园艺学报 ›› 2023, Vol. 50 ›› Issue (10): 2257-2270.doi: 10.16420/j.issn.0513-353x.2022-0741
何亚芳1,2, 包慧芳2,*(
), 王宁2, 詹发强2, 张学军3, 史应武2, 杨蓉2, 侯新强2, 龙宣杞2,*(
)
收稿日期:2023-04-21
修回日期:2023-09-03
出版日期:2023-10-25
发布日期:2023-10-31
通讯作者:
*(E-mail:779556527@qq.com;609160628@qq.com)
基金资助:
HE Yafang1,2, BAO Huifang2,*(
), WANG Ning2, ZHAN Faqiang2, ZHANG Xuejun3, SHI Yingwu2, YANG Rong2, HOU Xinqiang2, LONG Xuanqi2,*(
)
Received:2023-04-21
Revised:2023-09-03
Published:2023-10-25
Online:2023-10-31
Contact:
*(E-mail:779556527@qq.com;609160628@qq.com)
摘要:
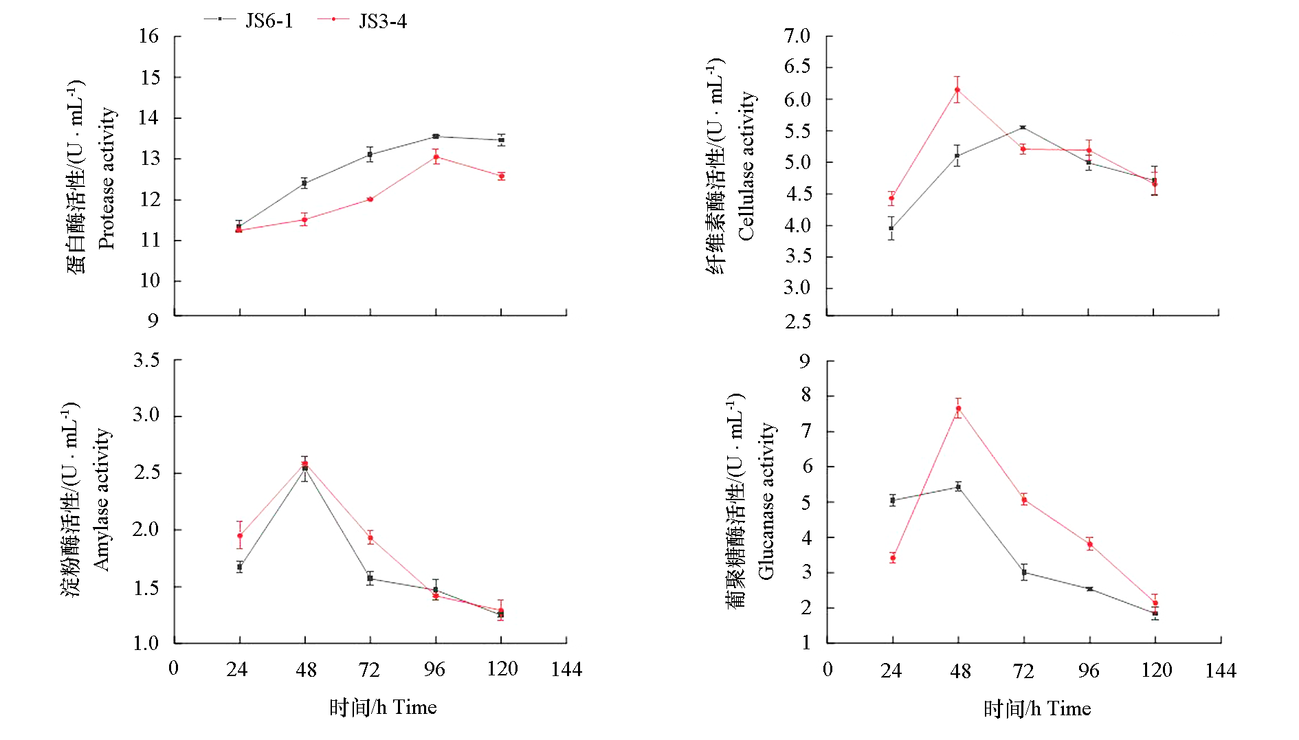
以新疆喀什地区伽师县盐碱地土壤为材料,通过平板对峙法和琼脂扩散法筛选获得对腐皮镰刀菌(Fusarium solani)BM1具有显著拮抗作用的菌株JS6-1和JS3-4。两菌株发酵上清液对甜瓜果腐病病原菌的抑菌圈直径分别为22.90和21.05 mm,通过形态学观察、生理生化试验和16s rRNA基因序列分析初步鉴定为贝莱斯芽孢杆菌Bacillus velezensis JS6-1和暹罗芽孢杆菌Bacillus siamensis JS3-4。抑菌谱测定结果表明两株菌对尖孢镰刀菌Fusarium oxysporum KW1、香梨黑斑病菌链格孢菌Alternatia alternata HB2、香梨腐烂病菌Valsa mali var. pyri FL1等9种植物病原菌均有较强的抑制作用。酶活及产铁载体测定结果表明,两株菌可产生纤维素酶、蛋白酶、淀粉酶、葡聚糖酶和铁载体等物质。采用酸沉淀法提取两株菌脂肽类物质,并以腐皮镰刀菌Fusarium solani BM1为指示菌进行抑菌试验结果表明,两株菌脂肽类粗提物对病原菌的抑菌圈直径分别为20.55和19.05 mm,对病原菌孢子萌发抑制率分别为100%和93.77%。综上,拮抗菌JS6-1和JS3-4对镰刀菌属病原菌具有较好的拮抗效果,具有进一步开发为生防菌剂的潜力。
何亚芳, 包慧芳, 王宁, 詹发强, 张学军, 史应武, 杨蓉, 侯新强, 龙宣杞. 甜瓜镰刀菌果腐病菌拮抗菌筛选及其拮抗性研究[J]. 园艺学报, 2023, 50(10): 2257-2270.
HE Yafang, BAO Huifang, WANG Ning, ZHAN Faqiang, ZHANG Xuejun, SHI Yingwu, YANG Rong, HOU Xinqiang, LONG Xuanqi. Screening of Antagonistic Bacteria Against Fusarium spp. Causing Melon Fruit Rot and the Antagonistic Properties[J]. Acta Horticulturae Sinica, 2023, 50(10): 2257-2270.
| 菌株 Strain | 抑菌带宽度/mm Inhibition zone width | 发酵上清液抑菌圈直径/mm The fermentation supernatant inhibition zone diameter |
|---|---|---|
| JS6-1 | 7.39 ± 0.07 a | 22.90 ± 0.74 a |
| JS3-4 | 6.67 ± 0.08 b | 21.05 ± 0.28 b |
