园艺学报 ›› 2025, Vol. 52 ›› Issue (10): 2713-2726.doi: 10.16420/j.issn.0513-353x.2024-0810
李慧1, 阚家亮1,2, 李晓刚1,*(
), 王中华1, 蔺经1, 杨青松1
收稿日期:2024-11-26
修回日期:2025-06-03
出版日期:2025-10-25
发布日期:2025-10-28
通讯作者:
基金资助:
LI Hui1, KAN Jialiang1,2, LI Xiaogang1,*(
), WANG Zhonghua1, LIN Jing1, YANG Qingsong1
Received:2024-11-26
Revised:2025-06-03
Published:2025-10-25
Online:2025-10-28
摘要:
以‘苏翠1号’梨花芽为试材,比较正常花芽和松散花芽的赤霉素含量,转录组比较分析赤霉素合成途径相关基因表达情况,研究施加赤霉素抑制剂多效唑控制花芽松散的效果,探讨花芽松散与赤霉素之间的关系。结果表明,松散花芽中赤霉素含量显著高于正常花芽,其中GA1、GA3、GA4和GA7含量是正常花芽的1.25 ~ 2.87倍。转录组分析显示松散花芽与正常花芽有3 290个差异表达基因,松散花芽中上调表达的2 046个,下调表达的1 244个。qRT-PCR结果表明,松散花芽中GA2ox1、GA2ox2、GA3ox、GA20ox和GID1基因上调表达,GAI、GASA3/4/6/14、GID2和KAO下调表达,并且与转录组测序结果一致。施加多效唑后一年生枝条腋花芽中赤霉素含量减少,花芽松散比例下降,赤霉素含量与花芽松散比例呈显著正相关(r = 0.94)。喷施多效唑可抑制‘苏翠1号’梨腋花芽中GA2ox1/2、GA3ox、GA20ox、GASA3/4/6/14、GID1和KAO的转录水平,促进GAI和GID2表达,从而调控赤霉素的合成代谢。研究结果表明生长季赤霉素的异常升高会导致梨花芽松散,喷施多效唑通过调控合成途径相关基因表达,抑制赤霉素合成,减轻梨花芽的松散程度。
李慧, 阚家亮, 李晓刚, 王中华, 蔺经, 杨青松. 赤霉素对‘苏翠1号’梨花芽松散的影响[J]. 园艺学报, 2025, 52(10): 2713-2726.
LI Hui, KAN Jialiang, LI Xiaogang, WANG Zhonghua, LIN Jing, YANG Qingsong. Effect of Gibberellin on Wizened Flower Buds Formation of Pyrus pyrifolia Cultivar‘Sucui 1’During the Growing Season[J]. Acta Horticulturae Sinica, 2025, 52(10): 2713-2726.
