Acta Horticulturae Sinica ›› 2026, Vol. 53 ›› Issue (1): 185-201.doi: 10.16420/j.issn.0513-353x.2024-1046
• Cultivation·Physiology & Biochemistry • Previous Articles Next Articles
WEI Tianjun1,*(
), LI Hui1, WANG Guiyun2, CHEN Weijun2, LI Guangming2
Received:2025-05-19
Revised:2025-10-24
Online:2026-01-25
Published:2026-01-26
Contact:
WEI Tianjun
WEI Tianjun, LI Hui, WANG Guiyun, CHEN Weijun, LI Guangming. Effects of Growing Grasses on Soil Microbial Diversity,Soil Metabolites and Fruits Quality in‘Lingwuchangzao’Jujube Orchard[J]. Acta Horticulturae Sinica, 2026, 53(1): 185-201.
Add to citation manager EndNote|Ris|BibTeX
URL: https://www.ahs.ac.cn/EN/10.16420/j.issn.0513-353x.2024-1046
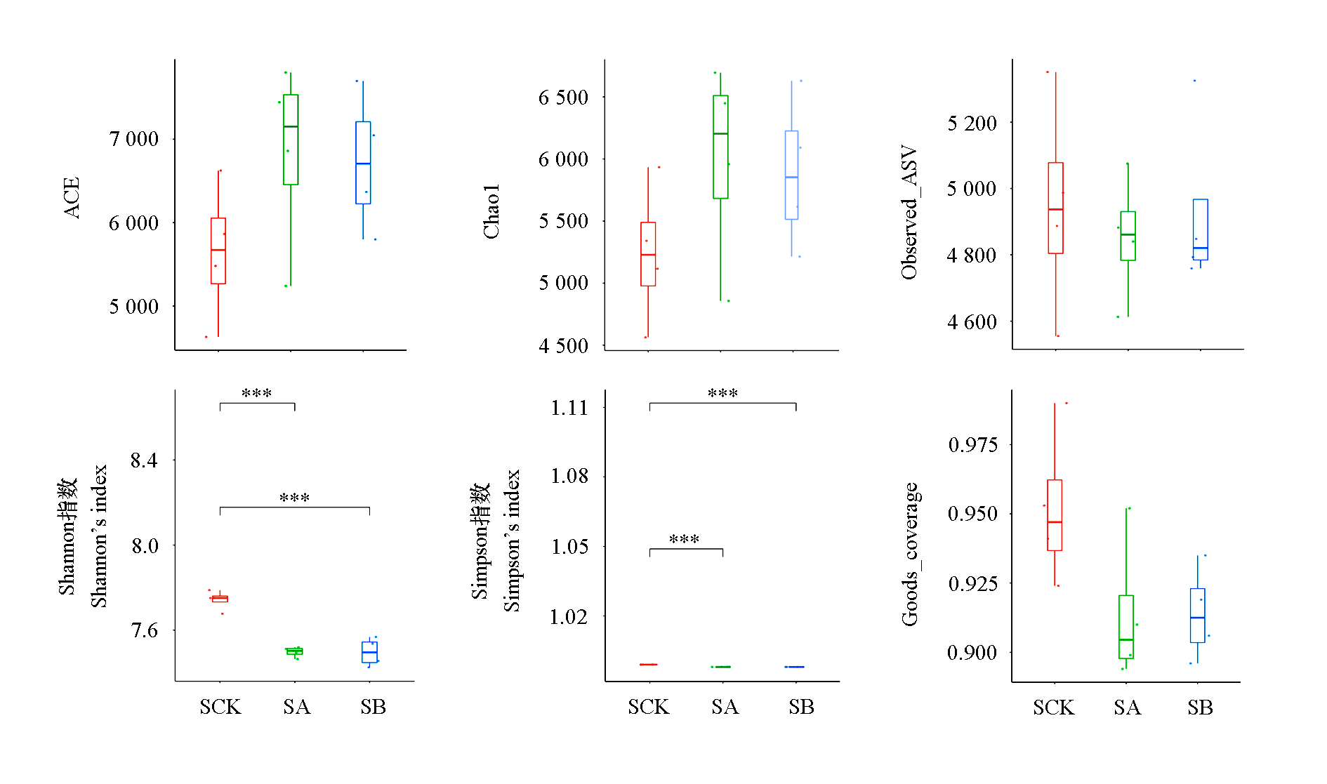
Fig. 1 α diversity of bacterial communities under different grasses cultivation patterns SA:Artificially planting a mixture of Vicia villosa,Trifolium repens and Taraxacum mongolicum;SB:Artificially planting Lolium perenne being the main method,plus planting a small amount of Trifolium repens,Vicia villosa and Taraxacum mongolicum;SCK:Control,semi-cultivation and semi-natural grass mode. The method of significant difference analysis is the Tukey test,*** P < 0.001. The same below
| 生草模式 Grass growth pattern | 土层深度/cm Soil depth | 全盐/% Total soil | pH | 有机质/(g · kg-1) Organic material | 碱解氮/(mg · kg-1) Alkali-hydrolysate nitrogen |
|---|---|---|---|---|---|
| SCK | 0 ~ 20 | 0.13 ± 0.01 d | 8.63 ± 0.01 b | 16.07 ± 0.20 d | 70.03 ± 7.83 a |
| 20 ~ 40 | 0.20 ± 0.03 b | 8.74 ± 0.02 a | 14.30 ± 0.16 e | 52.51 ± 4.41 b | |
| SA | 0 ~ 20 | 0.23 ± 0.01 a | 7.95 ± 0.05 e | 16.54 ± 0.08 c | 55.14 ± 5.43 b |
| 20 ~ 40 | 0.15 ± 0.01 c | 8.30 ± 0.02 d | 20.84 ± 0.23 a | 78.26 ± 7.56 a | |
| SB | 0 ~ 20 | 0.17 ± 0.01 bc | 8.54 ± 0.01 c | 20.11 ± 0.33 b | 78.58 ± 2.56 a |