| JS1-1 | 5.74 ± 0.17 c | 13.29 ± 0.11 c |
| JS55-2 | 5.12 ± 0.11 d | 9.81 ± 0.47 d |
| JS15 | 5.08 ± 0.21 d | 9.27 ± 0.30 d |
表1 甜瓜镰刀菌果腐病菌拮抗菌筛选结果
Table 1 Screening results of antagonistic bacteria against Fusarium melon fruit rot
| 菌株 Strain | 抑菌带宽度/mm Inhibition zone width | 发酵上清液抑菌圈直径/mm The fermentation supernatant inhibition zone diameter |
|---|---|---|
| JS6-1 | 7.39 ± 0.07 a | 22.90 ± 0.74 a |
| JS3-4 | 6.67 ± 0.08 b | 21.05 ± 0.28 b |
| JS1-1 | 5.74 ± 0.17 c | 13.29 ± 0.11 c |
| JS55-2 | 5.12 ± 0.11 d | 9.81 ± 0.47 d |
| JS15 | 5.08 ± 0.21 d | 9.27 ± 0.30 d |
图1 拮抗菌JS6-1(A)、JS3-4(B)及其发酵上清液(C)对腐皮镰刀菌的拮抗作用
Fig. 1 Antagonistic effect of antagonistic bacteria JS6-1(A),JS3-4(B)and their fermentation supernatant(C)on Fusarium solani
| 病原菌 | 抑菌率/% Inhibition rate | |
|---|---|---|
| Pathogen | JS6-1 | JS3-4 |
| 香梨腐烂病菌 Valsa mali var. pyri FL1 | 58.02 ± 1.28 c | 59.26 ± 1.44 b |
| 马铃薯黑痣病菌立枯丝核菌 Rhizoctonia solani ZN5 | 51.85 ± 0.42 de | 56.79 ± 1.28 bc |
| 番茄早疫病菌茄链格孢菌 Alternatia solani ZN18 | 58.02 ± 1.26 c | 53.09 ± 1.91 de |
| 核桃腐烂病 Cytcospora sp. ZN19 | 70.41 ± 2.22 a | 75.37 ± 1.18 a |
| 甜瓜枯萎病 Fusarium oxysporum KW1 | 59.32 ± 0.84 c | 54.60 ± 0.74 cd |
| 水稻恶苗串珠镰刀菌 F. moniliforme ZN12 | 54.26 ± 1.48 d | 58.52 ± 1.29 b |
| 马铃薯早疫病菌茄病链格孢菌 A. solani ZN6 | 62.28 ± 1.18 b | 57.72 ± 2.17 bc |
| 西瓜枯萎病尖孢镰刀菌 F. oxysporum ZN10 | 50.12 ± 0.65 e | 50.65 ± 1.01 e |
| 香梨黑斑病菌链格孢菌 A. alternata HB2 | 58.25 ± 1.26 c | 57.98 ± 1.87 bc |
表2 拮抗菌JS6-1和JS3-4的抑菌谱
Table 2 Antibacterial spectrum of antagonistic bacteria JS6-1 and JS3-4
| 病原菌 | 抑菌率/% Inhibition rate | |
|---|---|---|
| Pathogen | JS6-1 | JS3-4 |
| 香梨腐烂病菌 Valsa mali var. pyri FL1 | 58.02 ± 1.28 c | 59.26 ± 1.44 b |
| 马铃薯黑痣病菌立枯丝核菌 Rhizoctonia solani ZN5 | 51.85 ± 0.42 de | 56.79 ± 1.28 bc |