| 基因名称 Gene name | 正向引物序列(5′-3′) Forward primer sequence | 反向引物序列(5′-3′) Reverse primer sequence | 产物长度/bp Product length |
|---|---|---|---|
| Actin7(GWHGBAOS001891) | AATGAACTTCGTGTTGCTCCTG | CACCTGAGTCCAGCACAATACC | 171 |
| GA2ox1(GWHGBAOS003456) | GACCTCACAAAACCAGACTCCA | TCAACCCAACCAACATCACC | 230 |
| GA2ox2(GWHGBAOS018799) | AAGGTCATCAACCACGGCG | CCTGCTCTTTGCTTCTCGGA | 101 |
| GA20ox(GWHGBAOS016723) | GTGCCTCAGTTCTCTTGTCC | GAGCAGCAACCAAGTGTCGT | 168 |
| GA3ox(GWHGBAOS016475) | TGGCAGATCC CTATAGAGCT | TCAAATTCCACATCCTCCAT | 266 |
| GAI (GWHGBAOS021707) | GGTTCACGGAGGCATTGCATT | TCGGTCCCCACCTTCACAT | 143 |
| GASA3(GWHGBAOS018317) | CTTGTTGTGGTGGTTTTGTT | AGCCTTCTGTTTGCTCCTTTC | 107 |
| GASA4(GWHGBAOS038046) | CAGCCAGACGCAGTACCACA | AACCCAGGGGGTACACACAG | 81 |
| GASA6(GWHGBAOS011991) | CGGAATCAGTTAGACAGTGG | TTGTGATGGGCATTGGTAGC | 66 |
| GASA14(GWHGBAOS037916) | CCGCTAGGGCTTCATCACTT | CGCTGGAGCCTTGGATAGAG | 96 |
| GID1(GWHGBAOS006870) | TTACCAGTTTGCGCCCCA | CCGTGGAAAAAGATTATGACCG | 102 |
| GID2(GWHGBAOS036864) | GCGGCGTCCTCCTCTGATTC | GAAAAGCGAGAGCGACAGATTC | 116 |
| KAO(GWHGBAOS022579) | CGCAGAAGGGCTTGACACT | AGAGTTTCATCAATCACCTGGC | 110 |
表1 实时荧光定量PCR引物
Table 1 Primers used for qRT-PCR in this study
| 基因名称 Gene name | 正向引物序列(5′-3′) Forward primer sequence | 反向引物序列(5′-3′) Reverse primer sequence | 产物长度/bp Product length |
|---|---|---|---|
| Actin7(GWHGBAOS001891) | AATGAACTTCGTGTTGCTCCTG | CACCTGAGTCCAGCACAATACC | 171 |
| GA2ox1(GWHGBAOS003456) | GACCTCACAAAACCAGACTCCA | TCAACCCAACCAACATCACC | 230 |
