal | 北京市农林科学院林业果树研究所 Institute of Forestry and Pomology,Beiing Academy of Agriculture and Forestry Sciences | |
| 紫香无核 Zixiang Seedless | 无核紫 × 玫瑰香Black Monukka × Muscat Hamburg | 石河子葡萄研究所 Shihezi Grape Research Institute | |
| 维多利亚 Victoria | 绯红 × 保尔加尔 Cardinal × Bolgar | 罗马尼亚德哥沙尼试验站 Romanian Degeresian Experimental Station | |
| 欧美种 Vitis × labruscana L.H. Bailey | 巨峰 Kyoho | 石原早生 × 森田尼 Ishihara Wase × Morita Nin | 日本大井上康氏 Yasushi Oinue |
| 甬优1号 Yongyou 1 | 藤稔葡萄芽变 Fujiminori bud mutation | 王岳鸣 Wang Yueming | |
| 欧美杂种 Vitis interspecific hybrids | 蜜光 Miguang | 巨峰 × 早黑宝 Kyoho × Zaoheibao | 河北省农林科学院昌黎果树研究所 Changli Institute of Polomogy,Hebei Academy of Agricultural and Forestry Sciences |
Table 1 Basic information of the tested varieties
| 种 Species | 品种 Cultivar | 亲本 Parent | 来源 Origin |
|---|---|---|---|
| 欧亚种 Vitis vinifera L. | 和田红 Hotan Red | 未知 Unknown | 新疆地方品种 Xinjiang native cultivar |
| 马奶子 Manaizi | 未知 Unknown | 新疆地方品种 Xinjiang native cultivar | |
| 木纳格 Munage | 未知 Unknown | 新疆地方品种 Xinjiang native cultivar | |
| 喀什哈尔 Kashihare | 未知 Unknown | 新疆地方品种 Xinjiang native cultivar | |
| 甜蜜蓝宝石 Sweet Sapphire | 未知 Unknown | 美国 America | |
| 新郁 Xinyu | E42-6(红地球实生)× 里扎马特E42-6(Red Earth natural cultivars)× Rizamat | 新疆葡萄瓜果开发研究中心 Research Center of Xinjiang Grape,Melon and Fruit | |
| 里扎马特 Rizamat | 可口甘 × 帕尔肯特 Katta-Kurgan × Parkent | 前苏联 The former Soviet Union | |
| . | 克瑞森无核 Crimson Seedless | 皇帝 × C33-199 Emperor × C33-199 | 美国加州戴维斯农学院果树遗传和育种研究室 The Fruit Genetics and Breeding Research Laboratory of Davis Agricultural College in California,USA |
| 阳光玫瑰 Shine Muscat | 安芸津21号 × 白南 Akitsu 21 × Hakunan | 日本农业食品产业技术综合研究机构 Japan Agricultural Food Industry Technology Comprehensive Research Institute | |