| 番茄早疫病菌茄链格孢菌 Alternatia solani ZN18 | 58.02 ± 1.26 c | 53.09 ± 1.91 de |
| 核桃腐烂病 Cytcospora sp. ZN19 | 70.41 ± 2.22 a | 75.37 ± 1.18 a |
| 甜瓜枯萎病 Fusarium oxysporum KW1 | 59.32 ± 0.84 c | 54.60 ± 0.74 cd |
| 水稻恶苗串珠镰刀菌 F. moniliforme ZN12 | 54.26 ± 1.48 d | 58.52 ± 1.29 b |
| 马铃薯早疫病菌茄病链格孢菌 A. solani ZN6 | 62.28 ± 1.18 b | 57.72 ± 2.17 bc |
| 西瓜枯萎病尖孢镰刀菌 F. oxysporum ZN10 | 50.12 ± 0.65 e | 50.65 ± 1.01 e |
| 香梨黑斑病菌链格孢菌 A. alternata HB2 | 58.25 ± 1.26 c | 57.98 ± 1.87 bc |
| 指标分类 Index classification | 测定指标 Identification index | JS6-1 | JS3-4 |
|---|---|---|---|
| 氮源利用 Nitrogen source utilization | 硫酸铵Ammonia sulfate | + | + |
| 草酸铵Sodium oxalate | + | + | |
| 柠檬酸二铵Ammonium citrate | + | + | |
| L-酪氨酸L-tyrosine | + | + | |
| 磷酸二氢铵Ammonium dihydrogen phosphate | + | + | |
| 谷氨酸Glutamate | + | - | |
| 碳源利用 Carbon source utilization | D-葡萄糖D-glucose | + | + |
| 甘油Glycerinum | + | + | |
| 蔗糖Saccharose | + | + | |
| D-果糖D-fructose | + | + | |
| 乳糖Lactose | + | - | |
| 淀粉Amylum | + | + | |
| 甘露醇Mannitol | + | + | |
| 鼠李糖Rhamnose | - | - | |
| 壳聚糖Chitosan | - | - | |
| 海藻糖Trehalose | + | + | |
| 麦芽糖Maltose | + | + | |
| 其他指标 Other indicators | 接触酶反应Contact enzyme test | + | + |
| 柠檬酸盐利用Citrate utilization | - | - | |
| 甲基红Methy red | - | + | |
| 明胶液化Liquefy glutin | + | + | |
| 淀粉水解Starch hydrolysis | + | + | |
| V-P试验V-P test | + | + | |
| 吲哚试验Indole test | - | - | |
| 硫化氢Hydrogen sulfide | - | - | |
| 生长特性 Growth characteristics | NaCl浓度/% NaCl concentration | 2.5 ~ 9.5 | 2.5 ~ 9.0 |
| 生长温度/℃ Growth temperature | 15 ~ 50 | 4 ~ 50 | |
| pH | 5.0 ~ 11.0 | 5.0 ~ 9.0 |
表3 拮抗菌生理生化特性
Table 3 Physiological and biochemical characteristics of antagonistic bacteria
| 指标分类 Index classification | 测定指标 Identification index | JS6-1 | JS3-4 |
|---|---|---|---|