| GA2ox2(GWHGBAOS018799) | AAGGTCATCAACCACGGCG | CCTGCTCTTTGCTTCTCGGA | 101 |
| GA20ox(GWHGBAOS016723) | GTGCCTCAGTTCTCTTGTCC | GAGCAGCAACCAAGTGTCGT | 168 |
| GA3ox(GWHGBAOS016475) | TGGCAGATCC CTATAGAGCT | TCAAATTCCACATCCTCCAT | 266 |
| GAI (GWHGBAOS021707) | GGTTCACGGAGGCATTGCATT | TCGGTCCCCACCTTCACAT | 143 |
| GASA3(GWHGBAOS018317) | CTTGTTGTGGTGGTTTTGTT | AGCCTTCTGTTTGCTCCTTTC | 107 |
| GASA4(GWHGBAOS038046) | CAGCCAGACGCAGTACCACA | AACCCAGGGGGTACACACAG | 81 |
| GASA6(GWHGBAOS011991) | CGGAATCAGTTAGACAGTGG | TTGTGATGGGCATTGGTAGC | 66 |
| GASA14(GWHGBAOS037916) | CCGCTAGGGCTTCATCACTT | CGCTGGAGCCTTGGATAGAG | 96 |
| GID1(GWHGBAOS006870) | TTACCAGTTTGCGCCCCA | CCGTGGAAAAAGATTATGACCG | 102 |
| GID2(GWHGBAOS036864) | GCGGCGTCCTCCTCTGATTC | GAAAAGCGAGAGCGACAGATTC | 116 |
| KAO(GWHGBAOS022579) | CGCAGAAGGGCTTGACACT | AGAGTTTCATCAATCACCTGGC | 110 |
| 花芽类型 Flower bud type | 赤霉素含量/(ng · g-1)Gibberellin content | |||
|---|---|---|---|---|
| GA1 | GA3 | GA4 | GA7 | |
| 正常花芽 Normal flower bud | 2.81 ± 0.47 | 1.35 ± 0.04 | 0.22 ± 0.02 | 0.06 ± 0.01 |
| 松散花芽 Wizened flower bud | 8.07 ± 0.40 ** | 1.69 ± 0.10 ** | 0.42 ± 0.04 ** | 0.11 ± 0.01 ** |
表2 ‘苏翠1号’花芽赤霉素含量
Table 2 Content of gibberellin in flower buds of Pyrus pyrifolia‘Sucui 1’
| 花芽类型 Flower bud type | 赤霉素含量/(ng · g-1)Gibberellin content | |||
|---|---|---|---|---|
| GA1 | GA3 | GA4 | GA7 | |
| 正常花芽 Normal flower bud | 2.81 ± 0.47 | 1.35 ± 0.04 | 0.22 ± 0.02 | 0.06 ± 0.01 |
| 松散花芽 Wizened flower bud | 8.07 ± 0.40 ** | 1.69 ± 0.10 ** | 0.42 ± 0.04 ** | 0.11 ± 0.01 ** |