| 20 ~ 40 | 0.20 ± 0.02 b | 8.66 ± 0.02 b | 16.66 ± 0.41 c | 78.24 ± 1.41 a | |
| 生草模式 Grass growth pattern | 速效磷/(mg · kg-1) Available phosphorus | 速效钾/(mg · kg-1) Rapidly available potassium | 有效铜/(mg · kg-1) Rapidly available copper | 有效铁/(mg · kg-1) Rapidly available iron | 有效锰/(mg · kg-1) Rapidly available manganese |
| SCK | 53.95 ± 1.75 c | 148.67 ± 0.58 c | 1.72 ± 0.41 d | 20.83 ± 0.19 e | 5.60 ± 0.02 c |
| 61.89 ± 1.79 b | 144.00 ± 6.25 c | 2.48 ± 0.28 bc | 25.89 ± 0.51 c | 5.07 ± 0.55 d | |
| SA | 45.22 ± 1.10 d | 173.67 ± 1.53 b | 2.91 ± 0.30 b | 24.11 ± 0.39 d | 6.21 ± 0.25 b |
| 73.69 ± 1.95 a | 128.00 ± 6.08 d | 3.83 ± 0.04 a | 34.25 ± 0.50 a | 6.92 ± 0.32 a | |
| SB | 50.39 ± 1.91 c | 259.67 ± 2.08 a | 2.39 ± 0.18 c | 23.84 ± 0.43 d | 7.22 ± 0.05 a |
| 37.65 ± 3.45 e | 262.33 ± 7.51 a | 2.80 ± 0.10 bc | 30.60 ± 0.41 b | 7.01 ± 0.24 a |
Table 1 Soil physicochemical indexes under different grass growing modes
| 生草模式 Grass growth pattern | 土层深度/cm Soil depth | 全盐/% Total soil | pH | 有机质/(g · kg-1) Organic material | 碱解氮/(mg · kg-1) Alkali-hydrolysate nitrogen |
|---|---|---|---|---|---|
| SCK | 0 ~ 20 | 0.13 ± 0.01 d | 8.63 ± 0.01 b | 16.07 ± 0.20 d | 70.03 ± 7.83 a |
| 20 ~ 40 | 0.20 ± 0.03 b | 8.74 ± 0.02 a | 14.30 ± 0.16 e | 52.51 ± 4.41 b | |
| SA | 0 ~ 20 | 0.23 ± 0.01 a | 7.95 ± 0.05 e | 16.54 ± 0.08 c | 55.14 ± 5.43 b |
| 20 ~ 40 | 0.15 ± 0.01 c | 8.30 ± 0.02 d | 20.84 ± 0.23 a | 78.26 ± 7.56 a | |
| SB | 0 ~ 20 | 0.17 ± 0.01 bc | 8.54 ± 0.01 c | 20.11 ± 0.33 b | 78.58 ± 2.56 a |
| 20 ~ 40 | 0.20 ± 0.02 b | 8.66 ± 0.02 b | 16.66 ± 0.41 c | 78.24 ± 1.41 a | |
| 生草模式 Grass growth pattern | 速效磷/(mg · kg-1) Available phosphorus | 速效钾/(mg · kg-1) Rapidly available potassium | 有效铜/(mg · kg-1) Rapidly available copper | 有效铁/(mg · kg-1) Rapidly available iron | 有效锰/(mg · kg-1) Rapidly available manganese |