| 氮源利用 Nitrogen source utilization | 硫酸铵Ammonia sulfate | + | + |
| 草酸铵Sodium oxalate | + | + | |
| 柠檬酸二铵Ammonium citrate | + | + | |
| L-酪氨酸L-tyrosine | + | + | |
| 磷酸二氢铵Ammonium dihydrogen phosphate | + | + | |
| 谷氨酸Glutamate | + | - | |
| 碳源利用 Carbon source utilization | D-葡萄糖D-glucose | + | + |
| 甘油Glycerinum | + | + | |
| 蔗糖Saccharose | + | + | |
| D-果糖D-fructose | + | + | |
| 乳糖Lactose | + | - | |
| 淀粉Amylum | + | + | |
| 甘露醇Mannitol | + | + | |
| 鼠李糖Rhamnose | - | - | |
| 壳聚糖Chitosan | - | - | |
| 海藻糖Trehalose | + | + | |
| 麦芽糖Maltose | + | + | |
| 其他指标 Other indicators | 接触酶反应Contact enzyme test | + | + |
| 柠檬酸盐利用Citrate utilization | - | - | |
| 甲基红Methy red | - | + | |
| 明胶液化Liquefy glutin | + | + | |
| 淀粉水解Starch hydrolysis | + | + | |
| V-P试验V-P test | + | + | |
| 吲哚试验Indole test | - | - | |
| 硫化氢Hydrogen sulfide | - | - | |
| 生长特性 Growth characteristics | NaCl浓度/% NaCl concentration | 2.5 ~ 9.5 | 2.5 ~ 9.0 |
| 生长温度/℃ Growth temperature | 15 ~ 50 | 4 ~ 50 | |
| pH | 5.0 ~ 11.0 | 5.0 ~ 9.0 |
图6 纤维素酶(A),蛋白酶(B),淀粉酶(C)和葡聚糖酶(D)选择性培养基检测及产铁载体(E)检测
Fig. 6 Cellulase(A),protease(B),amylase(C)and glucanase(D)selective medium detection and siderophore detection(E)
| 菌株编号Strain number | As/Ar | 铁载体活性/% Siderophore activity |
|---|---|---|
| JS6-1 | 0.689 ± 0.008 | 31.10 ± 0.06 |
| JS3-4 | 0.789 ± 0.015 | 21.11 ± 0.11 |
表4 拮抗菌JS6-1和JS3-4产铁载体能力
Table 4 The ferritic capacity of antagonistic bacteria JS6-1 and JS3-4
| 菌株编号Strain number | As/Ar | 铁载体活性/% Siderophore activity |
|---|---|---|
| JS6-1 | 0.689 ± 0.008 | 31.10 ± 0.06 |
| JS3-4 | 0.789 ± 0.015 | 21.11 ± 0.11 |
| 稀释倍数 Dilution multiple | Bacillus velezensis JS6-1 | B. siamensis JS3-4 | ||
|---|---|---|---|---|
| 孢子萌发率/% Spore germination rate | 萌发抑制率/% Spore germination inhibition rate | 孢子萌发率/% Spore germination rate | 萌发抑制率/% Spore germination inhibition rate | |
