https://www.ahs.ac.cn/images/0513-353X/images/top-banner1.jpg|#|苹果
https://www.ahs.ac.cn/images/0513-353X/images/top-banner2.jpg|#|甘蓝
https://www.ahs.ac.cn/images/0513-353X/images/top-banner3.jpg|#|菊花
https://www.ahs.ac.cn/images/0513-353X/images/top-banner4.jpg|#|灵芝
https://www.ahs.ac.cn/images/0513-353X/images/top-banner5.jpg|#|桃
https://www.ahs.ac.cn/images/0513-353X/images/top-banner6.jpg|#|黄瓜
https://www.ahs.ac.cn/images/0513-353X/images/top-banner7.jpg|#|蝴蝶兰
https://www.ahs.ac.cn/images/0513-353X/images/top-banner8.jpg|#|樱桃
https://www.ahs.ac.cn/images/0513-353X/images/top-banner9.jpg|#|观赏荷花
https://www.ahs.ac.cn/images/0513-353X/images/top-banner10.jpg|#|菊花
https://www.ahs.ac.cn/images/0513-353X/images/top-banner11.jpg|#|月季
https://www.ahs.ac.cn/images/0513-353X/images/top-banner12.jpg|#|菊花

园艺学报 ›› 2025, Vol. 52 ›› Issue (11): 2987-3002.doi: 10.16420/j.issn.0513-353x.2025-0326

• 栽培·生理生化 • 上一篇    下一篇

外源GABA处理对樱桃番茄贮藏保鲜效果综合评价

田雨1, 潘文成1, 杨佳玉1, 魏亚雄1, 朱彦哲1, 黄彦发1, 吴龙国1,2,*()   

  1. 1 宁夏大学葡萄酒与园艺学院, 银川 750021
    2 宁夏现代设施园艺工程技术研究中心, 银川 750021
  • 收稿日期:2025-05-21 修回日期:2025-08-27 出版日期:2025-11-26 发布日期:2025-11-26
  • 通讯作者:
    * E-mail:
  • 基金资助:
    宁夏基础条件建设项目(2025DPC05011); 宁夏青年拔尖人才项目(2024NXQNBJ043); 宁夏自然科学基金项目(2024AAC03120); 宁夏高等学校自然科学项目(NYG-2024-019); 宁夏重大研发计划项目(2024BBF01011); 宁夏重大研发计划项目(2025BBF01004)

Comprehensive Evaluation of Storage and Preservation Effects of Exogenous GABA Treatments on Cherry Tomato

TIAN Yu1, PAN Wencheng1, YANG Jiayu1, WEI Yaxiong1, ZHU Yanzhe1, HUANG Yanfa1, WU Longguo1,2,*()   

  1. 1 School of Enology and HorticultureNingxia University, Yinchuan 750021, China
    2 Ningxia Modern Facility Horticulture Engineering Technology Research Center, Yinchuan 750021, China
  • Received:2025-05-21 Revised:2025-08-27 Published:2025-11-26 Online:2025-11-26