| 弗雷无核 Flame Seedless | 未知 Unknown | 美国America | |
| 香妃 Xiangfei | (玫瑰香 × 莎芭珍珠)× 绯红 (Muscat Hamburg × Pearl of Csaba)× Cardinal | 北京市农林科学院林业果树研究所 Institute of Forestry and Pomology,Beiing Academy of Agriculture and Forestry Sciences | |
| 紫香无核 Zixiang Seedless | 无核紫 × 玫瑰香Black Monukka × Muscat Hamburg | 石河子葡萄研究所 Shihezi Grape Research Institute | |
| 维多利亚 Victoria | 绯红 × 保尔加尔 Cardinal × Bolgar | 罗马尼亚德哥沙尼试验站 Romanian Degeresian Experimental Station | |
| 欧美种 Vitis × labruscana L.H. Bailey | 巨峰 Kyoho | 石原早生 × 森田尼 Ishihara Wase × Morita Nin | 日本大井上康氏 Yasushi Oinue |
| 甬优1号 Yongyou 1 | 藤稔葡萄芽变 Fujiminori bud mutation | 王岳鸣 Wang Yueming | |
| 欧美杂种 Vitis interspecific hybrids | 蜜光 Miguang | 巨峰 × 早黑宝 Kyoho × Zaoheibao | 河北省农林科学院昌黎果树研究所 Changli Institute of Polomogy,Hebei Academy of Agricultural and Forestry Sciences |
| 基因Gene | 引物序列(5′-3′)Primes sequences |
|---|---|
| VvSOD1 | F:ATGGCTCTTCGAACGCTAAT;R:TCAAGGGCACTCTTTCTCAT |
| VvCAT2 | F:ATGGATCCTTACAAGTATCGTC;R:TCAATACTTAGGCTTGACAT |
| VvABI5 | F:ATGTTTCCTGTGTTCCCCAA;R:CTACATATTGGGAACTGG |
| VvSOD3 | F:ATGGAGAAACCCTGTCAAATC;R:TTAGGCTATGGGGATTTTTGG |
| Actin | F:CTAATGGGGAGTGGGGAAGTA;R:GTCTGGATGGACAATGTTGAT |
Table 2 Sequences of gene for qRT-PCR
| 基因Gene | 引物序列(5′-3′)Primes sequences |
|---|---|
| VvSOD1 | F:ATGGCTCTTCGAACGCTAAT;R:TCAAGGGCACTCTTTCTCAT |
| VvCAT2 | F:ATGGATCCTTACAAGTATCGTC;R:TCAATACTTAGGCTTGACAT |
| VvABI5 | F:ATGTTTCCTGTGTTCCCCAA;R:CTACATATTGGGAACTGG |
| VvSOD3 | F:ATGGAGAAACCCTGTCAAATC;R:TTAGGCTATGGGGATTTTTGG |
| Actin | F:CTAATGGGGAGTGGGGAAGTA;R:GTCTGGATGGACAATGTTGAT |
Fig. 1 Effect of saline-alkali stress on aboveground leaf morphology(A),salinity injury index(B),plant height(C),death rate(D)and relative water content(E)of 16 grapevine cultivars Lowercase letters indicate significant differences between different cultivars in same treatment(P < 0.01). The same below