| 原液 Stock solution | 0 | 100.00 | 5.45 | 93.77 |
| 10-1 | 8.69 | 91.64 | 12.12 | 86.15 |
| 10-2 | 25.58 | 83.28 | 33.82 | 61.35 |
| 10-3 | 34.21 | 67.79 | 40.54 | 53.67 |
| 10-4 | 58.33 | 36.91 | 67.56 | 22.79 |
| 对照Control | 87.50 | — | 87.50 | — |
表5 菌株JS6-1和JS3-4脂肽类粗提物稀释倍数对致病菌孢子萌发的影响
Table 5 Antagonistic effects of lipopeptide dilution on spore germination of pathogenic bacteria by strains JS6-1 and JS3-4
| 稀释倍数 Dilution multiple | Bacillus velezensis JS6-1 | B. siamensis JS3-4 | ||
|---|---|---|---|---|
| 孢子萌发率/% Spore germination rate | 萌发抑制率/% Spore germination inhibition rate | 孢子萌发率/% Spore germination rate | 萌发抑制率/% Spore germination inhibition rate | |
| 原液 Stock solution | 0 | 100.00 | 5.45 | 93.77 |
| 10-1 | 8.69 | 91.64 | 12.12 | 86.15 |
| 10-2 | 25.58 | 83.28 | 33.82 | 61.35 |
| 10-3 | 34.21 | 67.79 | 40.54 | 53.67 |
| 10-4 | 58.33 | 36.91 | 67.56 | 22.79 |
| 对照Control | 87.50 | — | 87.50 | — |
| [1] |
doi: 10.1128/MMBR.00019-15 URL |
| [2] |
|
| [3] |
|
| [4] |
|
| [5] |
|
|
陈伟, 王小利, 付薇. 2016. 黑麦草根际产铁载体细菌HMGY6B的筛选鉴定及对病原菌的拮抗作用. 微生物学通报, 43 (10):2207-2215.
|
|
| [6] |
|
|
陈显玲. 2014. 蛋白酶产生菌的筛选及发酵条件的优化. 广州化工, 42 (7):67-70.
|
|
| [7] |
doi: 10.1128/AEM.71.9.4951-4959.2005 URL |
| [8] |
doi: 10.1016/j.hpj.2022.07.006 URL |
| [9] |
|
|
崔小蕾. 2017. 功能性微生物的筛选[硕士论文]. 大连: 大连工业大学.
|
|
| [10] |
doi: 10.1016/j.postharvbio.2015.04.005 URL |
| [11] |
|
|
东秀珠, 蔡妙英. 2001. 常见细菌系统鉴定手册. 北京: 科学出版社.
|
|
| [12] |
doi: 10.3389/fmicb.2018.02093 pmid: 30214441 |
| [13] |
doi: 10.1007/s11101-013-9278-4 URL |
| [14] |
|
|
韩松. 2011. 内生细菌对棉花枯黄萎病的拮抗机制[硕士论文]. 塔里木: 塔里木大学.
|
|
| [15] |
|
|
何翔, 张庆, 李楚, 番华彩, 李铭刚, 徐胜涛, 陈齐斌, 杨明英, 杨佩文. 2020. 具铁载体活性病原细菌的筛选及铁摄取干预对其生长影响. 植物保护, 46 (3):85-93.
