园艺学报 ›› 2025, Vol. 52 ›› Issue (11): 3057-3068.doi: 10.16420/j.issn.0513-353x.2024-0491
李金鹏, 黎秋雨, 颜晓曦, 田浩然, 洪波, 贾彦霞*(
)
收稿日期:2024-11-01
修回日期:2025-05-08
出版日期:2025-11-26
发布日期:2025-11-26
通讯作者:
基金资助:
LI Jinpeng, LI Qiuyu, YAN Xiaoxi, TIAN Haoran, HONG Bo, and JIA Yanxia*(
)
Received:2024-11-01
Revised:2025-05-08
Published:2025-11-26
Online:2025-11-26
摘要: 蜡蚧轮枝菌(Lecanicillium lecanii)是一种昆虫病原真菌,可作为内生菌无症状地存在于某些植株中,在害虫取食过程中侵入其体内抑制发育或将其杀灭。为明确蜡蚧轮枝菌JMC-01能否有效内生定殖番茄(Solanum lycopersicum),对番茄有促生作用且对烟粉虱(Bemisia tabaci)有防治效果,本研究中通过抗生素标记法评估JMC-01的定殖效率,采用平板菌落计数法检测JMC-01在番茄植株根、茎、叶等营养器官的分布情况,测量番茄长势参数评估JMC-01对其的促生作用,并探究JMC-01内生定殖对烟粉虱生长发育的影响及致死率,评估其防治效果。结果表明JMC-01通过土壤淋施、茎部注射、浸根和叶面喷施接种均能在番茄体内有效定殖,叶面喷施定殖效果最好,28 d内定殖率达到100%;JMC-01易在接种部位富集,且孢子悬浮液接种浓度为1 × 108个 · mL-1时的定殖率最高。JMC-01内生定殖番茄14 d时,番茄的株高、叶绿素含量明显高于对照。烟粉虱取食接菌植株后致死率显著提高,发育历期延长,成虫的温室防效可达到59.35%。研究结果表明JMC-01能够内生定殖番茄植株,促进其生长,并对烟粉虱的生长发育及存活率有明显抑制作用。
李金鹏, 黎秋雨, 颜晓曦, 田浩然, 洪波, 贾彦霞. 番茄内生定殖蜡蚧轮枝菌JMC-01防治烟粉虱[J]. 园艺学报, 2025, 52(11): 3057-3068.
LI Jinpeng, LI Qiuyu, YAN Xiaoxi, TIAN Haoran, HONG Bo, and JIA Yanxia. Endophytic Colonization of Lecanicillium lecanii JMC-01 in Tomatoes for the Control of Bemisia tabaci[J]. Acta Horticulturae Sinica, 2025, 52(11): 3057-3068.
图2 不同浓度和接种方式中JMC-01在番茄不同部位的定殖情况 图中数据为平均值 ± 标准误(n = 6),数据分析采用单因素ANOVA检验,* 表示同一时间根、茎、叶间存在显著差异(P < 0.05),** 表示存在极显著差异(P < 0.01)