| SCK | 53.95 ± 1.75 c | 148.67 ± 0.58 c | 1.72 ± 0.41 d | 20.83 ± 0.19 e | 5.60 ± 0.02 c |
| 61.89 ± 1.79 b | 144.00 ± 6.25 c | 2.48 ± 0.28 bc | 25.89 ± 0.51 c | 5.07 ± 0.55 d | |
| SA | 45.22 ± 1.10 d | 173.67 ± 1.53 b | 2.91 ± 0.30 b | 24.11 ± 0.39 d | 6.21 ± 0.25 b |
| 73.69 ± 1.95 a | 128.00 ± 6.08 d | 3.83 ± 0.04 a | 34.25 ± 0.50 a | 6.92 ± 0.32 a | |
| SB | 50.39 ± 1.91 c | 259.67 ± 2.08 a | 2.39 ± 0.18 c | 23.84 ± 0.43 d | 7.22 ± 0.05 a |
| 37.65 ± 3.45 e | 262.33 ± 7.51 a | 2.80 ± 0.10 bc | 30.60 ± 0.41 b | 7.01 ± 0.24 a |
| 生草模式 Grass growth pattern | 产量/(kg · hm-2) Yileld | 可溶性固形物/% Soluble solid | 总糖/% Sugar | 可滴定酸/% Titratable acid | 维生素C/(mg· kg-1) Vitamin C |
|---|---|---|---|---|---|
| SA | 12 435.0 ± 290.4 a | 27.02 ± 0.50 a | 24.23 ± 0.50 a | 0.33 ± 0 a | 40.70 ± 0 a |
| SB | 15 307.5 ± 120.5 a | 26.52 ± 0.07 ab | 23.30 ± 0.40 b | 0.32 ± 0.02 ab | 40.70 ± 0 a |
| SCK | 13 245.0 ± 209.8 a | 25.79 ± 0.53 c | 23.03 ± 0.31 b | 0.31 ± 0 b | 37.40 ± 0 a |
Table 2 The effects of different grass management patterns on the fruit quality of‘Lingwuchangzao’jujube
| 生草模式 Grass growth pattern | 产量/(kg · hm-2) Yileld | 可溶性固形物/% Soluble solid | 总糖/% Sugar | 可滴定酸/% Titratable acid | 维生素C/(mg· kg-1) Vitamin C |
|---|---|---|---|---|---|
| SA | 12 435.0 ± 290.4 a | 27.02 ± 0.50 a | 24.23 ± 0.50 a | 0.33 ± 0 a | 40.70 ± 0 a |
| SB | 15 307.5 ± 120.5 a | 26.52 ± 0.07 ab | 23.30 ± 0.40 b | 0.32 ± 0.02 ab | 40.70 ± 0 a |
| SCK | 13 245.0 ± 209.8 a | 25.79 ± 0.53 c | 23.03 ± 0.31 b | 0.31 ± 0 b | 37.40 ± 0 a |
Fig. 10 Redundancy analysis of structure of soil bacterial community and soil environmental physicochemical factors under different grass modes at phylum level
| [1] |
|
|
陈晟, 葛帅, 罗耀华, 杨绿竹, 何双, 王蓉蓉, 丁胜华. 2022. 不同采后处理对冷藏‘南丰蜜桔’角质层形态结构及化学组成的影响. 食品工业科技, 43 (22):365-378.