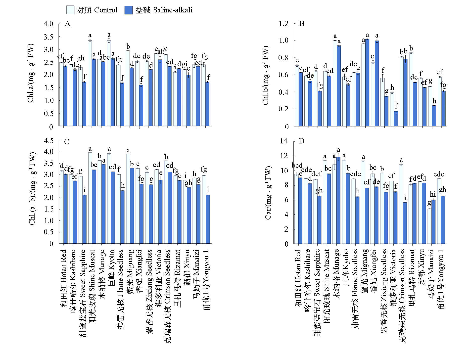
Fig. 2 Effects of salt-alkali stress on the contents of photosynthetic pigments in leaves of 16 grapevine cultivars A:Chlorophyll a;B:Chlorophyll b;C:Total chlorophyll;D:Carotenoids
Fig. 3 Effects of saline-alkali stress on leaf chlorophyll fluorescence and photosynthetic characteristics in 16 grapevine cultivars A:Chlorophyll fluorescence image;B:Net photosynthetic rate;C:Stomatal conductance;D:Intercellular CO2 concentration;E:Transpiration rate;F:Water-use efficiency;G:Fv/Fm
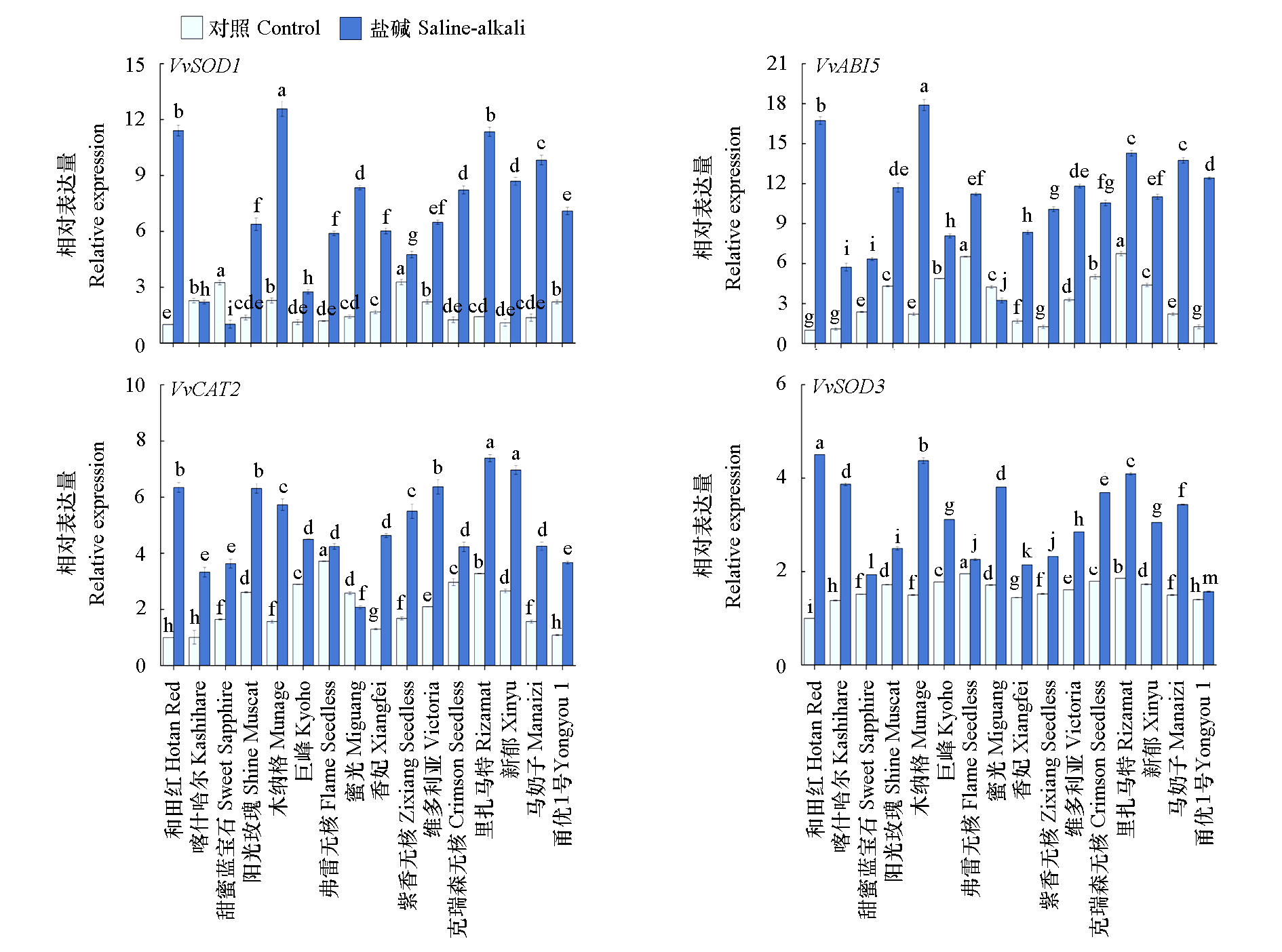
Fig. 4 Effects of saline-alkali stress on physiological and biochemical parameters in 16 grapevine cultivars A:Hydrogen peroxide;B:Superoxide anion;C:Malondialdehyde;D:Superoxide dismutase;E:Peroxidase;F:Catalase;G:Soluble sugar;H:Soluble protein;I:Proline
| 指标 Indicator | PC1 | PC2 | PC3 | PC4 | PC5 | PC6 |
|---|---|---|---|---|---|---|
| 过氧化氢H2O2 | -0.971 | 0.74 | -0.19 | 0.145 | 0.083 | -0.057 |
| 可溶性蛋白Soluble proteins | -0.971 | 0.74 | -0.19 | 0.146 | 0.083 | -0.058 |
| 净光合速率Pn | 0.966 | -0.042 | -0.045 | -0.072 | -0.039 | 0.093 |
| 脯氨酸Proline | 0.956 | -0.059 | -0.058 | -0.115 | 0.125 | -0.169 |
| Chl.(a+b) | 0.485 | 0.750 | -0.033 | -0.139 | -0.158 | 0.380 |
| 叶绿素b Chl.b | 0.105 | 0.603 | -0.677 | 0.337 | -0.006 | -0.065 |
| VvCAT2 | 0.544 | -0.169 | 0.547 | 0.470 | -0.263 | 0.085 |
| VvABI5 | 0.581 | -0.018 | 0.516 | 0.459 | 0.332 | 0.012 |
| 叶绿素a Chl.a | 0.464 | 0.390 | 0.452 | -0.393 | -0.169 | 0.466 |
| 相对含水量RWC | 0.499 | -0.728 | -0.075 | 0.068 | -0.276 | 0.171 |
| VvSOD1 | 0.721 | 0.167 | 0.012 | 0.363 | 0.433 | 0.112 |
| 特征值Eigenvalue | 15.817 | 3.15 | 1.931 | 1.603 | 1.413 | 1.034 |
