园艺学报 ›› 2024, Vol. 51 ›› Issue (4): 859-874.doi: 10.16420/j.issn.0513-353x.2022-1113
收稿日期:2023-09-11
修回日期:2023-11-13
出版日期:2024-04-25
发布日期:2024-04-26
通讯作者:
基金资助:
YU Jing1, FENG Xiangjun1, JIN Yingxue2,*(
), DING Guohua1,*(
)
Received:2023-09-11
Revised:2023-11-13
Published:2024-04-25
Online:2024-04-26
Contact:
摘要:
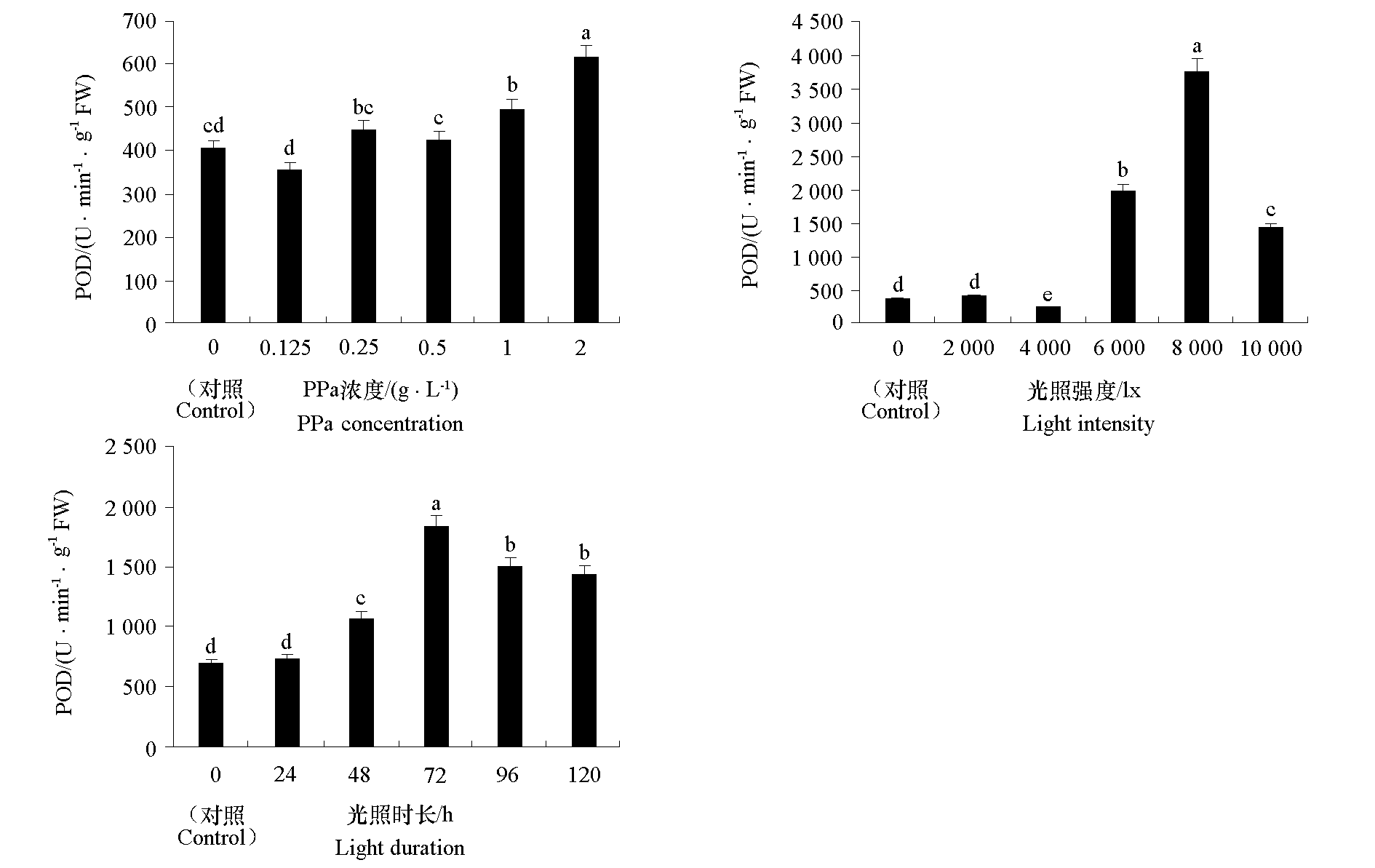
为了探究焦脱镁叶绿酸a(PPa)对植物病原菌的抑制作用,以黄瓜枯萎病病原菌尖孢镰刀菌黄瓜专化型菌(Fusarium oxysporium f. sp. cucumerinum)H46 5菌和‘长春密刺’黄瓜为材料,测定不同浓度PPa对菌丝生长的影响,以及经不同强度和时长光照的PPa对感枯萎病的黄瓜叶片的病斑面积,丙二醛和游离脯氨酸含量,过氧化物酶、过氧化氢酶和超氧化物歧化酶活性及活性氧的影响。结果表明:PPa对H46 5菌株生长有明显抑制作用,其抑菌效果与浓度呈正相关,浓度为2 g · L-1效果最佳。PPa具有光敏性,其经适当强度和时长的光照后喷施感染枯萎病的黄瓜叶片,可显著降低叶片感病程度与MDA含量,提升脯氨酸水平与抗氧化能力,维持活性氧平衡。上述结果表明,PPa具有很好的防治黄瓜枯萎病效果。
于静, 冯向君, 金英学, 丁国华. 焦脱镁叶绿酸a对黄瓜枯萎病菌的抑制作用[J]. 园艺学报, 2024, 51(4): 859-874.
YU Jing, FENG Xiangjun, JIN Yingxue, DING Guohua. Inhibitory Effect of Pyropheophorbide-a on Cucumber Fusarium Wilt[J]. Acta Horticulturae Sinica, 2024, 51(4): 859-874.
图1 不同浓度焦脱镁叶绿酸a(PPa)处理对尖孢镰刀菌黄瓜专化型菌株(FOC)菌落生长的影响 不同小写字母表示处理间差异显著(P < 0.05)。下同。
Fig. 1 Growth of Fusarium oxysporium f. sp. cucumerinum(FOC)colonies after treatment with different concentrations of(PPa)and inhibition rate of hyphal growth Different lowercase letters indicate a significant difference in the level of 0.05 among different treatments. The same below.
图2 不同浓度、光照强度和光照时长的焦脱镁叶绿酸a(PPa)对感染枯萎病的黄瓜叶片的防治效果
Fig. 2 Effect of pyropheophorbide-a(PPa)at different concentrations,light intensity and light duration on cucumber leaf infected with Fusarium wilt