图2 ‘苏翠1号’正常花芽和松散花芽前10个KEGG通路中差异表达基因热图
Fig. 2 Heat map of differentially expressed genes in the first 10 KEGG pathway between normal and wizened flower buds of Pyrus pyrifolia ‘Sucui 1’
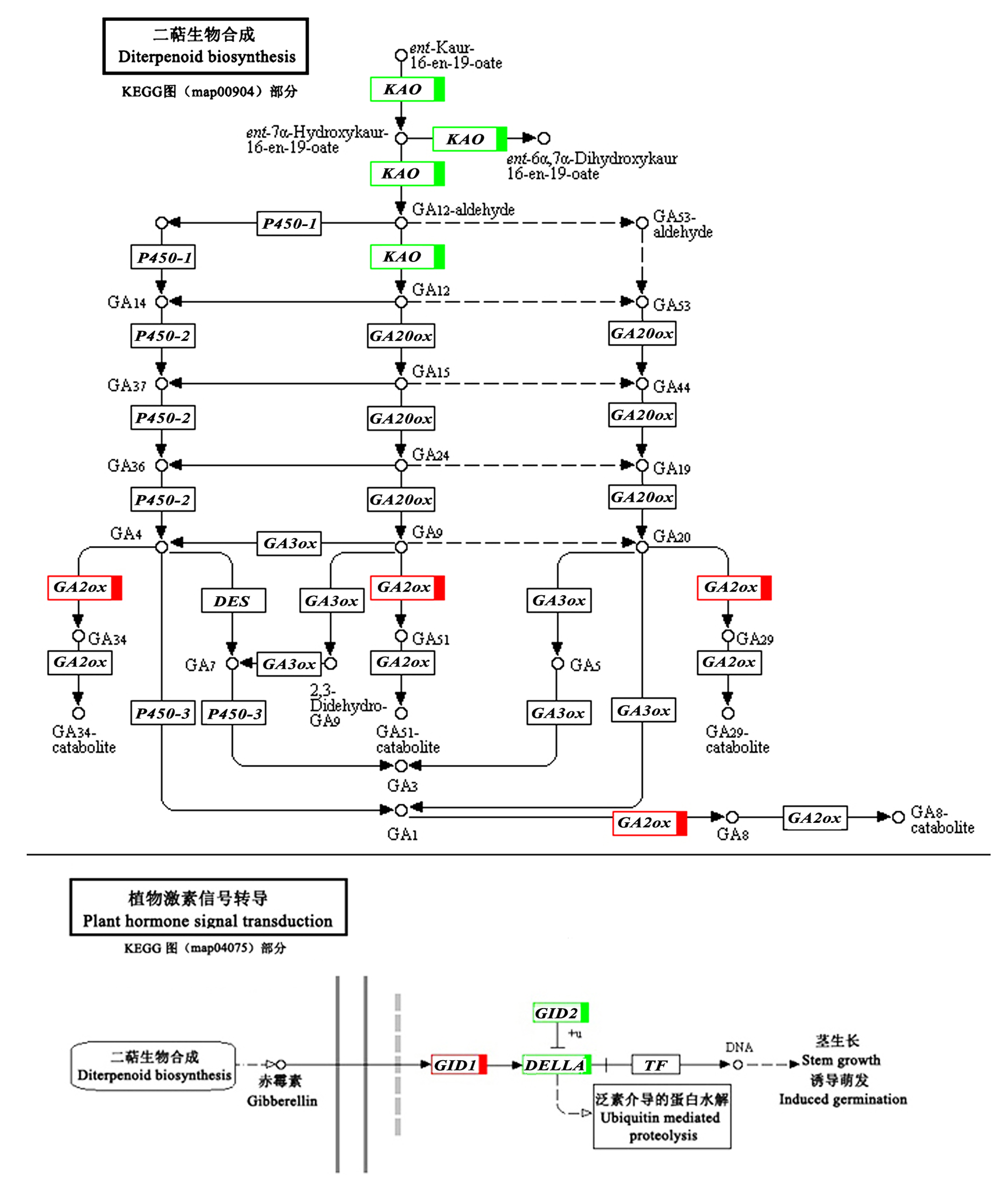
图3 ‘苏翠1号’正常花芽和松散花芽差异表达基因参与赤霉素合成和信号转导KEGG图 绿色表示下调,红色表示上调;DELLA:DELLA蛋白;GA2ox:赤霉素2-氧化酶;GA20ox:赤霉素20-氧化酶;GA3ox:赤霉素3-氧化酶;GID1:赤霉素不敏感型Dwarf1;GID2:赤霉素不敏感型Dwarf2;KAO:内—贝壳杉烯酸单加氧酶;P450:细胞色素P450单加氧酶
Fig. 3 KEGG map of differentially expressed genes involved in gibberellin synthesis and signal transduction in normal and wizened flower buds of Pyrus pyrifolia‘Sucui 1’ Green indicates down-regulated expression,and red indicates up-regulated expression;DELLA:DELLA protein;GA2ox:Gibberellin 2-oxidase;GA20ox:Gibberellin 20-oxidase;GA3ox:Gibberellin 3-oxidase;GID1:Gibberellin insensitive Dwarf1;GID2:Gibberellin insensitive Dwarf2;KAO:Ent-kaurenoic acid monooxygenase;P450:Cytochrome P450 monooxygenase
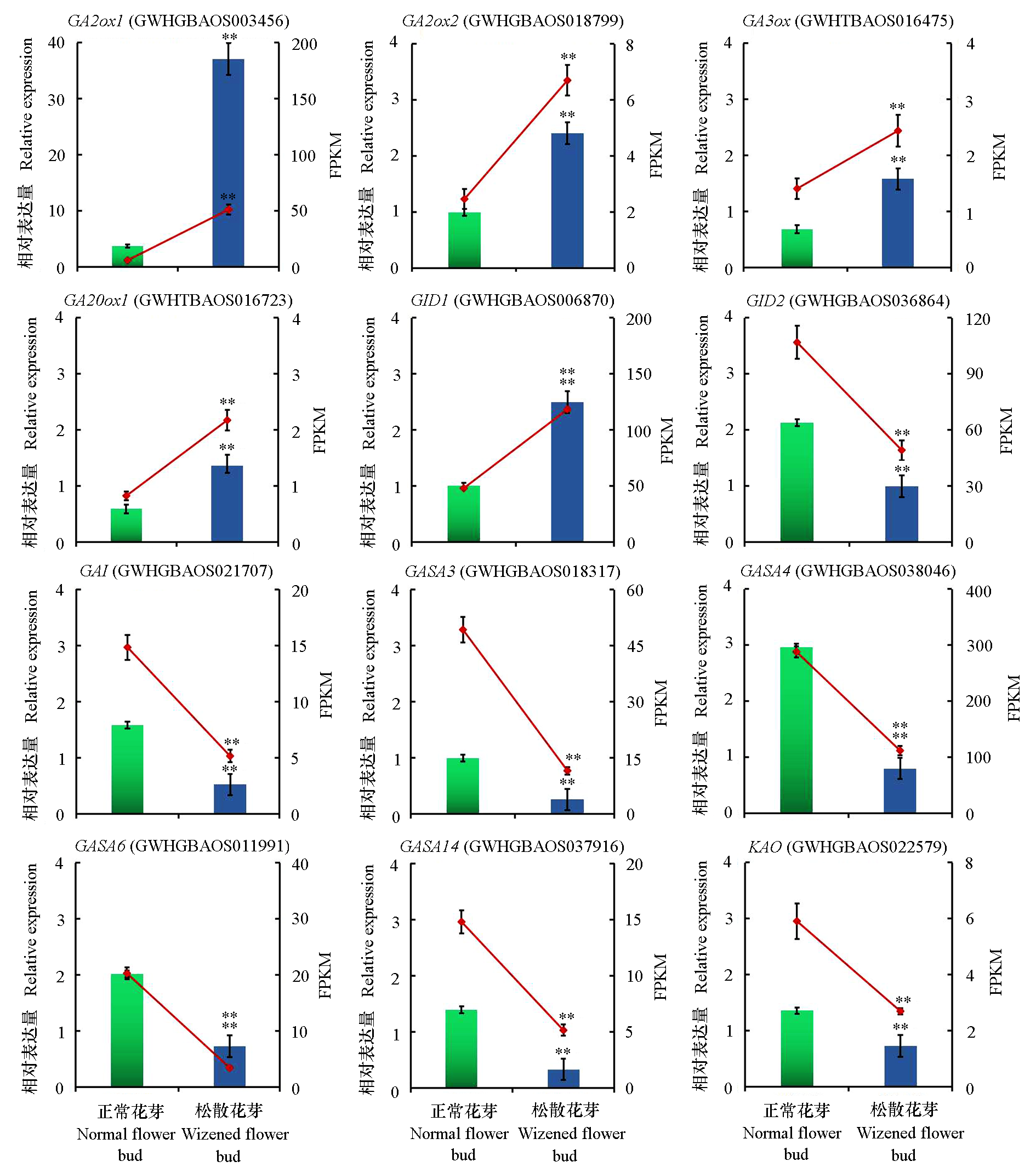
图4 ‘苏翠1号’不同花芽中赤霉素相关基因FPKM值和相对表达水平 **代表在P < 0.01水平有显著性差异(Student’s t-test);柱型图为基因相对表达量,红线表示转录组测序获得的FPKM值;GA2ox:赤霉素2-氧化酶;GA20ox:赤霉素20-氧化酶;GA3ox:赤霉素3-氧化酶;GAI:赤霉酸不敏感;GASA:拟南芥赤霉酸刺激蛋白;GID:赤霉素不敏感型Dwarf;KAO:内—贝壳杉烯酸单加氧酶
Fig. 4 FPKM values and relative expression levels of gibberellin-related genes in different types of flower buds from Pyrus pyrifolia‘Sucui 1’ ** indicates significant difference at P < 0.01 level(Student’s t-test);The histogram shows the relative expression level of genes,and the red line shows the FPKM value obtained by transcriptome sequencing;GA2ox:Gibberellin 2-oxidase;GA20ox:Gibberellin 20-oxidase;GA3ox:Gibberellin 3-oxidase;GAI:Gibberrellic acid insensitive;GASA:Gibberellic acid-timulated Arabidopsis;GID:Gibberellin insensitive Dwarf;KAO:ent-Kaurenoic acid monooxygenase