| 贡献率/% Contribution rate | 58.580 | 11.668 | 7.153 | 5.938 | 5.233 | 3.830 |
| 累计贡献率/% Cumulative contribution rate | 58.580 | 70.248 | 77.402 | 83.340 | 88.573 | 92.403 |
Table 3 Factor loading and contribution rate
| 指标 Indicator | PC1 | PC2 | PC3 | PC4 | PC5 | PC6 |
|---|---|---|---|---|---|---|
| 过氧化氢H2O2 | -0.971 | 0.74 | -0.19 | 0.145 | 0.083 | -0.057 |
| 可溶性蛋白Soluble proteins | -0.971 | 0.74 | -0.19 | 0.146 | 0.083 | -0.058 |
| 净光合速率Pn | 0.966 | -0.042 | -0.045 | -0.072 | -0.039 | 0.093 |
| 脯氨酸Proline | 0.956 | -0.059 | -0.058 | -0.115 | 0.125 | -0.169 |
| Chl.(a+b) | 0.485 | 0.750 | -0.033 | -0.139 | -0.158 | 0.380 |
| 叶绿素b Chl.b | 0.105 | 0.603 | -0.677 | 0.337 | -0.006 | -0.065 |
| VvCAT2 | 0.544 | -0.169 | 0.547 | 0.470 | -0.263 | 0.085 |
| VvABI5 | 0.581 | -0.018 | 0.516 | 0.459 | 0.332 | 0.012 |
| 叶绿素a Chl.a | 0.464 | 0.390 | 0.452 | -0.393 | -0.169 | 0.466 |
| 相对含水量RWC | 0.499 | -0.728 | -0.075 | 0.068 | -0.276 | 0.171 |
| VvSOD1 | 0.721 | 0.167 | 0.012 | 0.363 | 0.433 | 0.112 |
| 特征值Eigenvalue | 15.817 | 3.15 | 1.931 | 1.603 | 1.413 | 1.034 |
| 贡献率/% Contribution rate | 58.580 | 11.668 | 7.153 | 5.938 | 5.233 | 3.830 |
| 累计贡献率/% Cumulative contribution rate | 58.580 | 70.248 | 77.402 | 83.340 | 88.573 | 92.403 |
| 品种 Cultivar | F1 | F2 | F3 | F4 | F5 | F6 | 综合得分 Composite Score | 排名 Rank |
|---|---|---|---|---|---|---|---|---|
| 和田红Hotan Red | 7.09 | -1.27 | -0.38 | 1.22 | 0.51 | 0.49 | 4.14 | 1 |
| 喀什哈尔Kashihare | 1.46 | -0.96 | -1.32 | -2.87 | -1.10 | -1.72 | 0.72 | 7 |
| 甜蜜蓝宝石Sweet Sapphire | -6.09 | -0.35 | -0.43 | 0 | -0.08 | -1.14 | -3.60 | 14 |
| 阳光玫瑰Shine Muscat | -3.41 | 2.40 | 1.25 | 0.91 | -1.56 | 0.71 | -1.90 | 15 |
| 木纳格Munage | 5.9 | 3.72 | 1.33 | 0.61 | 0.80 | -1.56 | 3.61 | 2 |