|
|
| [16] |
|
|
金伟, 陈文静, 缪礼鸿, 刘蒲临. 2017. 1株耐热纤维素酶产生菌的筛选及其酶学特性. 江苏农业科学, 45 (20):272-274.
|
|
| [17] |
doi: 10.1016/j.postharvbio.2019.03.002 |
| [18] |
|
|
刘延波, 张世凯, 赵志军, 王贤, 潘春梅, 孙西玉. 2020. 高产淀粉酶细菌的分离鉴定及产酶条件优化. 食品与机械, 36 (1):65-71.
|
|
| [19] |
|
|
刘洋, 朱天辉, 郑磊, 张静, 兰浩洋, 郭志斌. 2016. 一株内生拮抗细菌的分离鉴定及其抗菌机理研究. 植物保护, 42 (1):33-39.
|
|
| [20] |
doi: 10.1016/j.biocontrol.2019.03.017 URL |
| [21] |
doi: 10.1094/PHYTO-04-10-0125 URL |
| [22] |
doi: 10.1186/1471-2229-4-1 URL |
| [23] |
doi: 10.1016/j.postharvbio.2019.05.011 URL |
| [24] |
doi: 10.1016/j.anres.2016.02.003 URL |
| [25] |
doi: 10.1007/s00284-008-9264-z pmid: 18836770 |
| [26] |
doi: 10.1016/0003-2697(87)90612-9 pmid: 2952030 |
| [27] |
doi: 10.1007/s13337-018-0438-4 pmid: 29911145 |
| [28] |
doi: 10.1078/0944-5013-00120 pmid: 11770853 |
| [29] |
|
|
田丹丹, 周维, 李朝生, 韦弟, 覃柳燕, 黄素梅, 韦莉萍, 龙盛风, 何章飞, 韦绍龙. 2020. 香蕉枯萎病拮抗菌GKT04产生的脂肽类抗生素的分离和鉴定. 南方农业学报, 51 (5):1122-1127.
|
|
| [30] |
pmid: 15078533 |
| [31] |
|
|
王瑞昊, 邓业成, 陈广桂, 张泽, 张燕玲, 邓志勇, 蓝福生, 郭丽霞, 张川梅, 梁保明, 骆海玉, 张明良. 2021. 罗汉果土传病害拮抗细菌的筛选及鉴定. 福建农业学报, 36 (8):927-935.
|
|
| [32] |
|
|
魏雪, 江孟遥, 钟涛, 张曼, 王智荣,
|
|
| [33] |
|
|
武华文. 2020. 哈密瓜片远红外干燥特性及品质工艺试验研究[硕士论文]. 塔里木: 塔里木大学.
|
|
| [34] |
|
|
杨常娥, 鲁艳莉, 倪捍成, 周咏, 宁喜斌. 2017. 创伤弧菌产铁载体菌株的筛选及其诱导条件的响应面优化. 食品工业科技, 38 (3):159-165.
|
|
| [35] |
|
|
杨鸿基, 徐诚, 高亚宁, 杨建超, 杨平, 轩正英, 阿依买木 · 沙吾提. 2022. 新疆哈密瓜苗期耐冷性评价. 中国瓜菜, 35 (2):90-94.
|
|
| [36] |
|
|
张霞, 许曼琳, 于静, 吴菊香, 李莹, 鄢洪海, 李长友, 王晓强, 郭志青, 迟玉成. 2020. 暹罗芽孢杆菌ZHX-10对花生冠腐病的生防效果. 花生学报, 49 (4):52-56.
|
|
| [37] |
doi: 10.16420/j.issn.0513-353x.2020-0760 URL |
|
张晓勇, 李树江, 严凯, 翁贵英, 张韵霞, 龙巧芳, 梁文, 蒋芹娜, 杨友联. 2021. 杧果采后炭疽病生防菌株筛选及其培养特性研究. 园艺学报, 48 (11):2171-2184.