|
|
| [2] |
GB 12456-2021. National Food Safety Standard-determination of total acids in foods. Beijing: Standards Press of China. (in Chinese)
|
|
GB 12456-2021. 食品安全国家标准食品中总酸的测定. 北京: 中国标准出版社.
|
|
| [3] |
GB 5009.86-2016. National Food Safety Standard-determination of ascorbic acid in foods. Beijing: Standards Press of China. (in Chinese)
|
|
GB 5009.86-2016 食品安全国家标准食品中抗坏血酸的测定. 北京: 中国标准出版社
|
|
| [4] |
GB/T18672-2014. Appendix B National Food Safety Standard-determination method for Lycium barbarum polysaccharide content. Beijing: Standards Press of China. (in Chinese)
|
|
GB/T18672-2014. 附录B 食品安全国家标准枸杞中多糖含量的测定方法. 北京: 中国标准出版社
|
|
| [5] |
|
|
谷艳蓉, 张海伶, 胡艳红. 2009. 果园自然生草覆盖对土壤理化性状及大桃产量和品质的影响. 草业科学, 26 (12):103-107.
|
|
| [6] |
|
|
李发虎, 李明, 刘金泉, 胡云, 张清梅, 赵恒栋. 2017. 生物炭对温室黄瓜根际土壤真菌丰度和根系生长的影响. 农业机械学报, 48 (4):265-341.
|
|
| [7] |
|
|
李会科, 赵政阳, 张广军. 2005. 果园生草的理论与实践—以黄土高原南部苹果园生草实践为例. 草业科学, 22 (8):32-37.
|
|
| [8] |
|
|
李彦林, 贺怀鹏, 刘菁, 邓小娟. 2024. 不同根系分泌有机酸组分分析及其对土壤养分、酶活性的影响. 北方园艺,(12):73-79.
|
|
| [9] |
|
|
廖咏梅, 黄元腾吉, 韩宁宁, 凌展, 邹承武, 史鼎鼎, 蒋代华. 2019. 稻鸭共育模式下水稻根际土壤真菌和细菌种群多样性分析. 南方农业学报, 50 (1):59-67.
|
|
| [10] |
LY/T 1251-1999. Analysis of water-soluble salts in forest soil. Beijing: Standards Press of China. (in Chinese)
|
|
LY/T 1251-1999. 森林土壤水溶性盐分分析. 北京: 中国标准出版社
|
|
| [11] |
LY/T 1228-2015. Determination of forest soil nitrogen. Beijing: Standards Press of China. (in Chinese)
|
|
LY/T 1228-2015. 森林土壤氮的测定. 北京: 中国标准出版社
|
|
| [12] |
LY/T 1234-2015. Determination of potassium in forest soil. Beijing: Standards Press of China. (in Chinese)
|
|
LY/T 1234-2015. 森林土壤钾的测定. 北京: 中国标准出版社
|
|
| [13] |
|
| [14] |
|
|
马亚平, 曹兵, 李占文, 苏卫东. 2017. ‘灵武长枣’果实性状及其相关性分析. 中国农学通报, 33 (27):92-96.
doi: 10.11924/j.issn.1000-6850.casb16080069 |
|
| [15] |
doi: 10.1111/1574-6976.12028 URL |
| [16] |
NY/T 1121.2-2006. Determination of soil pH. Beijing: Standards Press of China. (in Chinese)
|
|
NY/T 1121.2-2006. 土壤pH的测定. 北京: 中国标准出版社
|
|
| [17] |
NY/T 1121.6-2006. Determination of soil organic matter. Beijing: Standards Press of China. (in Chinese)
|
|
NY/T 1121.6-2006. 土壤有机质的测定. 北京: 中国标准出版社
|
|
| [18] |
NY/T 1121.7-2014. Determination of soil available phosphorus. Beijing: Standards Press of China. (in Chinese)
|
|
NY/T 1121.7-2014. 土壤有效磷的测定. 北京: 中国标准出版社
|
|
| [19] |
NY/T 890-2004. Determination of available zinc,manganese,iron,and copper content in soil. Beijing: Standards Press of China. (in Chinese)
|
|
NY/T 890-2004. 土壤有效态锌、锰、铁、铜含量的测定. 北京: 中国标准出版社
|
|
| [20] |
NY/T 2637-2014. Determination of soluble solids content in fruits and vegetables by refractometer method. Beijing: Standards Press of China. (in Chinese)
|
|
NY/T 2637-2014. 水果和蔬菜可溶性固形物含量的测定折射仪法. 北京: 中国标准出版社
|
|
| [21] |
doi: 10.11924/j.issn.1000-6850.2009-1401 |
|
任群, 肖家欣, 陈世林, 齐笑笑, 胡世全, 杨慧. 2009. 生草栽培对柑橘叶片矿质营养含量及果实品质的影响. 中国农学通报, 25 (24):407-409.