| 巨峰Kyoho | -2.57 | 1.67 | 0.78 | -0.49 | -1.00 | 1.45 | -1.44 | 12 |
| 弗雷无核Flame Seedless | -2.48 | -1.76 | -0.69 | 1.17 | -0.92 | -0.16 | -1.52 | 13 |
| 蜜光Miguang | -0.98 | 2.91 | -2.87 | -1.23 | 0.34 | 0.49 | -0.55 | 10 |
| 香妃Xiangfei | -2.16 | 0.56 | -1.75 | 1.78 | -0.57 | -0.61 | -1.27 | 11 |
| 紫香无核Zixiang Seedless | -0.42 | -0.88 | 1.21 | -0.63 | -0.52 | -0.13 | -0.27 | 9 |
| 维多利亚Victoria | 1.29 | -0.65 | 2.53 | -1.61 | -0.57 | 0.51 | 0.76 | 6 |
| 克瑞森无核Crimson Seedless | 0.38 | -0.07 | -1.34 | -0.34 | 0.95 | 2.05 | 0.22 | 8 |
| 里扎马特Rizamat | 5.07 | -2.16 | 0.11 | 1.13 | -1.04 | 0.12 | 2.91 | 3 |
| 新郁Xinyu | 1.89 | -1.47 | 0.15 | 0.93 | 0.04 | -0.45 | 1.07 | 4 |
| 马奶子Manaizi | 1.85 | -2.34 | 0.28 | -1.16 | 1.84 | 0.50 | 1.03 | 5 |
| 甬优1号Yongyou 1 | -6.84 | 0.65 | 1.14 | 0.59 | 2.87 | -0.55 | -3.92 | 16 |
Table 4 Comprehensive scores ranking of different grapevine cultivars after saline-alkali stress
| 品种 Cultivar | F1 | F2 | F3 | F4 | F5 | F6 | 综合得分 Composite Score | 排名 Rank |
|---|---|---|---|---|---|---|---|---|
| 和田红Hotan Red | 7.09 | -1.27 | -0.38 | 1.22 | 0.51 | 0.49 | 4.14 | 1 |
| 喀什哈尔Kashihare | 1.46 | -0.96 | -1.32 | -2.87 | -1.10 | -1.72 | 0.72 | 7 |
| 甜蜜蓝宝石Sweet Sapphire | -6.09 | -0.35 | -0.43 | 0 | -0.08 | -1.14 | -3.60 | 14 |
| 阳光玫瑰Shine Muscat | -3.41 | 2.40 | 1.25 | 0.91 | -1.56 | 0.71 | -1.90 | 15 |
| 木纳格Munage | 5.9 | 3.72 | 1.33 | 0.61 | 0.80 | -1.56 | 3.61 | 2 |
| 巨峰Kyoho | -2.57 | 1.67 | 0.78 | -0.49 | -1.00 | 1.45 | -1.44 | 12 |
| 弗雷无核Flame Seedless | -2.48 | -1.76 | -0.69 | 1.17 | -0.92 | -0.16 | -1.52 | 13 |
| 蜜光Miguang | -0.98 | 2.91 | -2.87 | -1.23 | 0.34 | 0.49 | -0.55 | 10 |
| 香妃Xiangfei | -2.16 | 0.56 | -1.75 | 1.78 | -0.57 | -0.61 | -1.27 | 11 |