| 多效唑/ (mg · L-1) Paclobutrazol | 调查花芽总数 The total number of investigating flower buds | 赤霉素含量/(ng · g-1) Gibberellin content (GA1 + GA3 + GA4 + GA7) | 正常花芽数 Number of normal flower buds | 松散花芽Wizened flower buds | |
|---|---|---|---|---|---|
| 数量 Number | 比例/% The proportion | ||||
| 0(清水对照 Water control) | 500 | 6.96 ± 0.44 A | 249 | 251 | 50.2 A |
| 10 | 500 | 5.92 ± 0.40 B | 259 | 241 | 48.2 B |
| 20 | 500 | 5.02 ± 0.34 C | 302 | 198 | 39.6 C |
| 30 | 500 | 3.79 ± 0.26 D | 399 | 101 | 20.2 D |
表3 多效唑喷施处理‘苏翠1号’花芽情况
Table 3 The information of flower buds from Pyrus pyrifolia‘Sucui 1’after spraying paclobutrazole
| 多效唑/ (mg · L-1) Paclobutrazol | 调查花芽总数 The total number of investigating flower buds | 赤霉素含量/(ng · g-1) Gibberellin content (GA1 + GA3 + GA4 + GA7) | 正常花芽数 Number of normal flower buds | 松散花芽Wizened flower buds | |
|---|---|---|---|---|---|
| 数量 Number | 比例/% The proportion | ||||
| 0(清水对照 Water control) | 500 | 6.96 ± 0.44 A | 249 | 251 | 50.2 A |
| 10 | 500 | 5.92 ± 0.40 B | 259 | 241 | 48.2 B |
| 20 | 500 | 5.02 ± 0.34 C | 302 | 198 | 39.6 C |
| 30 | 500 | 3.79 ± 0.26 D | 399 | 101 | 20.2 D |
图5 喷施不同浓度多效唑后‘苏翠1号’一年生枝条腋花芽情况
Fig. 5 Axillary flower buds of annual branches from Pyrus pyrifolia‘Sucui 1’after spraying with different concentrations polyphobulozole