图3 不同浓度、光照强度和光照时长的焦脱镁叶绿酸a(PPa)处理对感染枯萎病黄瓜叶片丙二醛(MDA)含量的影响
Fig. 3 Effects of different concentration,light intensity and light duration of pyropheophorbide-a(PPa)treatment on the content of malondialdehyde(MDA)in cucumber leaf infected with Fusarium wilt
图4 不同浓度、光照强度和光照时长的焦脱镁叶绿酸a(PPa)处理对感染枯萎病黄瓜叶片脯氨酸含量的影响
Fig. 4 Effects of different concentration,light intensity and light duration of pyropheophorbide-a(PPa)treatment on the content of proline in cucumber leaf infected with Fusarium wilt
图5 不同浓度、光照强度和光照时长的焦脱镁叶绿酸a(PPa)处理对感染枯萎病黄瓜叶片过氧化物酶(POD)活性的影响
Fig. 5 Effects of different concentration,light intensity and light duration of pyropheophorbide-a(PPa)treatment on peroxidase(POD)activity in cucumber leaf infected with Fusarium wilt
图6 不同浓度、光照强度和光照时长的焦脱镁叶绿酸a(PPa)处理对感染枯萎病黄瓜叶片超氧化物歧化酶(SOD)活性的影响
Fig. 6 Effects of different concentration,light intensity and light duration of pyropheophorbide-a(PPa)treatment on the activity of superoxide dismutase(SOD)in cucumber leaf infected with Fusarium wilt
图7 不同浓度、光照强度和光照时长的焦脱镁叶绿酸a(PPa)处理对感染枯萎病黄瓜叶片过氧化物酶(CAT)活性的影响
Fig. 7 Effects of different concentration,light intensity and light duration of pyropheophorbide-a(PPa)treatment on peroxidase(CAT)activity in cucumber leaf infected with Fusarium wilt
图8 不同浓度、光照强度和光照时长的焦脱镁叶绿酸a(PPa)处理对感染枯萎病黄瓜叶片过氧化氢含量的影响
Fig. 8 Effects of different concentration,light intensity and light duration of pyropheophorbide-a(PPa)treatment on hydrogen peroxide content in cucumber leaf infected with Fusarium wilt