| 紫香无核Zixiang Seedless | -0.42 | -0.88 | 1.21 | -0.63 | -0.52 | -0.13 | -0.27 | 9 |
| 维多利亚Victoria | 1.29 | -0.65 | 2.53 | -1.61 | -0.57 | 0.51 | 0.76 | 6 |
| 克瑞森无核Crimson Seedless | 0.38 | -0.07 | -1.34 | -0.34 | 0.95 | 2.05 | 0.22 | 8 |
| 里扎马特Rizamat | 5.07 | -2.16 | 0.11 | 1.13 | -1.04 | 0.12 | 2.91 | 3 |
| 新郁Xinyu | 1.89 | -1.47 | 0.15 | 0.93 | 0.04 | -0.45 | 1.07 | 4 |
| 马奶子Manaizi | 1.85 | -2.34 | 0.28 | -1.16 | 1.84 | 0.50 | 1.03 | 5 |
| 甬优1号Yongyou 1 | -6.84 | 0.65 | 1.14 | 0.59 | 2.87 | -0.55 | -3.92 | 16 |
| [1] |
pmid: 11997379 |
| [2] |
|
| [3] |
|
|
白世践, 户金鸽, 李超, 蔡军社, 王勇, 赵荣华, 陈光. 2022a. 葡萄砧木苗期对混合盐碱的生理响应及耐盐碱性评价. 新疆农业科学, 59 (7):1666-1679.
|
|
| [4] |
|
|
白世践, 户金鸽, 郑明, 赵荣华, 蔡军社. 2022b. 5个葡萄砧木品种对混合盐碱胁迫的生理响应分析. 经济林研究, 40 (2):112-124.
|
|
| [5] |
doi: 10.1007/s11103-017-0603-y URL |
| [6] |
|
| [7] |
|
|
陈丽靓. 2022. 不同葡萄砧木对NaCl胁迫的生理响应及抗盐砧木的筛选[硕士论文]. 石河子: 石河子大学.
|
|
| [8] |
doi: 10.1016/j.hpj.2022.11.007 URL |
| [9] |
|
|
段九菊, 郭世, 康云艳, 周国贤, 刘香娥. 2009. 外源亚精胺对盐胁迫下黄瓜(Cucumis sativus L.) 叶绿体活性氧清除系统和结合态多胺含量的影响. 生态学报,29:653-661.
|
|
| [10] |
|
| [11] |
|
| [12] |
|
|
付晴晴, 孙永江, 翟衡, 杜远鹏. 2017. 盐胁迫对葡萄种间杂交砧木F1株系光合特性的影响. 植物生理学报, 53 (9):1640-1648.
|
|
| [13] |
|
| [14] |
|
|
郭景南, 刘崇怀, 冯义彬, 樊秀彩, 李民. 2010. 《葡萄种质资源描述规范和数据标准》概述及使用讨论. 果树学报,27:784-789,857.
|
|
| [15] |
|
| [16] |
|
| [17] |
|
| [18] |
|
|
李合生. 2000. 植物生理生化实验原理与技术. 北京: 高等教育出版社.
|
|
| [19] |
|
|
李康, 卢旭, 张聪聪, 闫浩凯, 魏云春, 公美双, 李胜, 马绍英. 2023. 盐胁迫下不同酿酒葡萄幼苗的生理响应及耐盐性评价. 甘肃农业大学学报, 58 (5):130-140.
|
|
| [20] |
|
|
李玲, 刘洪光,艾买提阿尔娜古丽,林恩. 2021. 竖井对新疆盐碱地新开垦枣田土壤盐分的影响. 石河子大学学报(自然科学版), 39 (5):571-578.
|
|
| [21] |
|
| [22] |
|
| [23] |
|
| [24] |
|
| [25] |
|
| [26] |
doi: 10.11924/j.issn.1000-6850.casb2022-0002 |
|
卢倩倩, 冯琳骄, 王爽,古力扎提 · 包尔汗,褚韧,周龙. 2023. 复合盐碱胁迫对鲜食葡萄生理生化指标的影响. 中国农学通报, 39 (1):62-70.