|
|
| [22] |
|
|
汪星, 陆静, 樊会芳, 高志永, 郭旭新, 赵英. 2019. 灌溉和生草对猕猴桃园土壤质量的影响. 干旱地区农业研究, 37 (6):101-107.
|
|
| [23] |
|
|
王中堂, 沙建川, 解小锋, 孟晓烨, 赵登超, 彭玲, 张琼. 2022. 枣园生草处理对土壤养分和细菌群落的影响. 核农学报, 36 (2):456-465.
doi: 10.11869/j.issn.100-8551.2022.02.0456 |
|
| [24] |
|
|
惠竹梅, 李华, 张振文, 黄懿梅, 王彬. 2004. 西北半干旱地区葡萄园生草对土壤水分的影响. 干旱地区农业研究, 22 (4):123-126.
|
|
| [25] |
|
| [26] |
|
|
肖力婷, 杨慧林, 黄文新, 付学琴. 2022. 生草栽培对南丰蜜橘园土壤微生物群落结构与功能特征的影响. 核农学报, 36 (1): 190-200.
doi: 10.11869/j.issn.100-8551.2022.01.0190 |
|
| [27] |
|
|
杨青松, 李小刚, 蔺经, 颜志梅, 盛宝龙. 2007. 生草对梨园土壤有效养分、水分、温度及果实品质、产量的影响. 江苏农业科学, 5 (40):109-110.
|
|
| [28] |
|
|
袁红朝, 吴昊, 葛体达, 李科林, 吴金水, 王久荣. 2015. 长期施肥对稻田土壤细菌、古菌多样性和群落结构的影响. 应用生态学报, 26 (6):1807-1813.
|
|
| [29] |
|
|
张俊伶, 张江周, 申建波, 田静, 金可默, 张福锁. 2020. 土壤健康与农业绿色发展:机遇与对策. 土壤学报, 57 (4):783-796.
|
|
| [30] |
|
|
张泰劼, 张纯, 郭文磊, 田兴山. 2023. 阔叶丰花草对华南丘陵果园土壤微生物群落结构的影响. 中国农学通报, 39 (17):26-36.
doi: 10.11924/j.issn.1000-6850.casb2022-0480 |
|
| [31] |
|
|
赵柏霞, 闫建芳, 潘凤荣. 2022. 樱桃果园生草对土壤微生态的影响. 西南农业学报, 35 (4):889-895.
|
|
| [32] |
|
|
赵政阳, 李会科. 2006. 黄土高原旱地苹果园生草对土壤水分的影响. 园艺学报, 33 (3):481-484.