图9 不同浓度、光照强度和光照时长的焦脱镁叶绿酸a(PPa)处理对感染枯萎病黄瓜叶片超氧阴离子的影响
Fig. 9 Effects of different concentration,light intensity and light duration of pyropheophorbide-a(PPa)treatment on superoxide anion in cucumber leaf infected with Fusarium wilt
| [1] |
|
|
蔡良苑, 杨璟, 熊一名, 张国财, 林连男. 2019. 不同光照条件对焦脱镁叶绿酸钠光敏抑菌活性的影响. 农药学学报, 21 (3):378-382.
|
|
| [2] |
|
| [3] |
|
| [4] |
|
|
侯珲, 周增强, 王丽, 王生荣. 2016. 硅酸钠对葡萄炭疽病的防治效果. 植物保护学报, 43 (5):836-841.
|
|
| [5] |
|
|
季竞宇. 2021. 脱镁叶绿酸钠对灰葡萄孢菌抑菌机理的研究[硕士论文]. 哈尔滨: 东北林业大学.
|
|
| [6] |
|
|
金鹏, 吕慕雯, 孙萃萃, 郑永华, 孙明. 2012. MeJA与低温预贮对枇杷冷害和ROS代谢的影响. 园艺学报, 39 (3):461-468.
|
|
| [7] |
|
|
景红娟, 周广舟, 谭晓荣, 平康康, 任雪建. 2012. ROS对植物自噬调控的研究进展. 植物学报, 47 (5):534-542.
doi: 10.3724/SP.J.1259.2012.00534 |
|
| [8] |
|
|
李格, 孟小庆, 蔡敬, 董婷婷, 李宗芸, 朱明库. 2018. ROS在植物非生物胁迫响应中功能的研究进展. 植物生理学报, 54 (6):951-959.
|
|
| [9] |
|
|
李小方, 张志良. 2016. 植物生理学实验指导. 5版. 北京: 高等教育出版社.
|
|
| [10] |
|
|
李玥, 陈志龙, 王建国. 2004. 焦脱镁叶绿酸a对果蝇的光活化毒性. 农药,(2):64-66.
|
|
| [11] |
|
|
梁瑶. 2021. 棘孢木霉防治黄瓜枯萎病的土壤微生态研究[硕士论文]. 北京: 中国农业科学院.
|
|
| [12] |
|
|
刘家旺, 范宁波, 王爱霞, 段玉锋, 王廷贤, 杨占伟. 2022. 烟草中ROS的研究进展. 现代农业科技,(5):191-194.
|
|
| [13] |
|
|
刘东, 代丽婷, 蒲子婧, 苗笛, 马柏壮, 张艳菊. 2012. 黄瓜枯萎病菌毒力、营养体亲和性及ISSR分析. 植物病理学报, 42 (5):456-465.
|
|
| [14] |
|
| [15] |
doi: 10.16420/j.issn.0513-353x.2021-0606 |
|
孟臻, 张伟萍, 王莹, 李龙, 姬小雪, 董贝, 乔康. 2022. 番茄枯萎病菌RT-PCR检测技术的建立与应用. 园艺学报, 49 (11):2479-2488.
doi: 10.16420/j.issn.0513-353x.2021-0606 |
|
| [16] |
|
| [17] |
|
| [18] |
|
|
陶勇. 2017. MG63 焦脱镁叶绿酸-a甲酯介导的光动力对人骨肉瘤MG63细胞凋亡影响的研究[硕士论文]. 重庆: 重庆医科大学.