doi: 10.11924/j.issn.1000-6850.casb2022-0002 |
|
| [27] |
|
| [28] |
|
| [29] |
|
| [30] |
|
|
秦红艳. 2010. 山葡萄种质资源耐盐性评价研究[硕士论文]. 北京: 中国农业科学院.
|
|
| [31] |
|
| [32] |
|
| [33] |
|
|
孙东雷, 卞能飞, 陈志德, 邢兴华, 徐泽俊, 齐玉军, 王晓军, 王幸. 2017. 花生萌发期耐盐性综合评价及耐盐种质筛选. 植物遗传资源学报, 18 (6):1079-1087.
doi: 10.13430/j.cnki.jpgr.2017.06.010 |
|
| [34] |
|
| [35] |
|
| [36] |
|
|
谭伟, 李晓梅, 董志刚, 唐晓萍. 2017. 21个酿酒葡萄品种(系)耐盐性比较分析. 山西农业科学, 45 (3):354-357,490.
|
|
| [37] |
|
| [38] |
|
|
王连君, 王铭, 冯玉才. 2008. 盐碱胁迫对山葡萄光合特性的影响. 北方园艺,(1):41-43.
|
|
| [39] |
|
|
王宁, 万畅, 高山, 闫程铭, 李忠和, 王俊乔, 任伟, 王志锋. 2024. 80份紫花苜蓿引进品种萌发期耐盐性评价. 干旱地区农业研究, 42 (2):17-25,52.
|
|
| [40] |
doi: 10.1016/j.plaphy.2009.02.009 URL |
| [41] |
doi: 10.1016/j.hpj.2022.11.005 URL |
| [42] |
|
|
肖雯丽, 王含瑞, 王梦亮, 王俊红. 2024. 盐碱胁迫下植物响应机制的研究进展. 中国农学通报, 40 (33):78-85.
doi: 10.11924/j.issn.1000-6850.casb2023-0775 |
|
| [43] |
doi: 10.16420/j.issn.0513-353x.2024-0021 |
|
邢志淦, 雷向朝, 王浩臣, 冯铭鑫, 李靖雯, 刘羽佳, 房玉林, 孟江飞. 2025. 不同砧木‘阳光玫瑰’葡萄幼树对盐与低温复合胁迫的生理响应. 园艺学报, 52 (3):693-704.
doi: 10.16420/j.issn.0513-353x.2024-0021 |
|
| [44] |
|
| [45] |
|
|
曾红. 2016. 短蕊景天等4种植物的水分胁迫及园林应用研究[硕士论文]. 长沙: 中南林业科技大学.
|
|
| [46] |
|
| [47] |
|
| [48] |
|
|
赵宝龙, 刘鹏, 王文静, 孙军利, 马海新. 2015. 5-氨基乙酰丙酸(ALA)对盐胁迫下葡萄叶片中AsA-GSH循环的影响. 植物生理学报, 51 (3):385-390.
|
|
| [49] |
|
|
邹琦. 2000. 植物生理学实验指导. 北京: 中国农业出版社.