Fig. 2 Colonization of different parts of tomato by JMC-01 at different concentrations and inoculation methods The data in the figure are mean ± SE(n = 6),and the data were analyzed by one-way ANOVA. * indicates significant differences between root,stem and leaf groups at the same time(P < 0.05),** indicates highly significant differences(P < 0.01)
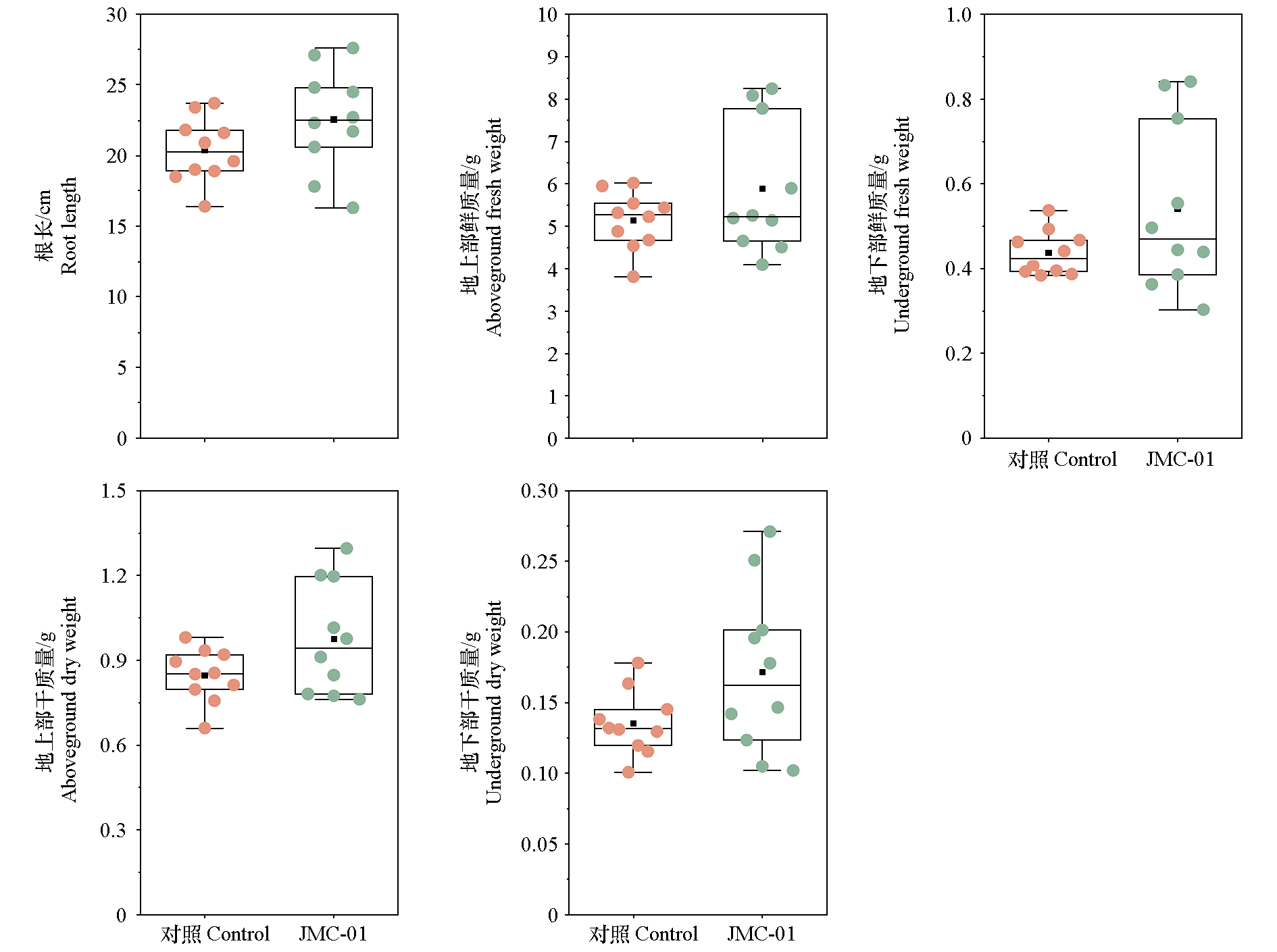
图4 JMC-01对番茄植株根长、地上部和地下部的鲜、干质量的影响
Fig. 4 Effects of JMC-01 on the root length,fresh and dry weights of the aboveground and underground parts of tomato plants
| 处理 Treatment | 处理天数/d Days after treatment | |||||||||||
|---|---|---|---|---|---|---|---|---|---|---|---|---|
| 1 | 3 | 5 | 7 | 10 | 14 | |||||||
| RR/% | CE/% | RR/% | CE/% | RR/% | CE/% | RR/% | CE/% | RR/% | CE/% | RR/% | CE/% | |
| JMC-01 | 24.13 b | 24.13 ± 1.23 | 39.18 b | 38.63 ± 2.25 | 46.01 b | 45.30 ± 6.35 | 51.40 b | 50.31 ±7.40 | 56.46 b | 54.90 ± 7.10 | 60.91 b | 59.35 ± 5.75 |
| 对照 Control | 0 a | - | 0.85 a | - | 1.25 a | - | 2.11 a | - | 3.36 a | - | 3.81 a | - |
表1 JMC-01对烟粉虱的温室防效
Table 1 Control effects of JMC-01 against Bemisia tabaci
| 处理 Treatment | 处理天数/d Days after treatment | |||||||||||
|---|---|---|---|---|---|---|---|---|---|---|---|---|