|
| [1] | LÜ Yaru, LI Jie, GU Xirong, CUI Yao, HU Jia. Analysis of Fungal Community in Rhizosphere Soil of Rubus corchorifolius Under Four Forest Stands in Jinyun Mountain [J]. Acta Horticulturae Sinica, 2026, 53(1): 202-218. |
| [2] | ZHANG Yuping, WU Yang, LU Dongye, PAN Qinghua. A New Fresh-Eating Jujube Cultivar‘Jingyu 2’ [J]. Acta Horticulturae Sinica, 2025, 52(S1): 69-70. |
| [3] | CHEN Shuting, WU Mumian, LI Tao, LI Zhenxing, MAI Peiting, SUN Baojuan, HAO Yanwei, GONG Chao. Effects of EM Bacteria on Tomato Yield and Soil Bacterial Community [J]. Acta Horticulturae Sinica, 2025, 52(9): 2477-2490. |
| [4] | ZHAO Yupu, BAI Yihan, HOU Saisai, PU Zitian, NIE Lanchun, LI Qingyun, and WANG Xinxin. Research Progress of Alleviating Continuous Cropping Obstacles in Facilities Vegetables Soil Using Arbuscular Mycorrhizal Fungi [J]. Acta Horticulturae Sinica, 2025, 52(8): 2166-2186. |
| [5] | FENG Lingjia, LIU Yujie, HE Lintong, WANG Xinchao, and YE Meng. Research Progress on the Regulation Mechanism of Linalool Synthesis and Its Ecological Functions [J]. Acta Horticulturae Sinica, 2025, 52(8): 2270-2290. |
| [6] | XU Qiang, MA Quanhui, YAN Fenfen, WU Cuiyun, WANG Jiurui, and LIU Mengjun. Genetic Variation and Analysis of Important Traits of Dried Fruits in F1 Hybrid Jujube [J]. Acta Horticulturae Sinica, 2025, 52(6): 1427-1440. |
| [7] | KONG Jiatao, FU Caixia, WU Yanuo, LIU Yuan, HU Zhehui, XU Juan, HUANG Hao, ZHAO Zhao, CHEN Lei, CHEN Jiajing. Flavoromics Analysis and Flavor Quality Difference Analysis in Bingtang Oranges [J]. Acta Horticulturae Sinica, 2025, 52(4): 984-996. |
| [8] | MENG Lu, MA Tao, YUE Xinli, WANG Hui, LI Xiaoyu, WANG Li. Effects of Plant Growth Retardants on the Flowering Period of Hemerocallis citrina and Its Metabolites [J]. Acta Horticulturae Sinica, 2025, 52(4): 997-1006. |
| [9] | HU Yawei, MA Jinlong, ZHONG Balian, YAO Fengxian, LIU Guidong. Preliminary Study on Utilization of 15N-urea Applied to Young Navel Orange Trees in Summer and Its Residual in Soil [J]. Acta Horticulturae Sinica, 2025, 52(3): 705-713. |
| [10] | REN Yi, ZHANG Yixing, HOU Saisai, NIE Lanchun, LI Qingyun, WANG Xinxin. Research Progress on the Preparation Method of Biochar and Its Application Effect on Returning to Field in Facility Vegetable Fields [J]. Acta Horticulturae Sinica, 2025, 52(3): 792-812. |
| [11] | ZHOU Jinhua, BAI Lei, ZHANG Rui, GUO Huachun. The Effect of Reducing Soil Temperature with Straw Mulching Cultivation on Potato Growth [J]. Acta Horticulturae Sinica, 2025, 52(2): 453-466. |
| [12] | GUO Ziyan, TANG Wen, XU Mengyu, LÜ Jinhan, FANG Jinggui, WANG Jiangbo, and LU Suwen. Association Between Vineyard Soil Factors and Fruit Quality:An Analysis of Cultivar Response Differences [J]. Acta Horticulturae Sinica, 2025, 52(11): 2943-2958. |
| [13] | DU Haowei, LIAO Wei, HUANG Xue, YANG Jinzhi, SHEN Wanqi, ZHANG Dongmei, LIU Junwei, LI Guohuai. Intercropping of Allium,Mustard,and Alfalfa on the Growth Performance and Soil Environment of Replant Soil-Cultivated Peach Plants [J]. Acta Horticulturae Sinica, 2025, 52(1): 185-199. |
| [14] | YANG Jinlei, LÜ Biwen, CHEN Yuewen, JIN Yan, YANG Junfeng, ZHOU Tie, TANG Jun, CHANG Yuanyuan, YANG Changyao, LU Xiaopeng. Status of Cadmium Pollution in the Main Citrus Producing Areas of Hunan Province and the Effects of Cadmium Stress on Citrus Development [J]. Acta Horticulturae Sinica, 2025, 52(1): 200-212. |
| [15] | ZHANG Fan, YANG Yang, WANG Hong, ZHANG Xuebing. Improving Physicochemical Properties and Bacterial Communities of Peach-Heavy Soils Using Biofertilizers and Organic Fertilizers [J]. Acta Horticulturae Sinica, 2024, 51(9): 2089-2104. |
| Viewed | ||||||
|
Full text |
|
|||||
|
Abstract |
|
|||||
Copyright © 2012 Acta Horticulturae Sinica 京ICP备10030308号-2 国际联网备案号 11010802023439
Tel: 010-82109523 E-Mail: yuanyixuebao@126.com
Support by: Beijing Magtech Co.Ltd