|
| [1] | YANG Yong, LIU Chunyang, LI Jiajue, WANG Liangsheng. Exploration of Paeonia Naming Terminological Standardization and Cultivar Group Division [J]. Acta Horticulturae Sinica, 2026, 53(3): 881-891. |
| [2] | HUANG Shuping, TAN Jie, CHEN Xia, ZHANG Hongyuan, WANG Benqi, WANG Junliang, CHEN Rong, ZHANG Min. A New Eggplant Cultivar‘Eqie 9’ [J]. Acta Horticulturae Sinica, 2026, 53(3): 921-922. |
| [3] | DU Yinan, JI Zhirui, CONG Jialin, ZHOU Zongshan. A New Early-Ripening Apple Cultivar‘Huayu 1’ [J]. Acta Horticulturae Sinica, 2025, 52(S2): 1-2. |
| [4] | DU Yinan, CONG Jialin, JI Zhirui, ZHOU Zongshan. A New Mid-Ripening Apple Cultivar‘Huayang’ [J]. Acta Horticulturae Sinica, 2025, 52(S2): 3-4. |
| [5] | ZHU Yu, LIU Xiaofeng, ZHOU Jia, LI Jing, WANG Qiang. A New Apple Cultivar‘Huayou Beihong’ [J]. Acta Horticulturae Sinica, 2025, 52(S2): 5-6. |
| [6] | HAN Xiaolei, MA Songya, KANG Liqun, ZHANG Caixia. A New Apple Cultivar‘Zhongping Zaohong 4’ [J]. Acta Horticulturae Sinica, 2025, 52(S2): 7-8. |
| [7] | MA Songya, ZHANG Caixia, HAN Xiaolei, TIAN Yufeng, KANG Liqun. A High-Quality Small Apple Cultivar‘Pingyou 3’ [J]. Acta Horticulturae Sinica, 2025, 52(S2): 9-10. |
| [8] | MA Songya, ZHANG Caixia, HAN Xiaolei, YANG An, KANG Liqun. A New Small Apple Cultivar‘Pingyou 4’ [J]. Acta Horticulturae Sinica, 2025, 52(S2): 11-12. |
| [9] | LU Mingyan, WU Chunhao, ZHAO Ying, YAN Xingkai, LI Honglian, DING Lihua, ZHANG Maojun, WANG Qiang. A New Cold-Hardiness,Disease-Resistant and Late-Maturing Pear Cultivar‘Jiyu’ [J]. Acta Horticulturae Sinica, 2025, 52(S2): 13-14. |
| [10] | ZHANG Jingguo, CHEN Qiliang, YANG Xiaoping, FAN Jing, DU Wei, LIU Wei, HU Hongju. A New Early-Maturing Russet-Skin Sand Pear Cultivar‘Jinzaojing’ [J]. Acta Horticulturae Sinica, 2025, 52(S2): 15-16. |
| [11] | ZHANG Yanjie, OU Chunqing, WANG Fei, MA Li, QI Liyong, JIANG Shuling. A New High-Quality and Late-Ripening Pear Cultivar‘Xingli 20’ [J]. Acta Horticulturae Sinica, 2025, 52(S2): 17-18. |
| [12] | YANG Xiaoping, CHEN Qiliang, ZHANG Jingguo, FAN Jing, DU We, LIU Wei, HU Hongju. A New Late-Ripening,Disease Resistant and High-Quality Sand Pear Cultivar‘Jinbi’ [J]. Acta Horticulturae Sinica, 2025, 52(S2): 19-20. |
| [13] | ZHAO Jianbo, JIANG Quan, GUO Jiying, ZHANG Yu, LIU Xin, LI Dandan, LI Xinyue, SUN Wei, SONG Yongge, REN Fei. A New Late-Ripening Flat Peach Cultivar‘Ruipan 37’with White Flesh [J]. Acta Horticulturae Sinica, 2025, 52(S2): 23-24. |
| [14] | CHEN Jianhua, ZHANG Yuncheng, LAI Shuli, WANG Shipeng, LIU Quangang, DONG Shengjun. A New Prunus sibirica Cultivar‘Shanxing 4’ [J]. Acta Horticulturae Sinica, 2025, 52(S2): 25-26. |
| [15] | LIAO Ling, DENG Lijun, XIONG Bo, SUN Guochao, YAO Yuan, YUAN Binshu, WEN Rongzhong, Deng Mingxue, WANG Zhihui. A New Plum Cultivar‘Hongyunli’ [J]. Acta Horticulturae Sinica, 2025, 52(S2): 27-28. |
| Viewed | ||||||
|
Full text |
|
|||||
|
Abstract |
|
|||||
Copyright © 2012 Acta Horticulturae Sinica 京ICP备10030308号-2 国际联网备案号 11010802023439
Tel: 010-82109523 E-Mail: yuanyixuebao@126.com
Support by: Beijing Magtech Co.Ltd