| 1 | 3 | 5 | 7 | 10 | 14 | |||||||
| RR/% | CE/% | RR/% | CE/% | RR/% | CE/% | RR/% | CE/% | RR/% | CE/% | RR/% | CE/% | |
| JMC-01 | 24.13 b | 24.13 ± 1.23 | 39.18 b | 38.63 ± 2.25 | 46.01 b | 45.30 ± 6.35 | 51.40 b | 50.31 ±7.40 | 56.46 b | 54.90 ± 7.10 | 60.91 b | 59.35 ± 5.75 |
| 对照 Control | 0 a | - | 0.85 a | - | 1.25 a | - | 2.11 a | - | 3.36 a | - | 3.81 a | - |
| [1] |
|
| [2] |
|
| [3] |
|
| [4] |
|
| [5] |
|
| [6] |
|
| [7] |
|
| [8] |
|
| [9] |
|
| [10] |
|
| [11] |
|
| [12] |
|
| [13] |
|
| [14] |
|
| [15] |
|
| [16] |
|
| [17] |
|
| [18] |
|
| [19] |
|
| [20] |
|
| [21] |
|
| [22] |
|
|
刘锦霞, 李娜, 李晶, 丁品, 杜文静, 柳军玺, 张建军, 邸多隆. 2015. 生防菌株SW11在番茄植株上的定殖能力及其对番茄灰霉病的防控效果. 中国生物防治学报, 31 (3):353-360.
|
|
| [23] |
|
| [24] |
|
| [25] |
|
| [26] |
|
| [27] |
|
| [28] |
|
| [29] |
|
| [30] |
|
| [31] |
|
|
曲兆鸣. 2022. 优化施肥和灌水对设施番茄生长及土壤环境的影响[博士论文]. 泰安: 山东农业大学
|
|
| [32] |
|
| [33] |
|
| [34] |
|
| [35] |
|
| [36] |
|
| [37] |
|
| [38] |
|
| [39] |
|
|
王铭慧, 张怀清, 樊江川, 陈帮乾, 云挺. 2023. 基于深度学习网络实现番茄病虫害检测与识别. 中国农业大学学报, 28 (11):165-181.
|
|
| [40] |
|
| [41] |
|
|
卫秋阳. 2020. 球孢白僵菌诱导番茄对烟粉虱抗性研究[博士论文]. 重庆: 西南大学.
|
|
| [42] |
|
| [43] |
|
| [44] |
|
| [45] |
|
|
闫明辉, 李静静, 刘佳磊, 闫凤鸣, 白润娥. 2021. 瓜菜害虫Q型烟粉虱Bemisia tabaci(Gennadias)形态特征研究. 中国瓜菜, 34 (8):15-20.