图6 喷施不同浓度多效唑后‘苏翠1号’花芽中赤霉素相关基因的相对表达水平 不同小写字母代表在P < 0.05水平有显著性差异(邓肯多范围测试);GA2ox:赤霉素2-氧化酶;GA20ox:赤霉素20-氧化酶;GA3ox:赤霉素3-氧化酶;GAI:赤霉酸不敏感;GASA:拟南芥赤霉酸刺激蛋白;GID:赤霉素不敏感型Dwarf;KAO:内-贝壳杉烯酸单加氧酶;基因ID:GID1(GWHGBAOS006870)、GID2(GWHGBAOS036864)、GA2ox1(GWHGBAOS003456)、GA2ox2(GWHGBAOS018799)、GA3ox(GWHGBAOS016475)、GA20ox(GWHGBAOS016723)、GAI(GWHGBAOS021707)、GASA3(GWHGBAOS018317)、GASA4(GWHGBAOS038046)、GASA6(GWHGBAOS011991)、GASA14(GWHGBAOS037916)、KAO(GWHGBAOS022579)
Fig. 6 Effect of spraying polybulobuzole on relative expression levels of gibberellin-related genes in flower buds from Pyrus pyrifolia‘Sucui 1’ Different lowercase letters represent significant differences at the P < 0.05 level(Duncan's multiple range test);GA2ox:Gibberellin 2-oxidase;GA20ox:Gibberellin 20-oxidase;GA3ox:Gibberellin 3-oxidase;GAI:Gibberrellic acid insensitive;GASA:Gibberellic acid-timulated Arabidopsis;GID:Gibberellin insensitive Dwarf;KAO:Ent-kaurenoic acid monooxygenase;Gene ID:GID1(GWHGBAOS006870),GID2(GWHGBAOS036864)、GA2ox1(GWHGBAOS003456),GA2ox2(GWHGBAOS018799),GA3ox(GWHGBAOS016475),GA20ox(GWHGBAOS016723),GAI(GWHGBAOS021707),GASA3(GWHGBAOS018317),GASA4(GWHGBAOS038046),GASA6(GWHGBAOS011991),GASA14(GWHGBAOS037916),KAO(GWHGBAOS022579)
| [1] |
doi: 10.1093/jxb/eru504 pmid: 25588745 |
| [2] |
|
| [3] |
|
| [4] |
|
| [5] |
|
| [6] |
|
| [7] |
|
| [8] |
|
| [9] |
doi: 10.1007/s00344-015-9546-1 pmid: 26523085 |
| [10] |
|
| [11] |
|
| [12] |
|
| [13] |
|
| [14] |
doi: 10.16420/j.issn.0513-353x.2018-0587 |
|
李艳冰, 朱美玉, 杨晓茹, 李悦, 赫易, 齐明芳, 李天来. 2018. 植物中Gibberellin 2-oxidases基因研究进展. 园艺学报, 45 (9):1844-1856.