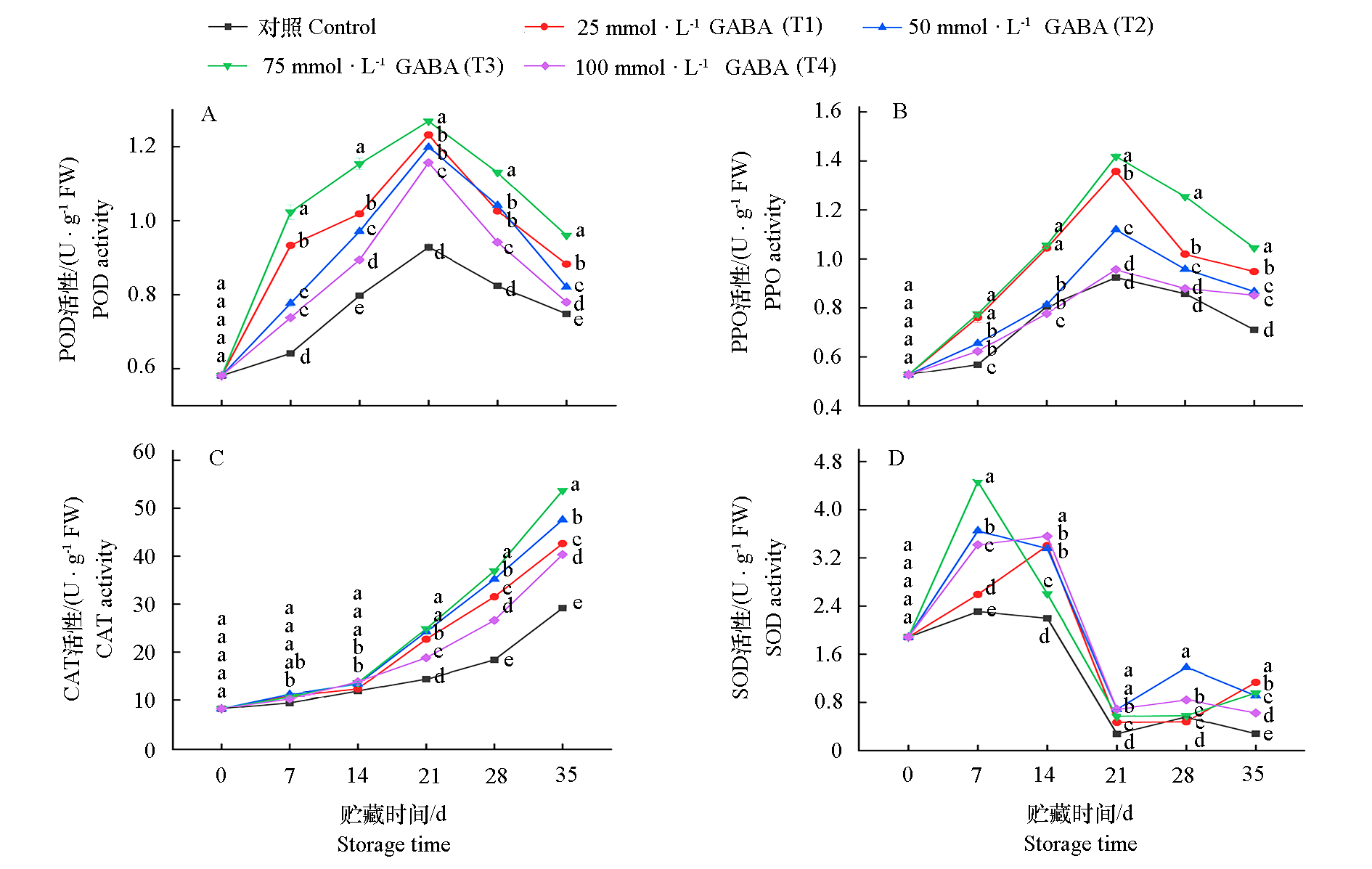
摘要: 为了研究不同浓度γ-氨基丁酸(GABA)处理对樱桃番茄果实品质及抗氧化系统的影响,以‘首尔红’樱桃番茄为试材,采用0、25、50、75和100 mmol · L-1的GABA溶液浸泡处理。对果实腐烂指数、失重率、硬度、营养品质(可溶性糖、维生素C、可溶性固形物、可滴定酸等)及抗氧化酶活性(POD、PPO、CAT、SOD、LOX、PAL)等指标进行定期测定,并采用主成分分析(PCA)、熵值法(EWM)和熵权-TOPSIS等模型综合评价保鲜效果。结果表明,75 mmol · L-1 GABA处理显著降低果实失重率和腐烂指数,延缓硬度下降,维持较高水平的可溶性糖与维生素C含量;同时POD、PPO、CAT、SOD活性显著增强,MDA含量及LOX活性降低,果实后熟与衰老进程减缓。PCA提取出3个主成分,累计贡献率达到86.87%;熵值法确定CAT活性和糖酸比为关键指标;熵权-TOPSIS显示75 mmol · L-1 GABA处理组相对接近度最优,能够显著延长果实的货架期并维持较好的品质。因此,外源GABA处理是一种可行的樱桃番茄采后保鲜技术。

关键词: 樱桃番茄, γ-氨基丁酸, 保鲜效果, 抗氧化酶活性, 综合评价

Abstract:

In order to study the effects of different concentrations of γ-aminobutyric acid(GABA)treatments on the quality and antioxidant system of cherry tomato. In this study,‘Seoul Red’cherry tomato was used as experimental material and soaked in GABA solutions at concentrations of 0,25,50,75 and 100 mmol · L-1. Regular measurements were conducted on indicators including fruit decay index,weight loss rate,firmness,nutritional quality(soluble sugar,vitamin C,soluble solids,titratable acid,etc.),and antioxidant enzyme activities (POD,PPO,CAT,SOD,LOX,PAL). Additionally,models such as principal components analysis(PCA),entropy weight method(EWM),and entropy weight-TOPSIS were used to comprehensively evaluate the preservation effects. The results showed that the 75 mmol · L-1 GABA treatment group significantly reduced the fruit weight loss rate and decay index,delayed the decline in firmness,and maintained higher levels of soluble sugar and vitamin C content. Meanwhile,it significantly enhanced the activities of POD,PPO,CAT,and SOD,reduced MDA content and LOX activity,thereby slowing down the fruit post-ripening and senescence process. PCA extracted three principal components with a cumulative contribution rate of 86.87%;the entropy weight method identified CAT activity and sugar-acid ratio as key indicators;entropy weight-TOPSIS showed that the relative closeness of the 75 mmol · L-1 GABA group was the optimal. The 75 mmol · L-1 GABA group significantly prolongs the shelf life of fruits and maintains better quality. Therefore,exogenous GABA treatment is a feasible postharvest preservation technology for cherry tomatoes.

Key words: cherry tomato, γ-aminobutyric acid, postharvest preservation effect, antioxidant enzyme activity, comprehensive evaluation