doi: 10.16420/j.issn.0513-353x.2020-0760 URL |
| [1] | 卢小露 , 樊静华 , 黄 昀 , 蔚玉红 , 陈炳言 , 马英华 , 田甲玺 , 顾海峰 , 周京一 . 甜瓜新品种‘小雪’[J]. 园艺学报, 2023, 50(S1): 107-108. |
| [2] | 王东, 麦麦提艾则孜·穆合塔尔, 刘艳全, 迪力达尔克孜·吾拉木. 新疆伽师县甜瓜病毒病种类鉴定[J]. 园艺学报, 2023, 50(8): 1793-1802. |
| [3] | 刁倩楠, 曹燕燕, 陈幼源, 张永平. 甜瓜新品种‘甜蜜20’[J]. 园艺学报, 2023, 50(6): 1385-1386. |
| [4] | 张慧君, 袁于舒, 张岩, 吴啟菠, 戴祖云. 甜瓜新品种‘淮甜1号’[J]. 园艺学报, 2023, 50(3): 689-690. |
| [5] | 田红梅, 刘 娟, 张长坤, 陶 珍, 张 建, 王朋成, . 甜瓜砧木用南瓜新品种‘皖砧6号’[J]. 园艺学报, 2022, 49(S2): 127-128. |
| [6] | 胡建斌, 袁升凯, 马 强, 张宝金, 孙中伟, 李 琼, 何颖悦, 刘小云, 杨路明, 朱华玉, 马志伟, 孙守如, 马长生, . 耐低温甜瓜新品种‘豫甜蜜’[J]. 园艺学报, 2022, 49(S2): 163-164. |
| [7] | 蔚玉红, 卢小露, 黄 昀, 马英华, 樊静华, 田甲玺. 网纹甜瓜新品种‘华蜜303’[J]. 园艺学报, 2022, 49(S2): 165-166. |
| [8] | 康利允, 赵卫星, 高宁宁, 李晓慧, 常高正, 梁 慎, 徐小利, 李海伦, 王慧颖. 网纹甜瓜新品种‘兴隆蜜6号’[J]. 园艺学报, 2022, 49(S2): 167-168. |
| [9] | 朱学杰, 朱忠厚, 朱真真, 郭大龙, . 甜瓜新品种‘白皮脆’[J]. 园艺学报, 2022, 49(S1): 105-106. |
| [10] | 张立民, . 厚皮甜瓜新品种‘骄红4号’[J]. 园艺学报, 2022, 49(S1): 107-108. |
| [11] | 张立民, . 网纹甜瓜新品种‘海蓝宝石1号’[J]. 园艺学报, 2022, 49(S1): 109-110. |
| [12] | 林 涛, 马国斌, 张克岩, 李菊芬. 厚皮甜瓜新品种‘明珠3号’[J]. 园艺学报, 2022, 49(S1): 111-112. |
| [13] | 李菊芬, 林 涛, 张克岩, 马国斌. 厚皮甜瓜新品种‘明珠4号’[J]. 园艺学报, 2022, 49(S1): 113-114. |
| [14] | 任凯丽, 孔维萍, 唐桃霞, 程鸿. 基于Lab表色系统的甜瓜果实颜色多样性分析[J]. 园艺学报, 2022, 49(9): 2017-2022. |
| [15] | 窦宏涛, 卢于绒, 武云霞, 杨小振, 刘民强, 周玲, 詹涛. 早熟薄皮甜瓜新品种‘西甜5号’[J]. 园艺学报, 2022, 49(7): 1617-1618. |
| 阅读次数 | ||||||
|
全文 |
|
|||||
|
摘要 |
|
|||||
版权所有 © 2012 《园艺学报》编辑部 京ICP备10030308号-2 国际联网备案号 11010802023439
编辑部地址: 北京市海淀区中关村南大街12号中国农业科学院蔬菜花卉研究所 邮编: 100081
电话: 010-82109523 E-Mail: yuanyixuebao@126.com
技术支持:北京玛格泰克科技发展有限公司