doi: 10.16420/j.issn.0513-353x.2018-0587 |
|
| [15] |
|
|
蔺经, 盛宝龙, 李晓刚, 杨青松, 王中华, 李慧, 王宏, 常有宏. 2013. 早熟砂梨新品种‘苏翠1号’. 园艺学报, 40 (9):1849-1850.
|
|
| [16] |
|
| [17] |
|
|
刘雅, 张虎平, 张绍铃, 陶书田. 2016. 梨萌芽期僵芽和正常芽的生理差异分析. 南京农业大学学报, 39 (3):373-378.
|
|
| [18] |
doi: 10.1006/meth.2001.1262 pmid: 11846609 |
| [19] |
|
| [20] |
|
| [21] |
|
| [22] |
|
| [23] |
|
| [24] |
|
| [25] |
|
| [26] |
|
|
谭彬, 王婷, 郝鹏博, 郑先波, 程钧, 王伟, 冯建灿. 2019. 外源 GA3和PBZ对桃枝条生长及其GA相关基因表达的影响. 华北农学报, 34 (2):25-34.
|
|
| [27] |
|
| [28] |
doi: 10.13560/j.cnki.biotech.bull.1985.2017-0650 |
|
王文然, 樊秀彩, 张文颖, 刘崇怀, 房经贵, 王晨. 2017. 果树赤霉素代谢与信号途径研究进展. 生物技术通报, 33 (11):1-7.
doi: 10.13560/j.cnki.biotech.bull.1985.2017-0650 |
|
| [29] |
|
|
温玥. 2019. 外施赤霉素和多效唑对油茶花芽形成和果实品质的影响[博士论文]. 北京: 北京林业大学.
|
|
| [30] |
doi: 10.1104/pp.108.2.495 pmid: 12228487 |
| [31] |
|
| [32] |
doi: 10.16420/j.issn.0513-353x.2014-1093 URL |
|
杨盛, 郝国伟, 张晓伟, 白牡丹, 李凯, 石美娟, 程培红, 郭黄萍, 李六林. 2015. ‘玉露香梨’僵芽发生与内源激素和碳氮营养的关系. 园艺学报, 42 (6):1057-1065.
doi: 10.16420/j.issn.0513-353x.2014-1093 URL |
|
| [33] |
|
|
于甲之, 曹永强. 2022. 果树花芽僵芽发生的原因及预防方法. 果树资源学报, 3 (6):49-52.