|
|
| [19] |
|
|
王斌, 张腾霄, 刘超群, 祖余洋, 李艳芳, 孟祥才. 2022. 非生物胁迫对药用植物ROS代谢影响的研究进展. 现代中药研究与实践, 36 (3):94-98.
|
|
| [20] |
|
| [21] |
doi: 10.11686/cyxb20140223 |
|
王若梦, 董宽虎, 李钰莹, 李晨, 杨静芳. 2014. 外源植物激素对NaCl胁迫下苦马豆苗期脯氨酸代谢的影响. 草业学报, 23 (2):189-195.
doi: 10.11686/cyxb20140223 |
|
| [22] |
|
|
王姝人, 张博文, 杨璟, 季竞宇, 张国财, 陈广胜. 2020. 脱镁叶绿酸钠对胡萝卜灰霉病菌的抑制作用. 农药学学报, 22 (6):967-972.
|
|
| [23] |
|
| [24] |
|
|
吴瀚翔, 陈志彬, 肖春霞, 赖多, 姚光凯, 徐汉虹. 2021. 咯菌腈羧酸衍生物内吸传导性及对香蕉枯萎病的防效测定. 植物保护学报, 48 (4):789-797.
|
|
| [25] |
doi: 10.16420/j.issn.0513-353x.2021-0423 |
|
夏铭, 李经纬, 罗章瑞, 祖贵东, 王娅, 张万萍. 2022. 外源褪黑素影响萝卜生长及对链格孢菌抗性的机理研究. 园艺学报, 49 (3):548-560.
doi: 10.16420/j.issn.0513-353x.2021-0423 |
|
| [26] |
|
|
向妙莲, 赵显阳, 陈明, 付永琦, 曾晓春. 2017. 茉莉酸甲酯诱导辣椒抗青枯病与活性氧代谢的关系. 园艺学报, 44 (10):1985-1992.
doi: 10.16420/j.issn.0513-353x.2017-0004 |
|
| [27] |
|
| [28] |
|
|
徐磊, 唐蕾, 邵蔚蓝, 张峰, 陈蕴, 吴亢. 2005. 脱镁叶绿酸a对金黄色葡萄球菌、大肠杆菌的抑制作用. 食品与生物技术学报,(4):66-68.
|
|
| [29] |
|
|
杨璟. 2021. 脱镁叶绿酸钠对忽视拟盘多毛孢的光活化抑制作用机理研究[博士论文]. 哈尔滨: 东北林业大学.
|
|
| [30] |
|
|
游玉明, 汤洁, 张美霞, 王大平, 陆佳红. 2021. 外源2,4-表油菜素内酯调控仔姜ROS及酚类代谢减轻冷害. 食品科学, 42 (3):273-280.
|
|
| [31] |
|
|
张宝成, 刘云芳, 李应禄, 陈文芳, 李德辉, 钱正敏. 2021. 锰胁迫对小飞蓬生长与生理生化特征影响初探. 东北农业科学, 46 (4):110-112,127.
|
|
| [32] |
doi: 10.16420/j.issn.0513-353x.2022-1218 |
|
张磊, 武竞春, 张海英, 宫国义, 柳唐镜, 张洁, 许勇. 2023. 西瓜重要性状功能基因研究进展. 园艺学报, 50 (12):2748-2764.
doi: 10.16420/j.issn.0513-353x.2022-1218 |
|
| [33] |
|
|
周登博, 井涛, 张锡炎, 起登凤, 陈宇丰, 王飞. 2016. 香蕉枯萎病拮抗菌筛选及其抑菌活性. 植物保护学报, 43 (6):913-921.
|
|
| [34] |
|
|
周海琳. 2020. 焦脱镁叶绿酸a纳米材料在癌症诊疗中的应用[硕士论文]. 苏州: 苏州大学.