|
|
| [46] |
|
| [47] |
|
| [1] | 宰文珊, 陈先知, 付存念, 苏世闻, 史建磊, 熊自立, 黄少勇. 口感番茄新品种‘瓯秀901’[J]. 园艺学报, 2025, 52(S2): 121-122. |
| [2] | 王荣青, 姚祝平, 程远, 叶青静, 阮美颖, 万红建, 李志邈, 刘晨旭, 周国治. 高品质耐贮运番茄新品种‘浙粉718’[J]. 园艺学报, 2025, 52(S2): 123-124. |
| [3] | 郑梦凡, 谢勇, 郑伟, 李光乾, 陈刚, 王煜双, 李聪, 张余洋. 优质番茄新品种‘民丰698’[J]. 园艺学报, 2025, 52(S2): 125-126. |
| [4] | 朱鹏宇, 谢勇, 郑伟, 李光乾, 陈刚, 王煜双, 李聪, 张余洋. 优质番茄新品种‘希唯美191’[J]. 园艺学报, 2025, 52(S2): 127-128. |
| [5] | 崔爱花, 朱模勇, 张扬栋, 伍琦, 刘帅, 胡启星, 黄纪刚, 刘家鑫, 刘为胜, 孙巨龙. 大果型番茄新品种‘奥丽亚’[J]. 园艺学报, 2025, 52(S2): 129-130. |
| [6] | 郑于莉, 刘燕, 潘子旺, 韩兰兰, 李凯, 刘丹, 曹阳, 芦鑫哲, 康永生. 多抗硬粉番茄新品种‘BY002’[J]. 园艺学报, 2025, 52(S2): 131-132. |
| [7] | 苏世闻, 付存念, 陈先知, 崔丽利, 史建磊, 黄少勇, 熊自立, 宰文珊. 樱桃番茄新品种‘瓯秀红樱5号’[J]. 园艺学报, 2025, 52(S2): 133-134. |
| [8] | 付存念, 苏世闻, 陈先知, 崔丽利, 史建磊, 黄少勇, 熊自立, 宰文珊. 樱桃番茄新品种‘瓯秀橙樱1号’[J]. 园艺学报, 2025, 52(S2): 135-136. |
| [9] | 熊自立, 苏世闻, 史建磊, 张海利, 宰文珊, 崔丽利. 番茄砧木新品种‘瓯砧1号’[J]. 园艺学报, 2025, 52(S2): 137-138. |
| [10] | 范惠冬, 郑士金, 田 松, 郑建超. 番茄新品种‘吉粉7号’[J]. 园艺学报, 2025, 52(S1): 109-110. |
| [11] | 张立微, 戴忠仁, 陈青奇, 雷 娜, 胡海江, 门万杰. 番茄新品种‘哈研中粉果1号’[J]. 园艺学报, 2025, 52(S1): 111-112. |
| [12] | 熊自立, 史建磊, 陈勇兵, 张海利, 苏世闻, 宰文珊, 叶曙光. 设施番茄新品种‘瓯秀202’[J]. 园艺学报, 2025, 52(S1): 113-114. |
| [13] | 王雅慧, 张雨晴, 张榕蓉, 刘佩卓, 梁毅, 周建华, 熊爱生. 胡萝卜番茄红素ε-环化酶基因DcLCYE启动子活性分析及互作因子筛选[J]. 园艺学报, 2025, 52(9): 2317-2328. |
| [14] | 陈舒婷, 吴幕绵, 李涛, 黎振兴, 麦培婷, 孙保娟, 郝彦伟, 宫超. 有效微生物群落对番茄产量及根际土壤细菌群落的影响[J]. 园艺学报, 2025, 52(9): 2477-2490. |
| [15] | 苏秀敏, 王佼, 韩文清, 李鹏, 王秋兰, 李万星. 山西长治番茄枯萎病病原鉴定及其拮抗菌鉴选[J]. 园艺学报, 2025, 52(9): 2532-2544. |
| 阅读次数 | ||||||
|
全文 |
|
|||||
|
摘要 |
|
|||||
版权所有 © 2012 《园艺学报》编辑部 京ICP备10030308号-2 国际联网备案号 11010802023439
编辑部地址: 北京市海淀区中关村南大街12号中国农业科学院蔬菜花卉研究所 邮编: 100081
电话: 010-82109523 E-Mail: yuanyixuebao@126.com
技术支持:北京玛格泰克科技发展有限公司