|
|
| [34] |
|
| [1] | 卢明艳, 武春昊, 赵滢, 闫兴凯, 李红莲, 丁丽华, 张茂君, 王强. 抗寒抗病晚熟梨新品种‘吉玉’[J]. 园艺学报, 2025, 52(S2): 13-14. |
| [2] | 张靖国, 陈启亮, 杨晓平, 范净, 杜威, 刘威, 胡红菊. 早熟褐皮砂梨新品种‘金早晶’[J]. 园艺学报, 2025, 52(S2): 15-16. |
| [3] | 张艳杰, 欧春青, 王斐, 马力, 齐力永, 姜淑苓. 优质晚熟梨新品种‘兴梨二十’[J]. 园艺学报, 2025, 52(S2): 17-18. |
| [4] | 杨晓平, 陈启亮, 张靖国, 范净, 杜威, 刘威, 胡红菊. 晚熟抗病优质砂梨新品种‘金碧’[J]. 园艺学报, 2025, 52(S2): 19-20. |
| [5] | 张莹, 曹玉芬, 田路明, 董星光, 霍宏亮, 齐丹, 徐家玉, 刘超, 王立东. 梨花观赏新品种‘蓓蕾山梨’[J]. 园艺学报, 2025, 52(S2): 289-290. |
| [6] | 张莹, 曹玉芬, 田路明, 董星光, 霍宏亮, 齐丹, 徐家玉, 刘超, 王立东. 梨花观赏新品种‘锦缎山梨’[J]. 园艺学报, 2025, 52(S2): 291-292. |
| [7] | 范 净, 陈启亮, 杨晓平, 张靖国, 杜 威, 刘 威, 胡红菊. 高绿原酸砂梨新品种‘金翠酥’[J]. 园艺学报, 2025, 52(S1): 5-6. |
| [8] | 王苏珂, 高迎春, 张小娣, 李秀根, 杨 健, 王 龙, 苏艳丽, 赵 菲, 冯如玉, 薛华柏. 红皮梨新品种‘红酥宝’[J]. 园艺学报, 2025, 52(S1): 7-8. |
| [9] | 王苏珂, 苏 俊, 杨 健, 王 龙, 苏艳丽, 张向展, 王亚楠, 薛华柏. 早熟红皮梨新品种‘红玛瑙’[J]. 园艺学报, 2025, 52(S1): 9-10. |
| [10] | 韦哲君, 王文林, 谭秋锦, 郑树芳, 许 鹏, 韦媛荣, 陈海生, 汤秀华. 油梨新品种‘紫金’[J]. 园艺学报, 2025, 52(S1): 75-76. |
| [11] | 唐嘉怡, 缪绸雨, 尹豪杰, 吴明月, 曹向敏, 张惠敏, 金燕, 卢晓鹏, 朱亦赤, 李大志, 盛玲. 外源草酸对采后血橙果实品质和花色苷代谢的影响[J]. 园艺学报, 2025, 52(9): 2425-2438. |
| [12] | 武春昊, 闫兴凯, 卢明艳, 赵滢, 张茂君, 李思宇, 王强. 梨石蜡切片制备方法的优化[J]. 园艺学报, 2025, 52(9): 2554-2564. |
| [13] | 孙东宇, 魏冬, 杨胤延, 胡彩珠, 胡志群, 周东辉, 周碧燕. 莲雾开花对喷施氯吡硫磷的生理响应以及转录组分析[J]. 园艺学报, 2025, 52(7): 1718-1732. |
| [14] | 李雪松, 华蓉, 孙达锋, 岳万松, 张俊波, 李建英, 刘绍雄. 金耳SSR分子标记开发及指纹编码构建[J]. 园艺学报, 2025, 52(7): 1780-1788. |
| [15] | 周天, 吕帅丽, 韩晗, 李雨佳, 刘海强, 刘永忠. 外源独脚金内酯对枳幼苗茎增粗生长的影响[J]. 园艺学报, 2025, 52(7): 1843-1854. |
| 阅读次数 | ||||||
|
全文 |
|
|||||
|
摘要 |
|
|||||
版权所有 © 2012 《园艺学报》编辑部 京ICP备10030308号-2 国际联网备案号 11010802023439
编辑部地址: 北京市海淀区中关村南大街12号中国农业科学院蔬菜花卉研究所 邮编: 100081
电话: 010-82109523 E-Mail: yuanyixuebao@126.com
技术支持:北京玛格泰克科技发展有限公司