|
| [1] | 匡美美, 李黎, 马建伟, 刘原, 蒋鸿霏, 雷瑞, 满玉萍, 王一帆, 黄波, 王彦昌, 刘世彪. 利用中华猕猴桃杂交后代转录组测序筛选抗溃疡病相关基因[J]. 园艺学报, 2024, 51(8): 1743-1757. |
| [2] | 杜美霞, 庞淑玮, 董丽婷, 莫凯琴, 候梦圆, 王 帅, 邹修平. 柑橘黄龙病菌与寄主互作的分子机制研究进展[J]. 园艺学报, 2024, 51(7): 1623-1638. |
| [3] | 袁泉, 卢威, 王君, 陈茹, 李衍素, 于贤昌, 贺超兴, 孙敏涛, 闫妍. 日光温室不同土质灌水下限对早春黄瓜生长、产量和品质的影响[J]. 园艺学报, 2024, 51(6): 1377-1385. |
| [4] | 周慧珍, 张嘉, 胡军华, 李白雪, 曹立, 余歆, 王福生, 邹修平, 周彦. 柑橘感染褐斑病过程中BAG1的作用[J]. 园艺学报, 2024, 51(5): 956-970. |
| [5] | 王文娇, 邢军杰, 申成丞, 李斌. 黄瓜蜡质基因CsCER1调控因子CsCOL5的筛选及其功能分析[J]. 园艺学报, 2024, 51(5): 1005-1016. |
| [6] | 张丛莹, 顾兴芳, 苗晗, 董邵云, 刘小萍, 官健涛, 张圣平. 黄瓜新品种‘中农脆玉1号’[J]. 园艺学报, 2024, 51(5): 1173-1174. |
| [7] | 强然, 张岱, 杨喆, 陈明玥, 赵景, 朱杰华. 解淀粉芽胞杆菌L19对马铃薯枯萎病菌的抑制及植株的促生作用[J]. 园艺学报, 2024, 51(4): 875-892. |
| [8] | 张丛莹, 顾兴芳, 苗晗, 董邵云, 刘小萍, 官健涛, 张圣平. 黄瓜新品种‘中农脆绿2号’[J]. 园艺学报, 2024, 51(4): 919-920. |
| [9] | 刘梦, 贾惠婷, 周新刚. 黄瓜枯萎病菌共生细菌的分离鉴定及功能分析[J]. 园艺学报, 2024, 51(3): 643-655. |
| [10] | 韦建明, 黄鑫, 李云洲, 梁燕. 番茄褐色皱纹果病毒(ToBRFV)研究进展[J]. 园艺学报, 2024, 51(2): 439-452. |
| [11] | 孙会茹, 党峰峰, 任敏, 张嘉宁, 樊蓓, 陈国梁, 程国亭, 王延峰. 番茄SlWRKY46调控低温胁迫响应的功能研究[J]. 园艺学报, 2024, 51(12): 2758-2774. |
| [12] | 张红, 王超楠, 范伟强, 黄志银, 刘晓晖, 李梅, 张斌. 早熟微型大白菜新品种‘津娃娃560’[J]. 园艺学报, 2024, 51(12): 2989-2990. |
| [13] | 唐征, 陈思雀, 徐谦, 钟伟杰, 刘庆, 朱世杨. AP2/ERF在青花菜苗期响应黑腐病的功能研究[J]. 园艺学报, 2024, 51(11): 2523-2539. |
| [14] | 王荣波, 王海云, 张前荣, 蔡松龄, 李本金, 张美祥, 刘裴清. 福建省番茄青枯病菌遗传多样性分析及其抗性砧木的筛选[J]. 园艺学报, 2024, 51(11): 2540-2554. |
| [15] | 王雅楠, 刘绪涛, 景桐彤, 柴亚婷, 张晓伟, 艾希珍, 毕焕改. 褪黑素对番茄衰老叶片抗氧化系统的影响[J]. 园艺学报, 2024, 51(11): 2594-2606. |
| 阅读次数 | ||||||
|
全文 |
|
|||||
|
摘要 |
|
|||||
版权所有 © 2012 《园艺学报》编辑部 京ICP备10030308号-2 国际联网备案号 11010802023439
编辑部地址: 北京市海淀区中关村南大街12号中国农业科学院蔬菜花卉研究所 邮编: 100081
电话: 010-82109523 E-Mail: yuanyixuebao@126.com
技术支持:北京玛格泰克科技发展有限公司